Почвоведение, 2023, № 12, стр. 1493-1521
Пространственно-временная изменчивость содержания и запасов органического вещества почвы: аналитический обзор
Н. Б. Хитров a, *, Д. А. Никитин a, Е. А. Иванова a, М. В. Семенов a
a Почвенный институт им. В.В. Докучаева
119017 Москва, Пыжевский пер., 7, стр. 2, Россия
* E-mail: khitrovnb@gmail.com
Поступила в редакцию 04.05.2023
После доработки 16.07.2023
Принята к публикации 17.07.2023
- EDN: DQYRHW
- DOI: 10.31857/S0032180X23600841
Аннотация
Цель аналитического обзора – систематизировать сведения о количественных характеристиках изменчивости содержания и запаса органического углерода (Сорг) в почвах. Рассмотрены оценки правильности и воспроизводимости определения содержания Cорг, пространственной вариабельности и неоднородности Cорг на разных уровнях строения почвенного покрова, изменения во времени. Показано, что пространственная составляющая является самым мощным фактором изменчивости Cорг в почвах. Выявлен тренд увеличения абсолютного стандартного отклонения и коэффициента вариации содержания и запаса Cорг в почве по мере увеличения логарифма площади исследуемого участка. Он проявляется на фоне широкого разброса значений показателей пространственного варьирования в каждом узком диапазоне изменения площади участка. Это приводит к высокой неопределенности оценок по мере увеличения охвата территории. Среди используемых методов определения содержания Cорг предпочтительным считается прямой метод сухого сжигания. Он позволяет получать правильные (т.е. с наименьшими систематическими отклонениями) и хорошо воспроизводимые данные. Косвенные методы Тюрина и Walkley-Black систематически занижают содержание Cорг и имеют воспроизводимость, сопоставимую с амплитудой сезонной динамики и с минимальными значениями характеристик пространственного варьирования в пределах элементарного почвенного ареала. Для получения оценок многолетнего тренда изменения Cорг требуется строгое соблюдение жестких условий мониторинга на интервалах времени более 15 лет. Запас Cорг варьирует в пространстве сильнее, чем содержание Cорг, что еще больше повышает требования к мониторингу.
ВВЕДЕНИЕ
Проблема глобального изменения климата Земли тесно связана с исследованием цикла углерода в почвах [118, 119]. Многие почвенные процессы напрямую связаны с динамикой соединений углерода. В почвах осуществляются процессы разложения, трансформации и минерализации поступающего в них органического вещества (ОВ) из биоценоза или в результате хозяйственной деятельности человека, растворение и формирование карбонатных минералов, выделение в атмосферу углекислого газа, образовавшегося в результате дыхания корней растений, почвенной фауны, микроорганизмов. Также в почве происходит минерализация ОВ, миграция с почвенными растворами в грунтовые воды ионов ${\text{CO}}_{3}^{{2 - }}$, ${\text{HCO}}_{3}^{ - }$, растворенных органических, органо-минеральных веществ и углекислого газа.
В состав ОВ почвы входят растительные остатки и животные останки разной степени разложения, неспецифические ОВ индивидуальной природы (лигнины, белки, углеводы, липиды, воска, смолы, нуклеиновые кислоты и прочие), гумус, органоминеральные соединения. ОВ является ключевым компонентом почвы, влияющим на ее физические, химические и биологические свойства, определяя ее плодородие, урожайность сельскохозяйственных культур и экологическое функционирование [42]. Содержание и формы органического углерода (Сорг) являются результатом взаимодействия таких экосистемных процессов, как фотосинтез, дыхание, разложение, трансформация и минерализация ОВ [44, 88].
Антропогенная трансформация нативных экосистем приводит к усиленной минерализации ОВ почвы [114]. По приблизительной оценке, эмиссия СО2 из почвы достигла 100 Гт в углеродном эквиваленте на глобальном уровне [123]. Вместе с тем деятельность человека, направленная на рациональное природопользование, может приводить и к накоплению Сорг в почве [114, 123]. Этому способствуют уменьшение интенсивности обработки почвы, снижение эрозии (террасирование, исключение смыва, защита от выдувания), увеличение поступления ОВ в почву (внесение соломы, компоста, навоза), использование покровных культур, перевод пашни в залежь или пастбище, восстановление деградированных почв [114, 118, 123, 160], удобрение и известкование почв пастбищ [106].
Почва – гетерогенная и эволюционирующая система, поэтому все пулы ОВ в разной степени динамичны во времени и изменяются в пространстве, что необходимо учитывать при планировании экспериментов, в прогнозах, организации и проведении мониторинговых исследований. Информация о пространственном варьировании ОВ почв важна для устойчивого землепользования на разных иерархических уровнях от сельскохозяйственного поля до континента [109].
Цель аналитического обзора – систематизировать сведения о количественных характеристиках изменчивости содержания и запаса Сорг в почвах, которые связаны с оценками правильности и воспроизводимости определения Сорг, пространственной вариабельности и неоднородности на разных уровнях строения почвенного покрова и изменения их во времени.
МЕТОДЫ ОПРЕДЕЛЕНИЯ СОДЕРЖАНИЯ И ЗАПАСА СОРГ ПОЧВЫ И ИХ МЕТРОЛОГИЧЕСКАЯ ХАРАКТЕРИСТИКА
В настоящее время для определения Сорг в почвах используют: (а) метод Тюрина [68] и его модификации [16, 45, 69]; (б) метод Walkley-Black [107]; (в) метод сухого сжигания с использованием автоматических анализаторов [1, 108, 131, 150]. Методы Тюрина и Walkley-Black относятся к группе косвенных, поскольку Сорг оценивают по окисляемости ОВ [30], а не определяют собственно содержание углерода ОВ. Метод сухого сжигания является прямым и предполагает разрушение ОВ при высокой температуре в токе кислорода до образования углекислого газа, количество которого измеряют разными способами. В карбонатных горизонтах почв метод сухого сжигания позволяет определять содержание общего углерода (Cобщ), включающего органический и неорганический вместе [1, 84, 92, 131]. Поэтому в почвах, не содержащих карбонатов, содержание Сорг принимают равным Cобщ, а в карбонатных горизонтах дополнительно определяют содержание углерода неорганических соединений (Cнеорг), прежде всего карбонатов, и содержание Сорг рассчитывают по разности Cобщ и Cнеорг [1, 30].
Значения содержания Сорг, получаемые указанными методами, существенно различаются. Это связано с двумя группами причин: (а) разными параметрами окисления при взаимодействии навески почвы с хромовой смесью [45, 79, 146]; (б) неодинаковой степенью внутримолекулярной окисленности ОВ в почвах, которая изменяется чаще всего в диапазоне от 10 до 25% с минимальным значением –48.8% и максимальным +38.9%, по данным [47] и нескольких публикаций, систематизированных в работе Когута и Фрида [30]. Первая причина делает плохо сопоставимыми метод Тюрина в разных модификациях и метод Walkley-Black, вторая приводит к невозможности корректного сравнения двух указанных методов оценки Сорг по окисляемости с прямым методом определения Сорг, методом сухого сжигания. Формально, соотношение Сорг, определяемого по окисляемости (${\text{С}}_{{{\text{орг}}}}^{{{\text{ок}}}}$), с Сорг, определяемого методом сухого сжигания (${\text{С}}_{{{\text{орг}}}}^{{{\text{сух}}}}$), связаны следующими соотношениями, основанными на формуле, предложенной Пономаревой и Плотниковой [47] для определения степени внутримолекулярной окисленности ОВ (ω) в почвах:
Учитывая изменчивость ω в разных почвах, отмеченную выше, получаем диапазоны коэффициентов перехода K1 от 1.49 до 0.61 и K2 от 0.67 до 1.64. На этот факт настойчиво обращали внимание Когут, Большаков и Фрид в методических указаниях по аналитическому обеспечению мониторинга гумусового состояния почв [1].
В литературе предлагаются конкретные коэффициенты перехода K2, основанные на статистической оценке связи результатов, полученных двумя методами для некоторой выборки образцов почв. Например, в работе [146] на основе выборки из 7 стандартных образцов почв Российской Федерации и 3 стандартных образцов GLOSOLAN (n = 10) для метода Тюрина указано среднее значение K2 = 1.24 при разбросе от 1.15 до 1.41, для метода Walkley-Black – K2 = 1.3 при разбросе от 1.24 до 1.47. Добавив в выборку более 100 образцов разных почв были получены коэффициенты 1.15 для метода Тюрина и 1.3 для метода Walkley-Black [146], которые рекомендованы в стандарте ФАО [69]. В статье [30] для 10 стандартных образов почв (других по сравнению с использованными в статье [146]) получен обобщенный пересчетный коэффициент с обобщенной погрешностью 1.28 ± 0.19, т.е. доверительный интервал составлял от 1.09 до 1.47. Для отдельных почв получены другие коэффициенты: для черноземов 1.22 ± 0.10, для дерново-подзолистых почв 1.30 ± 0.29.
Иными словами, для всех почв единого постоянного переводного коэффициента значений содержания Сорг, определяемых методами Тюрина или Walkley-Black, в значения, получаемые сухим сжиганием, принять невозможно. Полученные оценки для отдельных почв [30] тоже характеризуются широким разбросом. Для конкретных территорий с длительными опытами или архивными данными варьирование переводных коэффициентов не оценивали. По этой причине использование переводных коэффициентов следует рассматривать как способ грубой гармонизации объединяемых разнородных данных, измеренных разными методами. Если допустить подобную гармонизацию данных, то в результате появится дополнительный фактор варьирования переводных коэффициентов значений Сорг, полученных разными методами, и будет резко снижена возможность сопоставления таких синтетических выборок содержания Сорг в пространстве и во времени, на что неоднократно обращал внимание Когут [1, 29, 30].
Используемые методы определения Сорг имеют отличающиеся метрологические характеристики правильности и воспроизводимости.
Правильность оценивают по величине систематического отклонения результата измерения от истинного или действительного значения, используемого вместо истинного. Для обеспечения правильности результатов обычно используют аттестованные стандартные образцы [40]. Метод сухого сжигания для определения Сорг характеризуется высокой степенью правильности, которая может отличаться для анализаторов, производимых разными фирмами [1].
Методы определения Сорг по окисляемости дают систематически сильно смещенные результаты чаще всего в сторону более низких значений [44, 131]. Разные модификации метода Тюрина во внутрилабораторном эксперименте дают статистически различающиеся значения средних. При этом для конкретных анализируемых образцов почв общий разброс средних, полученных разными модификациями, достигает 30 отн. % [44]. Похожие результаты представлены при сравнении разных процедур окисления ОВ для выбора условий стандартизации [146]. На основе данных статьи [146], получили уравнение линейной регрессии без свободного члена между данными о содержании Сорг в 10 стандартных образцах при использовании методов Тюрина (X) и Walkley-Black (Y): Y = (0.951 ± 0.004)X. Коэффициент, отражающий угол наклона линии регрессии, значимо отличается от 1. Это означает, что метод Walkley-Black дает более низкие значения Сорг по сравнению с методом Тюрина. Аналогичный вывод следует и из предложенных переводных коэффициентов K2 (1.15 для метода Тюрина и 1.3 для метода Walkley-Black), полученных после статистической обработки более 120 образцов из разных почв [146]. Еще раз обратим внимание, что разброс данных при таких переводах достигает ±20% (относительных). Поэтому трудно согласиться с мнением Шамриковой с соавт. [146], что использование усредненных переводных коэффициентов, отличающихся для разных методов, будет способствовать накоплению информации в обобщенной базе данных для глобальной сети мониторинга качества почв и запасов Сорг. Собрать данные возможно, но обрабатывать их совместно весьма проблематично в связи с резким увеличением неопределенности результатов обработки.
Воспроизводимость результатов – это качество, отражающее близость друг к другу результатов анализа, составляющих выборку [15]. Ее устанавливают на основе параллельных или повторных определений [40].
Подробная информация о внутрилабораторном и межлабораторном абсолютном и относительном среднеквадратическом отклонении результатов измерения Сорг методом сухого сжигания на разных автоматических анализаторах представлена в специальной публикации [1]. Результаты получены при аттестации 10 стандартных образцов почв СССР в 9 лабораториях. Внутрилабораторное абсолютное среднеквадратическое отклонение изменяется чаще всего в интервале 0.02–0.05% с минимумом 0.005 и максимумом 0.087% при содержании Сорг < 2%. При содержании Сорг от 2 до 4% эта характеристика немного увеличивается: наиболее часто в интервале 0.03–0.06% с минимумом 0.016 и максимумом 0.114%. Внутрилабораторное относительное среднеквадратическое отклонение (коэффициент вариации), наоборот, наименьший (наиболее часто 1–2%, реже до 4%) при содержании Сорг более 2% и увеличивающийся до 2–3% (максимум до 10%) при содержании Сорг менее 2%. Межлабораторные абсолютные среднеквадратические отклонения содержания Сорг больше. Они равны чаще 0.06–0.12, редко увеличиваясь до 0.21%. При наличии карбонатов в образце величины ошибок средних Сорг увеличиваются по меньшей мере в 1.4 раза ($\sqrt 2 $) или больше в зависимости от погрешностей дополнительного определения Снеорг. В стандартной процедуре, утвержденной ФАО [107], метрологические характеристики методики определения Сорг сухим сжиганием на автоматических анализаторах не приведены, даны только указания на процедуру контроля качества выполняемых анализов без конкретных числовых показателей.
Характеристики воспроизводимости результатов анализа методом Тюрина представлены в нескольких видах: (а) для большого массива данных лабораторий агрохимической службы СССР в виде функции, аппроксимирующей изменение допустимых относительных расхождений (Dдоп) [7] или изменение относительного среднеквадратического отклонения [40] в интервале 0.6–10% содержания гумуса, а не Сорг; после известных преобразований числовые значения абсолютного среднеквадратического отклонения содержания гумуса совпадают при использовании обеих функций; (б) в виде табуляции уменьшающихся Dдоп (20, 15, 10%) для диапазонов содержания гумуса до 3, свыше 3 до 5, свыше 5 до 15% [16]; (в) единого значения 20% границы относительной погрешности при доверительной вероятности Р = 0.95 для диапазона Сорг от 1.7 до 87 г/кг (т.е. 0.17–8.7%) [69]; (г) усредненного абсолютного среднеквадратического отклонения содержания гумуса для конкретного объекта (дерново-подзолистые почвы), рассчитанного на основе серии образцов (более 100), в которых определения выполнены дважды или трижды [17]; (д) относительного среднеквадратического отклонения Сорг раздельно для 10 образцов на основе 6 параллельных измерений в каждом [146].
Имеющиеся данные о воспроизводимости метода трудно сопоставимы напрямую, поэтому в табл. 1 и 2 они представлены в расчетном виде для заданных уровней содержания гумуса и Сорг. Способы расчета указаны в таблицах. Из них следует, что уменьшение относительного среднеквадратического отклонения по мере увеличения содержания гумуса или Сорг сопровождается заметным увеличением абсолютного среднеквадратического отклонения в том же направлении.
Таблица 1.
Воспроизводимость определения содержания гумуса и Сорг методом Тюрина по данным разных источников (содержание гумуса задано)
| Содержание гумуса, % | Dдоп, % | Sr (гумус), % | S (гумус), % | Содержание Сорг, % | S (Сорг), % |
|---|---|---|---|---|---|
| Межлабораторная воспроизводимость содержания гумуса методом Тюрина в агрохимических лабораториях СССР (1980-е годы), Dдоп = 0.2188 + 58.78 × (Гумус, %)–0.5833 [40]; Sr (гумус) = 0.0781 + 20.9929 × (Гумус, %)–0.5833 [7]; S(гумус) = Sr (гумус) × (Гумус, %)/100; Сорг = (Гумус)/1.724; S(Сорг) = S(гумус)/1.724 |
|||||
| 0.6 | 79.4 | 28.4 | 0.17 | 0.35 | 0.10 |
| 1 | 59.0 | 21.1 | 0.21 | 0.58 | 0.12 |
| 2 | 39.5 | 14.1 | 0.28 | 1.16 | 0.16 |
| 3 | 31.2 | 11.1 | 0.33 | 1.74 | 0.19 |
| 5 | 23.2 | 8.3 | 0.42 | 2.90 | 0.24 |
| 8 | 17.7 | 6.3 | 0.50 | 4.64 | 0.29 |
| 10 | 15.6 | 5.6 | 0.56 | 5.80 | 0.32 |
| Внутрилабораторная воспроизводимость содержания гумуса по методу Тюрина в агрохимических лабораториях СССР (1980-е годы), Dдоп = 2.8 × Sr (гумус); Sr (гумус) = 0.1051 + 14.9483 × (Гумус, %)–0.5194 |
|||||
| 0.6 | 54.9 | 19.6 | 0.12 | 0.35 | 0.07 |
| 1 | 42.1 | 15.1 | 0.15 | 0.58 | 0.09 |
| 2 | 29.5 | 10.5 | 0.21 | 1.16 | 0.12 |
| 3 | 23.9 | 8.6 | 0.26 | 1.74 | 0.15 |
| 5 | 18.4 | 6.6 | 0.33 | 2.90 | 0.19 |
| 8 | 14.5 | 5.2 | 0.41 | 4.64 | 0.24 |
| 10 | 13 | 4.6 | 0.46 | 5.80 | 0.27 |
| Метод Тюрина по ГОСТ 26213 [16]; Dдоп табулированы в документе; Sr (гумус) = Dдоп /2.8 [7] |
|||||
| 0.6 | 20 | 7.14 | 0.04 | 0.35 | 0.02 |
| 1 | 20 | 7.14 | 0.07 | 0.58 | 0.04 |
| 2 | 20 | 7.14 | 0.14 | 1.16 | 0.08 |
| 3 | 20 | 7.14 | 0.21 | 1.74 | 0.12 |
| 5 | 15 | 5.36 | 0.27 | 2.90 | 0.16 |
| 8 | 10 | 3.57 | 0.29 | 4.64 | 0.17 |
| 10 | 10 | 3.57 | 0.36 | 5.80 | 0.21 |
Таблица 2.
Воспроизводимость определения содержания Сорг методами Тюрина и Walkley-Black в соответствии со стандартными рабочими методиками ФАО [69, 107] (содержание Сорг задано в табл. 1)
| Содержание Сорг, % | Метод Тюрина | Метод Walkley-Black | ||||
|---|---|---|---|---|---|---|
| Dдоп, % | Sr (Сорг), % | S (Сорг), % | Dдоп, % | Sr (Сорг), % | S (Сорг), % | |
| 0.35 | 20 | 7.6 | 0.03 | 10 | 3.7 | 0.01 |
| 0.58 | 20 | 7.6 | 0.04 | 10 | 3.7 | 0.02 |
| 1.16 | 20 | 7.6 | 0.09 | 8 | 2.7 | 0.03 |
| 1.74 | 20 | 7.6 | 0.13 | 8 | 2.7 | 0.05 |
| 2.90 | 20 | 7.6 | 0.22 | 8 | 2.7 | 0.08 |
| 4.64 | 20 | 7.6 | 0.35 | 8 | 2.7 | 0.13 |
| 5.80 | 20 | 7.6 | 0.44 | 8 | 2.7 | 0.16 |
Примечание. Для метода Тюрина Dдоп соответствует границе относительной погрешности при доверительной вероятности Р = 0.95; Sr (Сорг) – относительному стандартному отклонению прецизионности [69]; S (Сорг) рассчитана по уравнению: S (Сорг) = Sr (Сорг) × (Сорг, %)/100. Для метода Walkley-Black Sr (Сорг) соответствует RSD из табл. 3 в документе [107]; Dдоп и S (Сорг) рассчитаны по уравнениям: Dдоп = 2.8 × Sr (Сорг) и S (Сорг) = Sr (Сорг) × (Сорг, %)/100.
По формальным критериям, метод Тюрина имеет более низкую внутрилабораторную воспроизводимость результатов по сравнению с методом Walkley-Black. Ныне действующие официальные документы, принятые в Российской Федерации [16] и ФАО [69], отличаются по регламентации воспроизводимости метода Тюрина. Российский документ предусматривает более строгие пределы. В ретроспективе современное качество выполнения анализов содержания гумуса агрохимической службой России выше по сравнению с начальным периодом ее работы в СССР в последние десятилетия XX в. Межлабораторная воспроизводимость, по определению, ниже по сравнению с внутрилабораторной.
Метод сухого сжигания для определения содержания Cобщ имеет более высокую воспроизводимость (меньший разброс результатов) по сравнению с методом Тюрина и сопоставимую с методом Walkley-Black. В карбонатных горизонтах воспроизводимость определения Сорг методом сухого сжигания сопоставима с методом Тюрина. Вместе с тем еще раз отметим, что метод сухого сжигания имеет явное преимущество в получении правильных результатов по сравнению с обоими методами, основанными на определении окисленности ОВ.
Запас Сорг в слое фиксированной толщины почвы рассчитывают на основе данных о содержании Сорг, плотности, содержании фракции мелкозема в слое и толщины слоя [109]. Каждый из сомножителей имеет свои относительные погрешности, увеличивая суммарную погрешность расчетной величины [18, 50], которая дополнительно масштабируется в зависимости от толщины расчетного слоя и среднего значения запаса Сорг:
где Scs – среднеквадратическое отклонение величины запаса Сорг (cs); Vc, Vρ, Vcf – коэффициенты вариации (%) содержания Сорг (с), плотности слоя (ρ) и доли объема, занимаемого мелкоземом (cf); M – среднее значение запаса Сорг; H – толщина слоя, см; K3 – масштабный коэффициент, зависящий от единиц запаса Сорг; K3 = 1 при выражении запаса Сорг в кг/м2; K3 = 10 – в т/га.Кроме того, расчет запаса Сорг в слое большой толщины обычно представляет собой сумму запаса Сорг входящих в него более тонких слоев с разной плотностью, каменистостью и содержанием Сорг. Поэтому результирующая погрешность увеличивается [18]:
где Scs,t, Scs,i – среднеквадратические отклонения запаса Сорг в слое большой толщины (cs, t) и в i-м слое меньшей толщины (cs, i); n – число слоев меньшей толщины, которые суммируются при расчете.Еще одним фактором, увеличивающим погрешности расчета запаса Сорг, является способ оценки плотности почвы. Лучшим вариантом является экспериментальное определение плотности и Сорг в одном и том же образце, извлеченном в ненарушенном виде с помощью колонкового бура [112, 143, 155]. Хороший вариант – экспериментальные данные по содержанию Cорг и плотности разных горизонтов отдельного почвенного разреза [49, 62, 98, 102, 132]. Обычно такого рода информация содержится в региональных или национальных базах данных (БД) по результатам почвенного обследования [81, 82, 87, 103, 104, 110, 115, 124, 129, 132, 147, 152]. Менее надежный вариант, создающий большую неопределенность, связан с расчетом значений плотности почв на основе педотрансферных функций по показателям гранулометрического состава и другим свойствам почвы, включая значения Cорг и глубину горизонта [75, 78, 99, 116], и при необходимости дифференцированные по видам угодий. Перечень использовавшихся педотрансферных функций представлен в работе [116]. Редко принимают постоянное среднее значение плотности для региона [144].
Пространственная изменчивость. Оценка и исследование пространственной изменчивости ОВ в почвах чаще всего касается содержания Cорг и запаса Cорг. Существует несколько подходов проведения такого исследования: (1) определение общих (параметрических и непараметрических) статистических показателей варьирования в пределах ограниченной территории; его обычно используют для сравнительной оценки почв разных таксономических классов, природных биогеоценозов, землепользований, вариантов полевых опытов и т.п.; (2) применение геостатистических методов; (3) почвенное картографирование в разных масштабах, включая картографирование отдельных свойств почв как традиционными, так и цифровыми методами.
Теоретические основы пространственной изменчивости почвенных свойств были сформулированы в монографии Самсоновой [51].
ОПРЕДЕЛЕНИЕ ОБЩИХ СТАТИСТИЧЕСКИХ ПОКАЗАТЕЛЕЙ ДЛЯ ОЦЕНКИ ПРОСТРАНСТВЕННОГО ВАРЬИРОВАНИЯ СОДЕРЖАНИЯ И ЗАПАСА Cорг
Для систематизации сведений о пространственном варьировании содержания и запаса Cорг в почвах была создана БД на основе литературных источников.
Представленные в научных публикациях сведения крайне разнородны. Для наполнения БД использовались только те статьи, в которых содержалась минимальная необходимая информация о площади исследуемого участка, числе и схеме расположения точек опробования, среднем значении показателя, хотя бы одной из характеристик пространственного варьирования: дисперсии, стандартного отклонения (среднеквадратического отклонения), коэффициента вариации, ошибки среднего. В результате БД включает 362 записи по содержанию Cорг и 105 записей по запасу Cорг, на основе 60 источников, в которых указанный необходимый минимум информации был обеспечен (табл. S1, S2 ).
В литературе данные представлены различными показателями, выраженными в разных единицах: (1) содержание гумуса или ОВ почвы (%); (2) содержание Cорг (% или г/кг); (3) запас Cорг (т/га = Мг/га или кг/м2). В БД информация унифицирована.
В русскоязычных работах чаще приведены данные по содержанию гумуса (%), полученные методом Тюрина в разных модификациях. Эти данные преобразованы в значения Cорг (%) путем деления содержание гумуса на коэффициент 1.724, принятый стандартным в России. В англоязычных работах данные, представленные в виде содержания ОВ почвы, определенного по методу Walkley-Black, также преобразованы в Cорг, используя коэффициент 1.724, поскольку отсутствует значение коэффициента, использованное авторами публикаций. Данные о Cорг, полученные методом сухого сжигания, использовали без преобразований. Неполное соответствие значений Cорг, получаемое разными методами, в последующем анализе показателей пространственного варьирования не учитывалось в связи с недостатком необходимой информации.
Разное представление данных о пространственном варьировании при необходимости преобразовывалось в стандартное отклонение (S, в единицах показателя) и коэффициент вариации (V, %) на основе известных соотношений:
где S2 – дисперсия; m – ошибка среднего; n – число пространственных точек опробования; M – среднее значение.Такого рода расчеты потребовались при заполнении 104 записей БД, сделанных на основе 6 литературных источников. В большинстве случаев использованы числовые значения указанных характеристик варьирования непосредственно из литературных источников.
В большинстве использованных публикаций данные приведены в числовой форме, удобной для ввода в БД. В ряде статей, где обсуждается пространственное варьирование содержания или запаса Cорг, данные представлены в графической форме, наглядной для сопоставления разных объектов, но требующей специального преобразования в числовую форму. Такое преобразование сопряжено с дополнительными погрешностями, увеличивающимися по мере уменьшения размера опубликованного графика. В связи с этим в БД включены результаты только из двух статей с графически представленными данными.
Авторы публикаций, материалы которых включены в БД, использовали разные схемы опробования почв в пространстве: (1) случайную в пределах всего участка [6, 53]; (2) случайную гнездовую с 3 точками в гнезде [136], (3) квазирегулярную [52, 153, 171]; (4) регулярную квадратную с постоянным шагом (синонимы: равномерную, систематическую) [2, 5, 10, 13, 17, 23, 27, 34, 36–39, 43, 62, 64, 73, 74, 85, 89, 90, 100, 112, 113, 154, 169, 173], (5) регулярную с разным постоянным шагом в двух направлениях [32, 140, 164]; (6) гексагонально-регулярную [11]; (7) случайно-регулярную с приблизительно равным шагом [33, 59], (8) стратифицированную случайную с фиксированным шагом страты или клетки [17, 52, 54, 168]; (9) стратифицированную случайную (рандомизированную) со стратами произвольной формы, но одинаковой площади [12]; (10) разрезы почвенного обследования [22, 66, 111, 132, 141], схему расположения которых можно определить как стратифицированную представительно-случайную с непостоянной формой и размером страт. Исходя из числа ссылок на перечисленные схемы, следует, что наиболее часто используют разновидности регулярного отбора в пространстве, особенно, если площадь исследуемого участка сравнительно небольшая (<4 га). Для более крупных по площади исследуемых участков в последнее время чаще используют варианты стратифицированных случайных схем с разным способом выделения страт – небольших участков, в пределах которых положение точки опробования выбирается случайно.
Каждая запись в БД содержания Cорг включает поля с числовой и текстовой информацией. В числовом формате введены сведения о площади участка (га), числе точек опробования, верхней и нижней глубине отбора образца, среднего значения Cорг (%) и гумуса (%), стандартного отклонения Cорг (%) и гумуса (%), коэффициента вариации (%). В текстовом формате приведены полные библиографические данные источника, регион исследований, угодье (land use), почвы, схема опробования, характер отобранного образца (индивидуальный, отобранный разными способами, смешанный), тип статистического распределения (если есть в статье), дата наблюдений (в редких статьях), метод определения Cорг, форма представления данных в статье (гумус, Cорг и их единицы), перечень статистических показателей, представленных в статье. В БД запаса Cорг аналогичная структура полей, отличающаяся целевыми показателями, характеризующими запас Cорг в двух единицах (кг/м2 и т/га): средних значений, стандартных отклонений, и коэффициента вариации (%).
При расчете запаса Cорг в литературных источниках использована разная информация о плотности почвы. В ряде работ значения плотности почвы и Cорг получены экспериментально из единого образца, взятого полым цилиндром известного объема [112, 143, 164]; в других работах используют средние значения плотности, полученные в других точках опробования по сравнению с образцами на Cорг в пределах того же участка [42, 102, 110, 129, 132, 153].
Информация о типе статистического распределения содержания или запаса Cорг содержится приблизительно в одной трети использованных публикаций. На участках с площадью менее 1–4 га часто авторы публикаций принимали гипотезу о нормальном распределении Сорг. Для более крупных по площади участков распределение оказывалось асимметричным в сторону меньших значений, которое можно было аппроксимировать логнормальным законом [89]. Использованные в анализе данные представлены в дополнительных материалах к статье (табл. S1 и S2 ).
Влияние глубины почвенного горизонта на пространственное варьирование Cорг неоднозначно в разных почвах и на разных угодьях в пределах относительно небольших площадок (<4 га). Для большинства почв характерно наибольшее содержание Cорг в верхнем горизонте с более быстрым или более медленным уменьшением Cорг с глубиной. Первый тип вертикального распределения наблюдается в естественных почвах с гумусовым горизонтом малой мощности, обычно не превышающей 30 см. Второй тип вертикального распределения характерен для почв с гумусовым горизонтом большой мощности, достигающей иногда 100–150 см, редко больше. На этом фоне вертикального распределения Cорг можно выделить следующие ситуации изменения с глубиной показателей пространственного варьирования:
Ситуация 1 – стандартное отклонение в верхних горизонтах наибольшее и постепенно уменьшается с глубиной, однако коэффициент вариации, наоборот, наименьший в верхних горизонтах и постепенно увеличивается с глубиной. Встречалась в Acrisols на полях с экстенсивной системой земледелия в Лаосе [94], в Calcisols на севере Китая [168], в дерново-подзолистых почвах залежей, заросших лесом [6], в черноземах и других типах почв Молдавии [48].
Ситуация 2 – стандартное отклонение незначимо различается по глубине, а коэффициент вариации увеличивается с глубиной в связи с уменьшением содержания Cорг. Отмечалась в Acrisols под лесом в Лаосе [94], в черноземах на склонах разной крутизны в Белгородской области [64].
Ситуация 3 – стандартное отклонение уменьшается с глубиной, а коэффициент вариации остается приблизительно одинаковым по всему профилю. Наблюдалась в Acrisols на полях с интенсивной системой земледелия в Лаосе [94].
Ситуация 4 – стандартное отклонение и коэффициент вариации изменяются по профилю одинаково и незакономерно, или одинаковы по всему профилю до глубины 50 см. Выявлена в Calcic Cambisols под разными угодьями в Китае [102, 173], серых лесных почвах залежей в Татарстане [10, 11], мелиорированных почвах солонцовых комплексов Волгоградской области [19], разных вариантах опыта на черноземах Курской области [27], пахотных и целинных черноземах Ямской степи Белгородской области [63].
Ситуация 5 – максимальные стандартное отклонение и коэффициент вариации на глубине 5–20 см со значимым уменьшением вверх и вниз по профилю. Отмечена в Vertisols под оливковым садом на северо-западе Испании [112].
Ситуация 6 – значимые различия стандартного отклонения по глубине сопровождаются максимальными значениями и стандартного отклонения, и коэффициента вариации в поверхностных горизонтах. Обнаружена в дерново-подзолистых почвах под 80-летним березово-еловым лесом после пашни в Костромской области [6], пахотном черноземе в Курской области [27].
Иными словами, a priori невозможно допустить какую-либо модель изменения пространственного варьирования Cорг по глубине почвенного профиля, поэтому необходима экспериментальная оценка в конкретных почвах и условиях. При этом следует учитывать, что тенденции изменения стандартного отклонения и коэффициента вариации могут различаться.
Если использовать всю выборку (n = 105, та-бл. S1 ), изменение мощности слоя от 5 до 100 см оказывает некоторое влияние на значение стандартного отклонения запаса Cорг, которое может быть аппроксимировано линейной регрессией без свободного члена с коэффициентом детерминации 0.36. Вместе с тем для диапазона мощности слоя от 30 до 100 см (n = 34) связь отсутствует (r2 = 0.09) при очень широком разбросе значений стандартного отклонения запаса Cорг от 0.75 до 8.45 кг/м2.
Влияние площади исследуемого участка на п-ространственное варьирование содержания и запаса Cорг. Афанасьев [2] на территории Центральной опытной станции ВНИИ агрохимии им. Д.Н. Прянишникова, представленной дерново-подзолистыми почвами (Albic Glossic Retisols (Aric, Loamic, Cutanic, Ochric)) установил увеличение коэффициента вариации содержания гумуса с 0.8 до 18.6% при увеличении площади исследуемого участка от 0.1 до 4 га. Авторы [126] представили значимое уравнение регрессии коэффициента вариации запаса Cорг (CV SOCstock, %) в почвах пастбищ от десятичного логарифма площади участка (S, км2) и глубины отбора образца (D, см) на основе систематизации данных 51 литературного источника, в которых диапазон изменения площади составил от 0.000075 до 722 900 км2, а для глубины – до 30–50 см, в отдельных случаях до 200 см:
Указанные авторы обращают внимание, что уравнение описывает лишь 44% общей дисперсии, означая высокую неопределенность оценки, при наличии тенденции увеличения коэффициента вариации с увеличением логарифма площади участка и глубины опробования [126].
Обработка результатов составленной БД (табл. S1 ), исключая 2 участка в Карелии с очень большим варьированием [59], показала наличие тренда увеличения и стандартного отклонения, и коэффициента вариации Cорг при увеличении логарифма площади участка в виде значимых уравнений регрессии (рис. 1, табл. 3) на фоне широкого разброса значений в каждом узком поддиапазоне площади участка. Коэффициент детерминации (r2) этих уравнений невысокий. В выборках большого объема (n > 100) он не превышает 0.37 для всех собранных данных независимо от почв и угодий, и 0.17 для пашни. В выборках меньшего объема (n от 20 до 70) он увеличивается до 0.6, иногда 0.85.
Рис. 1.
Связь абсолютного стандартного отклонения (a, c) и коэффициента вариации (b, d) Сорг (a, b) и запаса Сорг (c, d) с площадью участка, в пределах которого оценивалось пространственное варьирование. 353 участка по Сорг (a, b) и 105 участков по запасу Сорг (c, d) без разделения по угодьям и почвам: 1 – участки, 2 – логарифмический тренд (параметры тренда см. табл. 3, 4).

Таблица 3.
Уравнения регрессии, отражающие тренд изменения абсолютного стандартного отклонения или коэффициента вариации Cорг в зависимости от площади исследованного участка (все коэффициенты регрессии значимы при доверительной вероятности 0.95), в зависимости от группировки данных по угодьям
| Участки | Уравнение регрессии | ν | Fфакт | r | r2 |
|---|---|---|---|---|---|
| Все | SD SOC(%) = 0.105 lg S(га) + 0.38 | 347 | 168 | 0.571 | 0.326 |
| Пашня | SD SOC(%) = 0.069 lgS(га) + 0.32 | 158 | 32 | 0.413 | 0.17 |
| Залежь | SD SOC(%) = 0.0744 lgS(га) + 0.29 | 20 | 14 | 0.644 | 0.415 |
| Луг | SD SOC(%) = 0.13 lgS(га) + 0.429 | 17 | 95 | 0.921 | 0.848 |
| Лес | SD SOC(%) = 0.157 lgS(га) + 0.51 | 35 | 29 | 0.670 | 0.449 |
| Участки с разными угодьями | SD SOC(%) = 0.128 lgS(га) + 0.357 | 66 | 24 | 0.514 | 0.264 |
| Все | V SOC(%) = 4.646 lgS(га) + 19.75 | 349 | 198 | 0.602 | 0.362 |
| Пашня | V SOC(%) = 2.298 lgS(га) + 16.17 | 158 | 17 | 0.311 | 0.097 |
| Залежь | V SOC(%) = 2.242 lgS(га) + 13.52 | 20 | 6 | 0.592 | 0.351 |
| Луг | V SOC(%) = 3.774 lgS(га) + 24.61 | 19 | 10 | 0.594 | 0.353 |
| Лес | V SOC(%) = 6.399 lgS(га) + 23.75 | 35 | 44 | 0.747 | 0.558 |
| Участки с разными угодьями | V SOC(%) = 7.331 lgS(га) + 19.09 | 66 | 97 | 0.772 | 0.596 |
Примечание (здесь и в табл. 4, 5): SD SOC(%) – стандартное отклонение Cорг, %; V SOC(%) – коэффициент вариации Cорг, %; lgS(га) – десятичный логарифм площади участка, выраженной в гектарах; ν – число степеней свободы; Fфакт – фактическое значение критерия Фишера; r – коэффициент корреляции; r2 – коэффициент детерминации.
При площади исследуемого участка менее 400 м2 (20 × 20 м) абсолютное стандартное отклонение Cорг чаще всего составляет от 0.1 до 0.5%, в редких ситуациях до 1.5%, а коэффициент вариации от 2 до 30%. В диапазоне площади участка от 0.1 до 100 га абсолютное стандартное отклонение остается приблизительно в тех же пределах, а коэффициент вариации изменяется в интервале 5–50%. На больших территориях (>100 га) разброс обоих показателей становится еще больше.
Отмеченная тенденция обусловлена увеличением сложности почвенного покрова при переходе от отдельных элементарных почвенных ареалов, составляющих от нескольких квадратных метров до нескольких гектаров, к комбинациям разных почв по мере увеличения иерархического ранга их строения в разных ландшафтах, а также схемами опробования, в которых не все почвы представлены пропорционально. Каждая почва имеет относительно узкий диапазон изменения содержания Cорг, тогда как почвенную комбинацию, по определению, составляют несколько почв с разными свойствами. Поэтому, чем больше разных почв представлено в пределах исследуемой площади, тем будет выше пространственная неоднородность.
Оба коэффициента регрессии (свободный член и наклон) для пахотных и залежных участков значимо меньше по сравнению с таковыми для общей регрессии и раздельно для луговых, лесных участков и участков с разными угодьями (табл. 3). Это проявляется в обоих видах уравнений регрессий: для стандартного отклонения и для коэффициента вариации. Иными словами, участки с пашнями или залежами раздельно имеют менее выраженную тенденцию увеличения пространственного варьирования Cорг при увеличении площади участка по сравнению луговыми и лесными территориями. Вместе с тем разброс точек для каждого вида угодий слишком велик и перекрывает друг друга (рис. 2a, 2b).
Рис. 2.
Связь абсолютного стандартного отклонения Сорг (a, c) и коэффициента вариации Сорг (b, d) с площадью участка (a, b), в пределах которого оценивалось пространственное варьирование, и средним содержанием Сорг на участке (c, d). Угодья: 1 – пашня, 2 – залежь, 3 – луг, 4 – лес, 5 – сад, 6 – степь, 7 – разные в пределах участка.

Данных о варьировании запаса Cорг, пригодных для получения регрессии от логарифма площади участка, оказалось более чем в 3 раза меньше, что не позволило раздельно оценить влияние угодий или почв. Связь стандартного отклонения запаса Cорг с логарифмом площади участка имеет нелинейный характер (рис. 1c). Ее удалось аппроксимировать двумя регрессиями для диапазонов площади меньше и больше 10 000 га. При площади участка меньше 10000 га регрессия с коэффициентом детерминации 0.34 имеет вид полинома второй степени от логарифма площади (табл. 4). Для участков больших размеров регрессия линейная. Специальный анализ данных, характеризующих участки большой площади, показал, что они представляют запас Cорг в слоях разной мощности от 30 до 100 см. Регионами, для которых получены такие данные, являются Лаос [98], северо-западный Камерун [132], Каталония в Испании [110] и несколько штатов на северо-востоке США [129].
Таблица 4.
Уравнения регрессии, отражающие тренд изменения абсолютного стандартного отклонения (SD) или коэффициента вариации (V) запаса Cорг (SOC storage) в зависимости от площади исследованного участка (все коэффициенты регрессии значимы при доверительной вероятности 0.95), независимо от угодья и почвы
| Уравнение | ν | F | r2 |
|---|---|---|---|
| Если S ≤ 10 000 га, то SD SOC storage (кг/м2) = 0.024(lgS(га))2 + 0.105 lgS(га) + 0.429 |
81 | 21 | 0.336 |
| Если S > 10 000 га, то SD SOC storage (кг/м2) = 1.578 lgS(га) – 5.067 |
25 | 57 | 0.694 |
| V SOC storage (%) = 4.88 lgS(га) + 23.22 | 103 | 125 | 0.549 |
Связь коэффициента вариации запаса Cорг с логарифмом площади описана единой линейной регрессией (табл. 4). Интересно, что визуальное различие двух графиков (рис. 1b, 1d), отражающих изменение коэффициента вариации содержания и запаса Cорг от площади, обусловлено преимущественно разным объемом выборок и несовпадающими объектами, включенными в эти выборки. В действительности угловые коэффициенты двух регрессий (4.65 ± 0.33 для Cорг и 4.88 ± 0.44 для запаса Cорг) статистически не различаются. Небольшое значимое различие отмечено лишь для свободных членов регрессий (19.75 ± 0.60 для Cорг и 23.22 ± 1.35 для запаса Cорг).
Группировка данных по почвам оказалась возможной только для территории Восточно-Европейской равнины. При этом для дерново-подзолистых, серых лесных почв, черноземов и почв каштановых солонцовых комплексов выборки составили 86, 15, 67 и 16 участков, соответственно. Значимые уравнения регрессии с низким коэффициентом детерминации получены только для дерново-подзолистых почв по обоим показателям варьирования и для серых лесных почв по коэффициенту вариации (табл. 5). Для черноземов и каштановых почв регрессии обоих показателей варьирования от логарифма площади участка были незначимы по критерию Фишера. Это следует из разброса данных (рис. 3a, 3b).
Таблица 5.
Уравнения регрессии, отражающие тренд изменения абсолютного стандартного отклонения или коэффициента вариации Cорг в зависимости от площади исследованного участка (все коэффициенты представленных регрессий значимы при доверительной вероятности 0.95), для четырех групп почв на Восточно-Европейской равнине: 1 – дерново-подзолистые (Albic Glossic Retisols), 2 – серые лесные (Retic Greyzemic Phaeozems), 3 – черноземы (Haplic and Luvic Chernozems), 4 – почвы каштановых солонцовых комплексов (Haplic and Luvic Kastanozems)
| Группа почв | Уравнение регрессии | ν | Fфакт | r | r2 |
|---|---|---|---|---|---|
| 1 | SD SOC(%) = 0.254 + 0.060lg S(га) | 84 | 29 | 0.506 | 0.256 |
| 2 | Регрессия для SD SOC(%) не значима | 13 | 2.97 | 0.431 | 0.186 |
| 3 | Регрессия для SD SOC(%) не значима | 65 | 0.004 | –0.008 | 0 |
| 4 | Регрессия для SD SOC(%) не значима | 14 | 0.65 | 0.211 | 0.044 |
| 1 | V SOC(%) = 19.35 + 4.38lg S(га) | 84 | 29 | 0.506 | 0.256 |
| 2 | V SOC(%) = 21.08 + 8.06lg S(га) | 13 | 20 | 0.776 | 0.602 |
| 3 | Регрессия для V SOC(%) не значима | 65 | 0.61 | 0.097 | 0.009 |
| 4 | Регрессия для V SOC(%) не значима | 14 | 1.71 | 0.33 | 0.109 |
Рис. 3.
Связь абсолютного стандартного отклонения Cорг (a, c) и коэффициента вариации Cорг (b, d) с площадью участка (a, b), в пределах которого оценивалось пространственное варьирование, и средним содержанием Cорг на участке (c, d) для разных почв России. Почвы: 1 – дерново-подзолистые (Albic Glossic Retisols), 2 – серые лесные (Retic Greyzemic Phaeozems), 3 – черноземы (Haplic and Luvic Chernozems), 4 – почвы каштановых солонцовых комплексов (Haplic and Luvic Kastanozems).

Пространственное варьирование содержания и запаса Cорг в связи с их средним значением на исследуемом участке. Величина стандартного отклонения увеличивается с расширяющимся в виде веера разбросом значений по мере увеличения среднего значения Cорг, но связь чрезвычайно слабая и незначимая для отдельных угодий (рис. 2c). Аналогичный график для отдельных почв России (рис. 3c) демонстрирует характерное изменение среднего содержания Cорг в ряду смены этих почв с севера на юг на Восточно-Европейской равнине: дерново-подзолистые < серые лесные < черноземы > почвы каштановых солонцовых комплексов. При этом важно отметить, что на территориях с черноземами, имеющих в верхних горизонтах обычно Cорг > 2.5% и гумусовый горизонт большой мощности (до 100 см и более), абсолютное стандартное отклонение может изменяться в очень широких пределах от 0.1 до 1.1% Cорг в зависимости от вида угодья – наименьшее на пашне и увеличивающееся под лесными насаждениями и в целинной степи. Для дерново-подзолистых, серых лесных и каштановых почв, имеющих существенно менее мощный гумусовый горизонт (обычно в пределах 30–35 см) и среднее содержание Cорг от 0.5 до 2–3%, диапазон изменения абсолютного стандартного отклонения меньше, чем в черноземах, но также довольно широк: от 0.1 до 0.6% Cорг. Наименьшие значения, как правило, на пашне и более высокие – под луговыми и лесными ценозами. Это обстоятельство следует учитывать при сравнении содержания и запасов Cорг в почвах под разными угодьями и при использовании углерод-депонирующих технологий ведения сельского хозяйства.
Связь между абсолютным стандартным отклонением и средним значением Cорг была аппроксимирована полиномом второй степени с коэффициентом детерминации 0.676 (рис. 4a). Особо отметим, что увеличение средних запасов Cорг в исследованных разными авторами регионах мира сопровождается прогрессирующим увеличением абсолютных значений пространственного варьирования, выраженного стандартным отклонением.
Рис. 4.
Связь абсолютного стандартного отклонения (a) и коэффициента вариации (b) запаса Cорг со средним значением запаса Cорг на исследуемом участке независимо от угодья и почвы (n = 105).

Коэффициент вариации незначимо изменяется при изменении среднего значения Cорг как при группировке данных по виду угодья для всей совокупности данных (рис. 2d), так и при группировке по четырем почвам на Восточно-Европейской равнине (рис. 3d), а также при изменении запаса Cорг без группировки по угодьям и почвам (рис. 4b). Наиболее часто встречаются участки с коэффициентом вариации в интервале 5–40% по Cорг и 5–55% по запасу Cорг на фоне очень широкого диапазона изменения этого показателя от первых процентов до 81% (Cорг) и 100% (запас Cорг). Числовые значения запаса Cорг, приблизительно оцененные по графикам, представленным в публикации [91], попадают в ту же область рассеивания точек на рис. 4b, дополняя ее в области значений запаса Cорг от 8 до 14 кг/м2.
Практически одинаковый коэффициент вариации Cорг в дерново-подзолистых, серых лесных, черноземах и каштановых почвах Восточно-Европейской равнины на фоне увеличения среднего содержания Cорг означает, что при организации полигонов мониторинга и выборе системы опробования почв целесообразно опираться, в первую очередь, на значения абсолютного стандартного отклонения, заметно изменяющегося в разных условиях и определяющего необходимую пространственную повторность.
Оценивая показатели пространственного варьирования важно обратить внимание на правильность и воспроизводимость использованного метода определения содержания Сорг. Наиболее низкие значения коэффициента вариации и абсолютного стандартного отклонения Сорг в пространстве были получены при использовании метода сухого сжигания [27, 65], что позволило решать задачи сезонной динамики и многолетнего изменения Сорг в черноземах Курской области на фоне оценки пространственного варьирования. При использовании метода Тюрина оценки пространственного варьирования до 8% по коэффициенту вариации сопоставимы с воспроизводимостью анализа в лаборатории, что накладывает существенные ограничения при организации исследований изменения Сорг в пространстве и во времени. Поэтому целесообразна замена часто используемых методов Тюрина и Walkley-Black на более воспроизводимый метод определения Сорг сухого сжигания, имеющий меньшие систематические погрешности.
Сравнение оценок пространственного варьирования содержания Сорг и индикаторов углерод-трансформирующей функции почв. Для прогнозирования динамики запасов ОВ почвы помимо содержания общего Cорг используют индикаторы углерод-трансформирующей функции почв. Они характеризуют качественный состав почвенного ОВ, активность и направленность процессов его стабилизации и минерализации – содержание и соотношение пулов ОВ, скорость минерализации, эмиссию СО2, ферментативную активность [42, 125, 142]. Для адекватной замены показателей, при выполнении прогноза изменчивость используемых индикаторов и содержания Cорг в пространстве и во времени не должна значительно отличаться. В связи с этим сопоставим характеристики пространственной изменчивости Сорг и сопряженных с ним индикаторов углерод-трансформирующей функции (табл. S3 ).
В первую очередь отметим, что публикаций на эту тему мало, значения многих индикаторов приводят с избыточным числом незначащих цифр, применяются разные индикаторы, представлены данные о пространственной вариабельности при отсутствии сведений о сезонной динамике и воспроизводимости используемых методов определения индикаторов. Некоторые выводы можно сделать по 10 публикациям [85, 86, 90, 100, 134, 135, 145, 151, 154, 167].
Пространственная вариация эмиссии СО2 из почвы очень высокая (коэффициент вариации более 70%) на фоне такой же высокой вариации Сорг в таежных почвах с поверхностными органогенными горизонтами в Швеции [145] или, наоборот, низкой вариации Сорг в суглинистой пойменной почве в Хорватии [154]. Углерод микробной биомассы варьирует приблизительно так же, как Сорг в разных почвах [86, 100, 134]. Коэффициент вариации активности разных ферментов в одних почвах в 1.5–2 раза меньше аналогичной характеристики Сорг [85, 90, 135], в других, наоборот, больше в 1.5–3 раза [151, 167].
Обработка данных 124 многолетних полевых опытов США и Канады показала широкий разброс значений коэффициентов вариации каждого из 6 тестируемых индикаторов (содержание Сорг; потенциально минерализуемый углерод; перманганат-окисляемый углерод; водоэкстрагируемый углерод, активность β-глюкозидазы) [125]. По медиане и межквартильному размаху углерод, окисляемый перманганатом и экстрагируемый водой, варьируют приблизительно в 1.5 раза меньше, чем Сорг, тогда как два индикатора потенциально минерализуемого углерода, наоборот, варьируют приблизительно в 1.5–2 раза сильнее по сравнению с Сорг. При этом авторы [125] отмечают высокую корреляцию между используемыми индикаторами.
Использование геостатистических методов. При изучении пространственной изменчивости показателя какого-либо свойства почвы строят семивариограмму – функцию изменения дисперсии значений признака в зависимости от расстояния между точками опробования, которую аппроксимируют одной из математических моделей.
Считается, что семивариограмма является основной характеристикой пространственной структуры природных объектов [41].
Теория и методы геостатистики подробно изложены в руководствах [41, 51, 159], в специальных выпусках журнала Geoderma в томах 62 за 1994 г. и 97 за 2000 г., а также во многих публикациях, в которых решаются разные конкретные задачи, в частности оценки пространственного варьирования Cорг [17, 54, 55, 58, 59, 140, 148, 157, 170–173], запаса Сорг [98, 129, 130, 166] и других показателей ОВ [85, 86, 134, 154]. Имеется библиографический список работ по геостатистике, составленный по годам публикации с 1939 по 2006 гг. [57].
Систематизация количественных показателей моделей семивариограмм Cорг и запаса Cорг затруднительна по нескольким причинам.
Во-первых, существует несколько типов семивариограмм, отражающих разный характер пространственного изменения Cорг. Транзитивный тип семивариограммы может характеризоваться разными моделями, в частности сферической, экспоненциальной, Гауссовой [41]. Все подобные модели отражают сначала постепенное увеличение дисперсии с увеличением расстояния, а затем выход на плато. Основными параметрами транзитивной семивариограммы являются: (а) C0 – “наггет”-эффект – значение дисперсии при расстоянии между точками, стремящемся к нулю; (б) ранг или диапазон коррелированности R – расстояние, на котором дисперсия достигает постоянного значения; (в) порог (C = C0 + C1) – максимальное значение дисперсии, соответствующее расстоянию больше ранга [41]. В большей части публикаций приведены параметры таких моделей [4, 17, 22, 54, 55, 58, 59, 90, 98, 129, 130, 141, 145, 154, 157, 166, 170–173]. Возможность аппроксимации экспериментальных семивариограмм указанными выше моделями позволяет считать, что при отсутствии асимметрии в пределах исследуемого участка наблюдаются однотипные структуры пространственного распределения показателя, имеющие минимальные размеры, соответствующие рангу R. Только транзитивная семивариограмма соответствует модели автокорреляции и может быть потом использована для интерполяции методом кригинга.
В некоторых работах [85, 101, 134, 154] значения вариограммы колеблются на одном уровне во всем диапазоне изменения расстояния между точками на исследуемом участке. Такая модель называется “чистый наггет-эффект”. Подобные семивариограммы означают, что в пределах участка варьирование показателя является случайным и пространственные зависимости отсутствуют. В работе [61] на затоплявшемся под влиянием деятельности бобров участке в Карелии такая семивариограмма получена для остатков после исключения тренда изменения содержания Cорг в виде полинома второй степени от плановых координат. Причем для исходных данных этими авторами выявлен линейный тренд увеличения дисперсии с расстоянием. Для остатков двух моделей запасов Cорг в предшествующий период землепользования в Ирландии получен очень широкий разброс значений дисперсии в диапазоне расстояний от 10 до 350 км, который привел к незначимой аппроксимации семивариограммы экспоненциальными моделями [91].
В отдельных публикациях [61, 85, 148] выявлено наличие тренда, когда вариограмма не выходит на плато в пределах исследуемого участка. Подобные формы семивариограмм означают, что размеры участка недостаточны для выявления однотипной структуры варьирования показателя, демонстрируя ту или иную тенденцию изменения показателя в пространстве.
В литературе отмечены периодические или псевдопериодические семивариограммы [33], означающие регулярное чередование в пространстве однотипных структур с особым характером пространственного изменения показателя внутри каждой из них. Размер таких однотипных структур определяется расстоянием, соответствующем периоду семивариограммы. Описаны также семивариограммы с двумя [138] или тремя диапазонами изменения дисперсии [148] на разных расстояниях. В таких случаях либо аппроксимацию семивариограммы выполняют с использованием другой модели, например, двойной сферической модели [138], либо по величинам остатков после вычитания тренда [148]. Сидорова и Красильников [60] отмечали появление квазипериодичности семивариограммы на расстояниях, больших некоторой величины, хотя на меньших расстояниях применяли одну из моделей для транзитивной семивариограммы. В частности, такой вывод был сделан о варьировании содержания Cорг в каштановых почвах в окрестностях Котельниково в Волгоградской области.
Во-вторых, в литературе приводят семивариограммы и их параметры для одного и того же показателя (например, Cорг или другого), но в разных математических трансформациях: (а) без трансформации [98, 129, 154, 157]; (б) после логарифмирования по основанию 10 [166, 172] или числу e [130, 170]; (в) после Box-Cox трансформации [140]; (г) по остаткам после вычитания тренда (так называемое детрендирование) [33, 90, 148]; (д) после нормирования по среднему арифметическому и стандартному отклонению [55]. Трансформации нелинейные, выполнены для разных целей, поэтому сопоставление полученных параметров моделей семивариограмм становится нереальным.
В-третьих, семивариограммы строят для похожих показателей, отличающихся друг от друга постоянным коэффициентом, связанным с разными единицами и/или смыслового значения показателя (например, гумус и Cорг). В публикациях встречаются следующие показатели: гумус или содержание ОВ почвы (%) [17, 54, 173], содержание ОВ почвы (г/кг) [172]; Cорг (%) [58, 59, 140, 157, 173], Cорг (г/кг) [129, 148, 170], запас Cорг (кг/м2) [166], запас Cорг (т/га) [98]. Для унификации значений дисперсии необходимо умножать или делить на квадрат соответствующего переводного коэффициента, если исходные данные не подвергались математической трансформации.
Некоторые выводы можно сделать на основе диапазона изменения величины ранга, порога и соотношения наггет-эффекта и порога по статьям, в которых представлены транзитивные семивариограммы.
Для оценки сопоставимости абсолютного стандартного отклонения Cорг (%), полученного методами обычной статистики, с характеристикой варьирования, полученной на основе построения семивариограмм, отобраны 44 записи из 16 публикаций, в которых имеются сведения о величине порога, рассчитанного по содержанию Cорг (%), или Cорг (г/кг), или гумуса (%) или содержания ОВ (г/кг) без математических трансформаций [4, 17, 22, 33, 52, 58–60, 90, 134, 141, 145, 154, 157, 171, 173]. Представленные данные унифицировали следующим образом. Для данных, выраженных в Cорг (%), рассчитывали корень квадратный из величины порога. Для данных, выраженных в Cорг (г/кг), корень квадратный из величины порога делили на 10 (перевод единиц г/кг в %). Для данных, выраженных в содержании гумуса или ОВ (%), корень квадратный из величины порога делили на 1.724 (переводной коэффициент гумус → Cорг). Для данных, выраженных в содержании ОВ (г/кг), корень квадратный из величины порога делили на 17.24 (переводной коэффициент гумус → Cорг с переходом единиц г/кг в %). В результате получено следующее распределение трансформированных величин, приблизительно соответствующих стандартному отклонению: минимум 0.058%, нижний квартиль 1.189%, медиана 0.266%, верхний квартиль 0.456%, 90%-ный персентиль 1.074% и максимум 10.36%. Очень высокие значения характерны для таежных территорий в Карелии [58] и Швеции [145]. Основной диапазон полученных значений совпадает с диапазоном изменения стандартного отклонения Cорг (%), полученного методами обычной статистики (рис. 1a).
Доля дисперсии на малых расстояниях, близких к нулю (наггет-эффект), в общей дисперсии изменяется почти во всем возможном диапазоне от 0 до 0.8. Нам не удалось сформулировать причины столь больших различий.
Сравнение семивариограмм разных индикаторов углерод-трансформирующей функции нереально по величинам наггет-эффекта и порога из-за сильно отличающихся размерностей используемых индикаторов. При этом величина ранга заметно различается для Сорг и разных индикаторов, отражая специфику пространственного распределения каждого показателя.
Картографические подходы оценки факторов, влияющих на пространственное распределение содержания и запаса Сорг. На качественном уровне формирование почв и их свойств связывают с сочетанием взаимодействующих факторов, изменяющихся во времени: почвообразующей породы, климата, деятельности живых организмов, рельефа, гидрологических условий и гидрогеологического строения ландшафта, хозяйственной деятельности человека [14, 21, 71, 120]. Первая карта содержания гумуса в черноземных почвах европейской части России XIX в., составленная на основе 250 почвенных разрезов, была представлена В.В. Докучаевым в книге “Русский чернозем” в 1883 г. [21], публикацию которой считают рождением почвоведения как науки. Через столетие ее использовали для приблизительной оценки изменения содержания гумуса под влиянием использования черноземов в пашне путем сравнения двух карт, составленных с интервалом 100 лет [77]. В середине XX в. был сделан анализ влияния гидротермических климатических показателей на содержание гумуса в верхнем горизонте почвы и запасов гумуса до глубины 100–120 см для территории европейской части СССР и Азербайджанской ССР [8].
Почвы, относящие к разным таксономическим группам (тип почвы, подтип, разновидность по гранулометрическому составу и др.), имеют сравнительно ограниченный диапазон изменения содержания Cорг в поверхностных частях гумусовых горизонтов, мощности гумусовых горизонтов и однотипный характер вертикального распределения Cорг по профилю. Это обычно отражено в почвенных классификациях при краткой характеристике соответствующей таксономической группы почв [25, 26, 46].
Первый опыт оценки изменения содержания гумуса в черноземах Каменной Степи, имеющих разную мощность гумусового профиля и расположенных в разных позициях рельефа на пашне, в открытой степи и под лесополосами, был сделан Туминым [67]. Он использовал сравнение средних значений сравнительно небольших выборок почвенных разрезов (от 4 до 18) при общем количестве разрезов с аналитическими данными около 90.
Для целинных вариантов серых лесных почв на территории подтаежной и лесостепной природно-климатических зон юга Тюменской области на основе 111 полнопрофильных разрезов были получены статистические характеристики содержания и запаса гумуса в основных почвенных горизонтах. Показано, что для достаточно большой территории один подтип почвы характеризуется относительно небольшим коэффициентом вариации 20–30% отмеченных показателей [24].
Примером систематизации результатов почвенного обследования, выполненного Гипроземом, является трехтомная монография “Почвы Молдавии” [48]. В ней изложены сведения о свойствах почв с использованием статистических показателей варьирования (среднее и коэффициент вариации) и получением дифференциальных статистических распределений содержания гумуса внутри разных подтипов черноземов и серых лесных почв. Объемы выборок составили от нескольких сотен до нескольких тысяч почвенных разрезов по каждой группе. Из этих данных следует, что для всех подтипов черноземов Молдавии характерно постепенное уменьшение с глубиной стандартного отклонения Cорг с наибольшими значениями в верхней части профиля до 40–50 см, и обратная картина по коэффициенту вариации Cорг – минимальные значения (14–20%) в верхних горизонтах с постепенным увеличением вниз по профилю до 25–35%. Бурые лесные, серые лесные и перегнойно-карбонатные почвы отличаются от черноземов заметно более высокими значениями коэффициента вариации Cорг и в верхних (25–60%), и в нижних горизонтах (30–60%).
Поскольку почвенный покров представлен как элементарными почвенными ареалами сравнительно небольших размеров по площади от единиц квадратных метров до нескольких гектаров, так и различного рода почвенными комбинациями разного иерархического уровня в зависимости от строения ландшафтов, естественно ожидать разный характер пространственного распределения содержания и запасов Cорг по мере увеличения площади исследуемого участка, что отмечалось выше (рис. 1–3).
Во многих публикациях представлены карты пространственного распределения содержания Cорг или гумуса исследованных участков [13, 32, 37, 39, 64, 66, 73], а также содержания и запаса Сорг в разных регионах мира [89, 98, 99, 117, 129, 158, 165, 166].
В связи с развитием методов цифрового почвенного картографирования появилось много публикаций с анализом факторов, используемых в картографических цифровых моделях описания пространственного распределения содержания и запасов Cорг в почвах. Современное состояние вопросов цифрового картографирования содержания и запасов Cорг в почвах обсуждалось в нескольких главах одной из книг [97, 127, 174] и подробно освещено в обзоре [128]. Указанные авторы [128] отмечают, что во многих публикациях используют функцию пространственного предсказания почвы SCORPAN для территорий разного размера от поля до больших регионов и континентов.
В обзоре [162] показано, что для описания пространственного распределения содержания или запаса Cорг количественные климатические характеристики среднегодовой температуры и годовой суммы осадков обычно используют от уровня бассейна крупной реки до отдельных континентов и всего Земного шара, разные морфометрические параметры рельефа (уклоны, кривизну поверхности, специальные топографические индексы) – от элементарного почвенного ареала до ландшафта, тип растительности – от хозяйства до глобального уровня, характер почвообразующих пород – от ландшафта до континента, физико-химические свойства почв – на сравнительно небольших по площади участках, гранулометрический состав почв и характер землепользования – практически на всех иерархических уровнях строения почвенного покрова.
Значимость тех или иных факторов почвообразования, используемых в моделях пространственного описания содержания и запаса Cорг, отличается в зависимости от особенностей региона, размера картографируемого объекта, имеющейся БД по свойствам почв, густоты точек опробования и применяемых технологий цифрового картографирования [83, 98, 99, 117, 121, 129, 137, 139, 158, 161, 165, 166].
Сезонная и многолетняя изменчивость Cорг и других показателей. Исследования пространственного варьирования и сезонной динамики содержания Cорг и эмиссии CO2 из суглинистой Hapludalf на малых площадках (2 м2) с большой повторностью (n = 60 на каждой площадке в каждый срок) были выполнены на биологической станции в Мичигане [149]. Установлено, что при выраженном пространственном варьировании Cорг (коэффициент вариации 8–12% для площадки с пшеницей и 20–28% – 9-летнего тополя) получены значимые различия в июне по сравнению с апрелем, но разного знака: увеличение под тополем и уменьшение под пшеницей. Амплитуда составила 0.22–0.23% Cорг. При этом эмиссия CO2 изменялась в 1.5 раза больше, чем содержание Cорг под тополем, и в 5 раз больше под пшеницей. Авторы [149] считают, что основными причинами гетерогенности почвы на исследованном масштабе (2 м2) вероятно являются процессы, связанные с деятельностью корней растений и преобразованием растительных остатков.
В трехлетних ежемесячных наблюдениях в севообороте с озимой пшеницей на пылевато-суглинистых Typic Haploxeroll (северо-запад США) установлено, что сезонное варьирование составляет от половины до одной трети общего варьирования с амплитудой от 0.06 до 0.2% Cорг [163, 164]. В сильно кислых Ultisols под лесом на юге США с мая по октябрь содержание Cорг значимо изменялось с амплитудой до 0.7% на контрольном участке и до 1.2% под лесом после пожара на фоне среднего содержания Cорг 2.35% [93]. Минимальные значения отмечались летом, максимальные весной или осенью. В Канаде в длительных полевых опытах на черных и бурых черноземах (Black and Brown Chernozems) в разных севооборотах сделан вывод об отсутствии динамики Cорг в течение вегетационного периода в оба года наблюдений при варьировании сезонной амплитуды от 0.2 до 0.4% Cорг [95, 96]. Напротив, на других опытных станциях на участках пастбищ разной интенсивности использования при 10-кратной пространственной повторности (данные о варьировании не представлены) отмечена сильно выраженная сезонная динамика Cобщ с амплитудой 1.1–1.7% на бурых солодях и 1.5–4.5% на черноземах [105].
В Стрелецкой степи (Центрально-черноземный заповедник имени В.В. Алехина в Курской области) на основе 36–90-кратной пространственной повторности в целинном черноземе типичном установлено сезонное изменение содержания гумуса с минимумом в июне и максимумом в сентябре [9]. Амплитуда изменений составила в среднем 2% (абсолютных) содержания гумуса (1.16% Cорг) при среднем содержании 10% (5.8% Cорг) [9]. Эти данные были подвергнуты сомнению В.В. Пономаревой и И.В. Тюриным [76], поскольку трудно предположить, что 40 т/га гумуса в слое 0–20 см за 2–3 месяца накопилось за счет отпада корней, масса которых составляет не более 18 т/га. По мнению авторов настоящей статьи, более вероятна гипотеза о неадекватной схеме опробования в пространстве, которая не учитывала трехкомпонентную пятнистость почвенного покрова, включающую черноземы типичные, черноземы зоогенно перерытые и черноземы выщелоченные [72]. Иными словами, полученные разные значения содержания гумуса в разные сезоны года от 9 до 11% обусловлены высокой пространственной изменчивостью показателя в целинной почвенной комбинации с почвами, имеющими различающиеся гумусовые профили, на которую наложена сезонная динамика.
Похожие результаты получены для черноземов обыкновенных тяжелосуглинистых на целине и на пашне в Ставропольском крае [35]. В слое 0–10 см минимальные значения содержания гумуса отмечались летом, максимальные весной или осенью с амплитудой 1.06% (0.61% Cорг) в целине и 0.48% (0.28% Cорг) в пашне, что соответствует пространственной изменчивости 12–18% по коэффициенту вариации.
Особый интерес вызывает статья Самсоновой и Тимофеевой [53], в которой оценивали устойчивость статистического распределения значений содержания ОВ по 20 точкам опробования на площади 400 м2 в пахотном горизонте дерново-подзолистой почвы на территории агробиологической станции МГУ им. М.В. Ломоносова в Чашниково (Московская область) в течение вегетационного сезона. Тип статистического распределения оказался близким к нормальному в начале и конце вегетационного сезона, а во время вегетации растений отличался от него. Авторы [53] отметили отчетливую динамику средних (медианных) значений содержания ОВ в пахотном горизонте в интервале до 0.4% (0.23% Cорг) в слое 0–4 см и до 0.22% (0.13% Cорг) в слое 4–18 см, которую объяснили отличающимися механизмами в разные периоды. На участке площадью 16 га в Брянском ополье были получены близкие нормальные вероятностные графики пространственной изменчивости для двух лет опробования агросерых почв, что позволило пренебречь возможным изменением содержания гумуса во времени [52].
Промежуточный итог – амплитуда сезонной динамики Cорг в пахотном горизонте разных почв чаще всего меньше 0.23%, редко достигает 0.4%; на землях с постоянным растительным покровом она может увеличиваться до 2–4% (абсолютных).
Липатов с соавт. [37] для дерново-подзолистых, светло-серых лесных, серых лесных, темно-серых лесных почв, черноземов оподзоленных и выщелоченных Тульской области на пашне представили данные об изменении содержания гумуса по однократному анализу смешанного образца (составлен из 5 индивидуальных с площади 1 га) в течение 18 лет с 1983 по 2000 гг. Размах варьирования содержания гумуса составил 0.57–0.62% (0.33–0.36% Cорг) в дерново-подзолистых и светло-серых лесных пахотных почвах с разными типами севооборотов, 0.79–1.18% (0.46–0.68% Cорг) в серых, темно–серых лесных почвах и черноземах оподзоленных и 0.72–0.76% (0.42–0.44% Cорг) в черноземах выщелоченных. При этом авторы отмечают, что “…эти колебания продиктованы не трендовыми долгосрочными изменениями содержания гумуса, а отражают краткосрочные флуктуации этого показателя” ([37], с. 11). Следует обратить внимание, что в этой же статье рассматривается пространственное варьирование на таких же по размеру площадках пяти разных почв по данным 35 точек опробования на каждой. Коэффициент вариации менялся от 3.2 до 14% при размахе (максимум минус минимум) значений содержания гумуса от 0.6 до 1.4% в разных почвах. Иными словами, многолетняя изменчивость сопоставима с пространственной и, более того, с аналитическими погрешностями метода Тюрина, использованного для определения гумуса.
Специальные исследования [27, 28, 56, 65] 20-летней динамики содержания Cорг в черноземах типичных Курской области, включавшие тщательное метрологическое обеспечение определения показателя методом сухого сжигания на автоматических анализаторах, оценку пространственной вариабельности и сезонной изменчивости, показали значимое уменьшение содержания гумуса на 0.35% (от 6.1 до 5.75%) в среднем по участку, представленным микросочетанием черноземов типичных на выровненных поверхностях и выщелоченных на вогнутых, и более заметное до 0.6% гумуса (0.35% Cорг) в пределах элементарных почвенных ареалов черноземов типичных. В целом, полученные результаты позволили сделать следующий вывод: “При оценке тренда многолетней динамики содержания органического углерода в пахотных черноземах даже при отборе почвенных образцов в один и тот же срок необходимо исходить из того, что величина ΔС до 0.2% от массы почвы может быть обусловлена экспериментально зарегистрированной сезонной изменчивостью этого показателя, состоящей из аналитической ошибки, пространственной вариабельности и собственно сезонной составляющей” ([56], с. 70–71). Для обеспечения надлежащей точности мониторинга гумусового состояния черноземов авторы [65] рекомендовали выполнять детальное картографирование участка с точной привязкой точек опробования, формировать выборки из одноименных элементарных почвенных ареалов, учитывая положение их в микрорельефе, и использовать метод сухого сжигания для определения углерода с соответствующим метрологическим обеспечением аналитических работ.
В ряде работ представлены усредненные скорости изменения содержания гумуса или Cорг в почвах с разным землепользованием [65]. Приведем несколько значений для оценки порядка получаемых величин. Они рассматриваются как значимые, хотя отмечали и незначимые оценки для ряда исследованных почв [102, 113]. Для черноземов типичных в пашне получен отрицательный тренд –0.03%/год гумуса (–0.017%/год Cорг) в течение 20 лет [65]. В почвах Швейцарии отмечен положительный тренд 0.037 ± 0.004%/год Cорг на постоянных пастбищах и отрицательный тренд –0.011 ± 0.006%/год на пашне за 30-летний период [113]. Для почв Лёссового плато в Китае приводятся тренды увеличения запаса Cорг в слое 0–20 см в течение 10 лет (с 2005 по 2015) для разных типов землепользования, которые не являются пашней: 0.37 ± 0.12 т/(га год) на залежах, 0.67 ± 0.38 т/(га год) на землях, заросших лесом, 1.09 ± 0.25 т/(га год) в естественных лесах [102].
Таким образом, оценки многолетнего тренда изменения содержания или запаса Cорг, которые разные авторы считают значимыми, по абсолютной величине сопоставимы или меньше аналитической воспроизводимости используемых методов, заметно меньше амплитуды сезонной динамики и еще меньше пространственной вариабельности рассматриваемых показателей. Оценки принимаются значимыми на основании получения значимых разниц измерений, сделанных в два срока с временным интервалом через 10–30 лет. Из этого следует, что результаты сравнения содержания или запаса Cорг двух сроков измерений с существенно меньшим интервалом между ними (например, до 2–5 лет) с высокой вероятностью не могут характеризовать многолетний тренд. Значимые различия через такие интервалы времени могут быть связаны либо с сезонной динамикой, либо, более вероятно, с пространственным варьированием.
Минимальная значимая разница содержания и запаса Cорг при сравнении в пространстве или во времени и оценка численности выборки. Для оценки изменения значения показателя в почве в пространстве и/или во времени необходимо определить достоверность, точнее значимость отличия от нуля, разности значений показателя, измеренных на двух (или более) участках и/или в два срока на одной и той же площадке. Эта задача имеет ясное статистическое решение, которое предполагает получение средних значений и среднеквадратических отклонений (стандартных отклонений) показателя на каждой площадке и/или в каждый срок измерений.
При объеме сравниваемых выборок n1 и n2, оценок средних М1 и М2 и их ошибок m1 и m2, допущении, что разность d = M1 –M2 является нормально распределенной случайной величиной, имеющей генеральное среднее равное нулю с оценкой ошибки разности md, рассчитывают фактическое значение критерия Стьюдента tfact = =d/md. Если tfact ≥ tα, ν c уровнем значимости α и числом степеней свободы ν = n1 + n2 – 2, то разность d считают значимо отличающейся от нуля. Если tfact < tα, ν, то различия между средними считают статистически незначимыми [20]. Обычно принимают значение α = 0.05, что соответствует доверительной вероятности 0.95.
Планирование численности выборок необходимо для обеспечения минимальной значимой разности содержания или запаса Cорг в определенном слое почвы в два срока измерений на одной и той же площадке мониторинга. Оно основано на соотношениях, следующих из указанной статистической задачи, при допущениях, что n1 = = n2 = n, ν = 2n – 2, среднеквадратические отклонения одинаковы S1 = S2 = Sz:
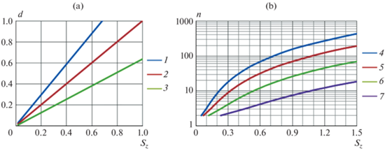
Поскольку значения n и tα, ν связаны друг с другом через число степеней свободы, планирование численности выборок удобно выполнить на основе двух вариантов диаграмм связи: (1) d = f (Sz) при разных значениях n (рис. 5a), значения коэффициента K4 для разных n приведены в табл. 6; (2) n = f(Sz) при фиксированных значениях минимальной значимой разности d (рис. 5b). Причем, коэффициент пропорциональности K4 в последней формуле при n = 9 приблизительно равен единице.
Рис. 5.
Диаграммы для оценки объема выборки: a – линейная связь минимальной значимой разности между средними (d) и одинаковых среднеквадратических отклонений (Sz) двух сравниваемых выборок в зависимости от объема выборок (n = n1 = n2), значения углового коэффициента K4 для разных n представлены в табл. 6; b – нелинейная связь объема выборки в один срок измерений (n = n1 = n2) и одинаковых среднеквадратических отклонений (Sz) двух сравниваемых выборок при фиксированном значении минимальной значимой разности средних (d). Величины d и Sz имеют одинаковые единицы. Обозначения: 1 – n = 5; 2 – n = 9; 3 – n = 20; 4 – d = 0.2% Cорг, или d = 0.2 кг/м2 запаса Cорг; 5 – d = 0.3% Cорг, или d = 0.3 кг/м2 запаса Cорг; 6 – d = 0.5% Cорг, или d = 0.5 кг/м2 запаса Cорг; 7 – d = 1.0% Cорг, или d = 1.0 кг/м2 запаса Cорг.

Таблица 6.
Значения коэффициента K4 в зависимости от объема выборки (n) в один срок
| n | ν | t0.95, ν | K4 |
|---|---|---|---|
| 2 | 2 | 4.3 | 4.3 |
| 3 | 4 | 2.78 | 2.27 |
| 4 | 6 | 2.45 | 1.732 |
| 5 | 8 | 2.31 | 1.461 |
| 6 | 10 | 2.23 | 1.287 |
| 7 | 12 | 2.18 | 1.165 |
| 8 | 14 | 2.14 | 1.07 |
| 9 | 16 | 2.12 | 0.999 |
| 10 | 18 | 2.1 | 0.939 |
| 11 | 20 | 2.09 | 0.891 |
| 12 | 22 | 2.07 | 0.845 |
| 13 | 24 | 2.06 | 0.808 |
| 14 | 26 | 2.06 | 0.779 |
| 15 | 28 | 2.05 | 0.749 |
| 16 | 30 | 2.04 | 0.721 |
| 17 | 32 | 2.04 | 0.7 |
| 18 | 34 | 2.04 | 0.68 |
| 19 | 36 | 2.03 | 0.659 |
| 20 | 38 | 2.02 | 0.639 |
| 25 | 48 | 2.01 | 0.569 |
| 30 | 58 | 2 | 0.516 |
| 40 | 78 | 2 | 0.447 |
| 50 | 98 | 1.99 | 0.398 |
Из анализа диаграмм следует, что минимальную значимую разность показателя, сопоставимую со среднеквадратическим отклонением (Sz), учитывающим вместе аналитическую, пространственную и сезонную составляющие, возможно обеспечить только при повторности 9 и больше. Более низкая повторность допустима лишь в тех случаях, если Sz $ \ll $ d.
Приемлемые значения Sz, связанные с пространственным варьированием на уровне 0.2–0.3% Cорг, обычно можно получить на сравнительно небольших расстояниях от 5 до 15–20 м. Увеличение расстояния между точками сопровождается заметным увеличением варьирования. По результатам анализа семивариограмм [17, 41] считается, что на расстояниях более 40–80 м варьирование содержания углерода в дерново-подзолистых почвах достигает своего максимума, и значения показателя в сравниваемых точках можно рассматривать независимыми. Вместе с тем, величина Sz становится более 0.4–0.5% Cорг, что потребует существенного увеличения пространственной повторности до 20–30 для обеспечения d < 0.3%.
На этом основании предлагается на одной площадке мониторинга делать 9 индивидуальных точек опробования в пространстве на малых расстояниях (от 5 до 15 м). Вместе с тем разнообразие почв и условий их использования велико. В каждом конкретном месте целесообразна оценка численности точек опробования, используя указанный выше подход, или его альтернативы [31].
ЗАКЛЮЧЕНИЕ
При оценке влияния составляющих цикла углерода в наземных природных и антропогенно преобразованных экосистемах, касающихся содержания и запаса Cорг в почвах, по необходимости требуется учитывать правильность и воспроизводимость методов определения указанных показателей, их пространственную изменчивость в разных условиях, сезонную динамику и многолетний тренд изменения во времени.
Самым мощным фактором изменчивости содержания Cорг в почвах является пространственная составляющая. Она включает характер вертикального распределения по почвенному профилю и горизонтальное распределение вдоль дневной поверхности. На основе многочисленных почвенных обследований в разных регионах мира, выполненных в течение 140-летнего периода, начиная с даты возникновения почвоведения как отрасли науки, можно утверждать, что наиболее сильное изменение содержания Cорг по почвенному профилю наблюдается в поверхностных горизонтах до глубины 30–40 см, редко глубже. Причем в почвах под постоянным растительным покровом заметное уменьшение Cорг с глубиной часто отмечается уже в первых сантиметрах от дневной поверхности, а активное перемешивание во время вспашки и других технологических операций обработки почвы приводит к выравниванию содержания Cорг в пределах обрабатываемого слоя почвы.
Горизонтальная составляющая пространственной изменчивости имеет наименьшие оценки на малых расстояниях в пределах элементарных почвенных ареалов по [70] или полипедона по [121]. Количественно она составляет от 0.1 до 1.0% Cорг абсолютного стандартного отклонения или 8–20% по коэффициенту вариации. Увеличение расстояния между точками или площади участка сопровождается возникновением иерархически усиливающейся неоднородности почвенного покрова в виде почвенных комбинаций (soil cover patterns) разных почв в геосистемах разного уровня строения вплоть до почвенного покрова Земли в целом. Выполненный анализ научной литературы позволил утверждать о наличии тренда увеличения абсолютного стандартного отклонения и коэффициента вариации содержания и запаса Cорг по мере увеличения логарифма площади участка. Тренд существует на фоне очень широкого разброса значений показателей пространственного варьирования в каждом сравнительно узком диапазоне изменения площади участка. Это создает высокую неопределенность оценок по мере увеличения охвата территории до размеров ландшафта, страны, континента.
Следующим важным фактором изменчивости содержания Cорг в почвах, оказывающим серьезное влияние на интерпретацию получаемых данных, является воспроизводимость и правильность методов определения Cорг. Среди используемых методов предпочтение следует отдать прямому методу сухого сжигания, который позволяет получать правильные (т.е. с наименьшими систематическими отклонениями) и хорошо воспроизводимые данные. Количественно, характеристики воспроизводимости метода сухого сжигания в 4–5 раз лучше минимальных значений аналогичных характеристик пространственного варьирования в пределах элементарного почвенного ареала.
Косвенные методы Тюрина и Walkley-Black, основанные на определении окисляемости ОВ, явно уступают методу сухого сжигания. Во-первых, они дают существенные непостоянные систематические отклонения содержания Cорг, чаще всего в сторону занижения, у метода Тюрина меньшие, по сравнению с методом Walkley-Black. Во-вторых, они имеют более низкую воспроизводимость по сравнению с методом сухого сжигания. Количественно, воспроизводимость обоих методов (у метода Walkley-Black чуть лучше, чем у метода Тюрина) сопоставима с минимальными значениями характеристик пространственного варьирования в пределах элементарного почвенного ареала.
Третьим важным фактором изменчивости Cорг в почве является сезонная динамика этого показателя в годичном цикле поступления в почву растительных остатков, их разложения, трансформации и минерализации в почве и эмиссией CO2 в атмосферу. Количественно, оценки амплитуды сезонной динамики Cорг в поверхностных горизонтах сопоставимы с характеристиками воспроизводимости методов Тюрина, Walkley-Black и минимальными характеристиками пространственного варьирования в пределах элементарного почвенного ареала. Можно предположить, что оценки сезонной амплитуды динамики более 0.5% абсолютного содержания Cорг с высокой вероятностью следует относить к пространственной составляющей варьирования, а при организации исследования потребуется детальное почвенное картографирование участка для выбора сравнительно однородных почвенных ареалов и увеличение числа точек опробования в их пределах, чтобы иметь приемлемую величину минимальной достоверной разности значений в два срока измерений на одном и том же участке.
Оценки многолетнего тренда изменения Cорг в почве имеют самые низкие числовые значения по сравнению с амплитудой сезонной динамики, воспроизводимостью используемых методов определения Cорг и пространственной изменчивостью. Их обычно называют скоростью изменения с соответствующими единицами, отличающимися от единиц, в которых выражают содержание Cорг. Утверждение, написанное выше, сделано для разницы содержания Cорг в почве через 1 год, численно совпадающей со значением средней скорости, но имеющей размерность содержания. Сделанное утверждение означает, что надежные оценки скорости изменения Cорг в многолетнем режиме возможно получить только на основе значимых различий содержания Cорг в два срока с интервалом времени между ними в несколько десятков лет при условии тщательной организации мониторинга. Мониторинг должен включать детальное почвенное картографирование тестового участка, схему опробования, соответствующей почвенному покрову, необходимое количество точек опробования, один постоянный или несколько сезонов отбора образцов и выбор надежного метода аналитического определения в оба срока.
При оценках запасов Cорг ситуация усугубляется в связи с более высокими характеристиками варьирования самого определения показателя по расчету четырех показателей (содержания Cорг, плотности слоя, доли мелкозема, толщины слоя почвы), каждый из которых имеет свои характеристики варьирования в пространстве и во времени. Соответственно, требования к ведению мониторинга запаса Cорг в разных слоях почв становятся еще более строгими.
Список литературы
Аналитическое обеспечение мониторинга гумусового состояния почв: Методические рекомендации М.: Россельхозакадемия, Почв. ин-т им. В.В. Докучаева, 1993. 73 с.
Афанасьев Р.А. Агрохимическое обеспечение точного земледелия // Проблемы агрохимии и экологии. 2008. № 3. С. 46–53.
Афанасьев Р.А. Методика полевых опытов по дифференцированному применению удобрений в условиях точного земледелия // Проблемы агрохимии и экологии. 2010. № 1. С. 38–44.
Вэй Ж.Б., Дзяо Д.Н., Чжанг Д.Й., Ли Д.Ю. Влияние рельефа и типа земель на пространственное распределение углерода органических веществ в почвах (на примере типичного локального водосборного бассейна в зоне черных почв северо-востока Китая) // Почвоведение. 2008. № 1. С. 44–53.
Витковская С.Е. Пространственная изменчивость параметров плодородия дерново-подзолистой почвы в полевых опытах // Агрофизика. 2011. № 2. С. 19–25.
Владыченский А.С., Рыжова И.М., Телеснина В.М., Галиахметов Р.Т. Пространственно-временная динамика содержания органического углерода в дерново-подзолистых почвах постагрогенных БГЦ // Вестник Моск. ун-та. Сер. 17, Почвоведение. 2009. № 2. С. 3–9.
Внутрилабораторный контроль воспроизводимости результатов анализа почвенно-агрохимических объектов. Методические рекомендации. М.: Почв. ин-т им. В.В. Докучаева, 1984. 23 с.
Волобуев В.Р. Почвы и климат. Баку: Изд-во АН Азербайджанской ССР, 1953. 320 с.
Герцык В.В. Сезонная динамика гумуса в мощных черноземах // Тр. Центрально-черноземного заповедника им. В.В. Алехина. Курск, 1959. Вып. 5. С. 32–38.
Гиниятуллин К.Г., Шинкарев А.А., Фазылова А.Г., Кузьмина К.И., Шинкарев А.А. (мл.) Пространственная неоднородность вторичной аккумуляции гумуса в старопахотных горизонтах залежных светло-серых лесных почв // Ученые записки Казанского ун-та. Естественные науки. 2012. Т. 154. Кн. 4. С. 61–70.
Гиниятуллин К.Г., Мухаметгалиева Г.Я., Латыпова А.И. Применение различных подходов к реперзентативному пробоотбору при изучении гумусонакопления в залежных почвах // Ученые записки Казанского ун-та. Естественные науки. 2013. Т. 155. Кн. 3. С. 208–220.
Гиниятуллин К.Г., Рязанов С.С., Смирнова Е.В., Латыпова Л.И., Рыжих Л.Ю. Использование геостатистических методов для оценки запасов органического вещества в залежных почвах // Ученые записки Казанского ун-та. Естественные науки. 2019. Т. 161. Кн. 2. С. 275–292.
Глазунов Г.П., Афонченко Н.В., Апухтин А.В. Анализ пространственного варьирования показателей плодородия черноземных почв в склоновых агроландшафтах // Вестник Курской гос. с.-х. академии. 2019. С. 23–31.
Глинка К.Д. Почвоведение. М.: Новая Деревня, 1927. 580 с.
ГОСТ 16263-70. Государственная система обеспечения единства измерений. Метрология. Термины и определения.
ГОСТ 26213-2021. Почвы. Методы определения органического вещества.
Готра О.Н. Структура пространственной неоднородности содержания гумуса в пахотном слое дерново-подзолистой почвы в пределах одного поля. Дис. … канд. биол. наук. М., 2004. 126 с.
Дворкин В.И. Метрология и обеспечение качества количественного химического анализа. М.: Химия, 2001. 263 с.
Дегтярева Е.Т. Результаты многолетнего полевого опыта по мелиорации солонцов в Городищенском районе Волгоградской области 1975–1999 гг. Фондовые материалы отдела генезиса и мелиорации засоленных и солонцовых почв ФИЦ “Почв. ин-т им. В.В. Докучаева”.
Дмитриев Е.А. Математическая статистика в почвоведении. М.: Изд-во Моск. ун-та, 1995. 320 с.
Докучаев В.В. Русский чернозем. СПб.: Русская коллекция, 2008. 480 с.
Докучаев П.М. Построение цифровой почвенной карты и картограммы углерода с использованием методов цифрового почвенного картографирования (на примере Вятско-Камской провинции дерново-подзолистых почв южной тайги). Дис. … канд. биол. наук. М., 2017.
Доспехов Б.А., Мазурина В.А. Варьирование агрохимических свойств дерново-подзолистой почвы и методика отбора почвенных проб в полевом опыте // Агрохимия. 1970. № 1. С. 86–94.
Каюгина С.М., Ерёмина Д.В. Пространственная вариабельность гумусового состояния собственно-серых лесных почв Северного Зауралья // Известия Оренбургского гос. аграрного ун-та. 2022. № 3. С. 21–26. https://doi.org/10.37670/2073-0853-2022-95-3-21-26
Классификация и диагностика почв России. Смоленск: Ойкумена, 2004. 342 с.
Классификация и диагностика почв СССР. М.: Колос, 1977. 223 с.
Когут Б.М. Трансформация гумусового состояния черноземов при их сельскохозяйственном использовании. Дис. … докт. с.-х. наук. М.: Почв. ин-т им. В.В. Докучаева, 1996. 353 с.
Когут Б.М., Краснова Н.М., Большаков В.А., Бродский Е.C., Кулешов В.И., Фрид А.C. Аналитическое обеспечение мониторинга содержания углерода в почвах // Почвоведение. 1992. № 12. С. 138–143.
Когут Б.М., Милановский Е.Ю., Хаматнуров Ш.А. О методах определения содержания органического углерода в почвах (критический обзор) // Бюл. Почв. ин- им. В.В. Докучаева. 2023. Вып. 114. С. 5–28. https://doi.org/10.19047/0136-1694-2023-114-5-28
Когут Б.М., Фрид А.С. Сравнительная оценка методов определения содержания гумуса в почвах // Почвоведение. 1993. № 9. С. 119–123.
Козлов М.В. Планирование экологических исследований: теория и практические рекомендации. М.: Товарищество научных изданий КМК, 2014. 171 с.
Кондрашкина М.И. Пространственная изменчивость содержания песчаной фракции и гумуса в пределах единичного сельскохозяйственного угодья // Природная и антропогенная неоднородность почв и статистические методы ее изучения. Сб. науч. статей. М.: Издательско-торговая корпорация “Дашков и К°”, 2022. С. 84–88.
Красильников П.В., Сидорова В.А. Геостатистический анализ пространственной структуры кислотности и содержания органического углерода зональных почв Русской равнины // Геостатистика и география почв. М.: Наука, 2007. С. 67–80.
Кузякова И.Ф., Кузяков Я.В. Влияние микрорельефа на пространственное варьирование содержания гумуса в дерново-подзолистой почве длительного полевого опыта // Почвоведение. 1997. № 7. С. 824–831.
Куприченков М.Т. Сезонная динамика химических и агрохимических свойств био- и агрочернозема // Достижения науки и техники АПК. 2013. № 7. С. 67–68.
Липатов Д.Н., Щеглов А.И., Манахов Д.В., Завгородняя Ю.А., Брехов П.Т. Пространственное варьирование содержания бенз(а)пирена и свойств агрозема вблизи Южно-Сахалинской ТЭЦ // Почвоведение. 2015. № 5. С. 633–640. https://doi.org/10.7868/S0032180X15030089
Липатов Д.Н., Лыжин В.А., Вежливцева Л.А. Пространственное распределение и многолетняя динамика содержания гумуса в агроландшафтах Тульской области // Вестник Моск. ун-та. Сер. 17, почвоведение. 2005. № 3. С. 35–41.
Литвинович А.В., Павлова О.Ю., Лаврищев А.В., Плылова И.А. Пространственная неоднородность содержания стабильного стронция в целинной и пахотной дерново-подзолистых почвах и роль гумусовых веществ в его закреплении // Агрохимия. 2012. № 4. С. 77–83.
Медведев В.В., Мельник А.И. Неоднородность агрохимических показателей почвы в пространстве и во времени // Агрохимия. 2010. № 1. С. 20–26.
Метрологическое обеспечение аналитических работ в почвоведении. Методические рекомендации М.: Почв. ин-т им. В.В. Докучаева, 1988. 112 с.
Мешалкина Ю.Л., Васенев И. И., Кузякова И.Ф., Романенков В.А. Геостатистика в почвоведении и экологии. Интерактивный курс для подготовки магистров по направлению “Агрохимия и агропочвоведение” профилю “Агроэкология” программе “Агроэкологический менеджмент и инжиниринг”. М., 2010. 95 с.
Никитин Д.А., Семенов М.В., Чернов Т.И., Ксенофонтова Н.А., Железова А.Д., Иванова Е.А., Хитров Н.Б., Степанов А.Л. Микробиологические индикаторы экологических функций почв (обзор) // Почвоведение. 2022. № 2. С. 1–16. https://doi.org/10.31857/S0032180X22020095
Орешкина Н.С. Статистические оценки пространственной изменчивости свойств почв. М.: Изд-во Моск. ун-та, 1988. 112 с.
Орлов Д.С., Бирюкова О.Н., Суханова Н.И. Органическое вещество почв Российской Федерации. М.: Наука, 1996. 256 с.
Орлов Д.С. Химия почв. М.: Изд-во Моск. ун-та, 1992. 400 с.
Полевой определитель почв России. М.: Почв. ин-т им. В.В. Докучаева, 2008. 182 с.
Пономарева В.В., Плотникова Т.А. Некоторые данные о степени внутримолекулярной окисленности гумуса разных типов почв (к вопросу о переводном коэффициенте с углерода на гумус) // Почвоведение. 1967. № 7. С. 85–95.
Почвы Молдавии. Т. 1. Генезис, экология, классификация и систематическое описание почв. Кишинев: Штиинца, 1984. 351 с.
Рыжова И.М., Подвезенная М.А. Пространственная вариабельность запасов органического углерода в почвах лесных и степных биогеоценозов // Почвоведение. 2008. № 12. С. 1429–1437.
Савкова Е.Н. Систематизация подходов к причинно-следственному моделированию неопределенности при отборе проб и пробоподготовке // Стандартизация. 2019. № 1. С. 33–44.
Самсонова В.П. Пространственная изменчивость почвенных свойств: на примере дерново-подзолистых почв. М.: Изд-во ЛКИ, 2008. 160 с.
Самсонова В.П., Благовещенский Ю.Н., Мешалкина Ю.Л. Использование эмпирического байесовского кригинга для выявления неоднородностей распределения органического углерода на сельхозугодьях // Почвоведение. 2017. № 3. С. 321–328. https://doi.org/10.7868/S0032180X17030108
Самсонова В.П., Тимофеева М.И. Динамика пространственной вариабельности содержания органического вещества в дерново-подзолистой пахотной почве // Вестник Моск. ун-та. Сер. 17, почвоведение. 1987. № 1. С. 18–23.
Самсонова В.П., Мешалкина Ю.Л., Дмитриев Е.А. Структуры пространственной вариабельности агрохимических свойств пахотной дерново-подзолистой почвы // Почвоведение. 1999. № 11. С. 1359–1366.
Сахабиев И.А. Оценка изменения пространственной структуры почвенных показателей территории многолетнего сортоиспытания (на примере Заинского государственного сортоиспытательного участка) // Природная и антропогенная неоднородность почв и статистические методы ее изучения. Сб. науч. статей. М.: Издательско-торговая корпорация “Дашков и К°”, 2022. С. 61–66.
Семенов В.М., Когут Б.М. Почвенное органическое вещество. М.: ГЕОС, 2015. 233 с.
Сидорова В.А. Библиография 1939–2006 гг. // Геостатистика и география почв. М.: Наука. 2007. С. 134–173.
Сидорова В.А. Изменение пространственной вариабельности почвенных свойств в результате антропогенного воздействия // Российский журн. прикладной экологии. 2010. № 3. С. 30–47. http://resources.krc.karelia.ru/krc/doc/publ2010/ IB_ecol_pochv_030-47.pdf
Сидорова В.А. Динамика пространственного варьирования почвенных свойств луговых агроценозов Карелии при постантропогенном развитии // Российский журн. прикладной экологии. 2016. № 3. С. 23–27.
Сидорова В.А., Красильников П.В. Почвенно-географическая интерпретация пространственной вариабельности химических и физических свойств поверхностных горизонтов почв степной зоны // Почвоведение. 2007. № 10. С. 1168–1178.
Сидорова В.А., Федоров Ф.В. Влияние бобров на вариабельность свойств почв Южной Карелии // Геостатистика и география почв. М.: Наука, 2007. С. 92–108.
Симонова Ю.В., Русаков А.В., Рюмин А.Г. Вариабельность запасов углерода на уровне пробных площадок (Ярославская область, Верхняя Волга) // Природная и антропогенная неоднородность почв и статистические методы ее изучения. Сб. науч. статей. М.: Издательско-торговая корпорация “Дашков и К°”, 2022. С. 37–42.
Смирнов В.Г. Пространственное распределение органического вещества в почвах эрозионных ландшафтов юго-западной лесостепной провинции ЦЧР. Выпускная квалификационная работа обучающегося по направлению подготовки 21.04.02 Землеустройство и кадастры очной формы обучения, группы 81001614. Белгород, Белгородский гос. национальный исследовательский ун-т. 2018. 81 с. https://nauchkor.ru/pubs/prostranstvennoe-raspredelenie-organicheskogo-veschestva-v-pochvah-erozionnyh-landshaftov-yugo-zapadnoy-lesostepnoy-provintsii-tschr-5c1a75f57966e104f6f85abf
Смирнова Л.Г., Чендев Ю.Г., Новых Л.Л., Украинский П.А., Новых Н.Е. Микрозональные особенности профильного и пространственного распределения содержания гумуса в почвах склона // Научные ведомости. Сер. Естественные науки. 2011. Вып. 16. № 15. С. 160–167.
Сорокина Н.П., Когут Б.М. Динамика содержания гумуса в пахотных черноземах и подходы к ее изучению // Почвоведение. 1997. № 2. С. 178–184.
Сулейманов А.Р. Цифровое картографирование содержания почвенного органического углерода на пахотном участке Республики Башкортостан // Природная и антропогенная неоднородность почв и статистические методы ее изучения. Сб. науч. статей. М.: Издательско-торговая корпорация “Дашков и К°”, 2022. С. 57–60.
Тумин Г.М. Влияние лесных полос на почву в Каменной Степи. Воронеж: Коммуна, 1930. 40 с.
Тюрин И.В. Новое видоизменение объемного метода определения гумуса с помощью хромовой кислоты // Почвоведение. 1931. № 5–6. С. 36–47.
ФАО. Стандартная рабочая методика для органического углерода почвы. Спектрофотометрический метод Тюрина. Рим, 2021.
Фридланд В.М. Структура почвенного покрова. М.: Мысль, 1972. 423 с.
Хитров Н.Б. Теоретические и методические аспекты исследования закономерностей изменения почв при антропогенных воздействиях // Закономерности изменения почв при антропогенных воздействиях и регулирование состояния и функционирования почвенного покрова: Матер. Всерос. науч. конф. М.: Почв. ин-т им. В.В. Докучаева, 2010. С. 3–12.
Целищева Л.К., Дайнеко Е.К. Очерк почв Стрелецкого участка Центрально-черноземного заповедника // Тр. Центрально-черноземного заповедника им. В.В. Алехина. Вып. X. М.: Лесная промышленность, 1967. С. 154–186.
Цирулев А.П. Пространственная неоднородность показателей почвенного плодородия и эффективность дифференцированного применения удобрений в Самарском Заволжье // Питание растений. 2011. № 1. С. 6–9.
Чевердин Ю.И., Беспалов В.А. Пространственное варьирование содержания гумуса в черноземах Каменной Степи // Плодородие. 2011. № 4. С. 28–29.
Чернова О.В., Голозубов О.М., Алябина И.О., Щепащенко Д.Г. Комплексный подход к картографической оценке запасов органического углерода в почвах России // Почвоведение. 2021. № 3. С. 273–286. https://doi.org/10.31857/S0032180X21030047
Черноземы СССР. М.: Колос, 1974. Т. 1. 560 с.
Чесняк Г.Я., Гаврилюк Ф.Я., Крупеников И.А., Лактионов Н.И., Шилихина И.И. Гумусовое состояние черноземов // Русский чернозем – 100 лет после Докучаева. М.: Наука, 1983. С. 186-198.
Честных О.В., Замолодчиков Д.Г. Зависимость плотности почвенных горизонтов от глубины их залегания и содержания гумуса // Почвоведение. 2004. № 8. С. 937–944.
Шамрикова Е.В., Ванчикова Е.В., Кондратёнок Б.М., Лаптева Е.М., Кострова С.Н. Проблемы и ограничения дихроматометрического метода измерения содержания почвенного органического вещества (обзор) // Почвоведение. 2022. № 7. С. 787–794. https://doi.org/10.31857/S0032180X22070097
Шарый П.А., Пинский Д.Л. Статистическая оценка связи пространственной изменчивости содержания органического углерода в серой лесной почве с плотностью, концентрациями металлов и рельефом // Почвоведение. 2013. № 11. С. 1344–1356.
Шоба С.А., Алябина И.О., Колесникова В.М., Молчанов Э.Н., Рожков В.А., Столбовой В.С., Урусевская И.С., Шеремет Б.В., Конюшков Д.Е. Почвенные ресурсы России. Почвенно-географическая БД. М.: ГЕОС, 2010. 128 с.
AAFC. Agriculture and Agri-Food Canada. The Canadian Soil Information System (CANSIS) and the National Soil Database (NSDB). http://sis.agr.gc.ca/cansis/index.html
Adhikari K., Hartemink A.E., Minasny B., Bou Kheir R., Greve M.B., Greve M.H. Digital Mapping of Soil Organic Carbon Contents and Stocks in Denmark // PLoS ONE. 2014. V. 9. № 8. P. e105519. https://doi.org/10.1371/journal.pone.0105519
Apesteguia M., Plante A.F., Virtoc I. Methods assessment for organic and inorganic carbon quantification in calcareous soils of the Mediterranean region // Geoderma Regional. 2017. V. 12. № 4. P. 39–48. https://doi.org/10.1016/j.geodrs.2017.12.001
Aşkin T., Kizilkaya R. Spatial Distribution Patterns of Soil Microbial Biomass Carbon within the Pasture // Agriculturae Conspectus Scientificus. 2007. V. 72. № 1. P. 75–79.
Aşkin T., Kizilkaya R. The spatial variability of urease activity of surface agricultural soils within an urban area // J. Central European Agriculture. 2005. V. 6. № 2. P. 161–166.
ASRIS. Australian Soil Resource Information System, Australian Department of Agriculture. http://www.asris.csiro.au/index_ie.html
Awale R., Emeson M.A., Machado S. Soil organic carbon pools as early indicators for soil organic matter stock changes under different tillage practices in Inland Pacific Northwest // Frontiers in Ecology and Evolution. 2017. V. 5. P. 96. https://doi.org/10.3389/fevo.2017.00096
Bai Y., Zhou Y. The main factors controlling spatial variability of soil organic carbon in a small karst watershed, Guizhou Province, China // Geoderma. 2020. V. 357. P. 113938. https://doi.org/10.1016/j.geoderma.2019.113938
Bergstrom D.W., Monreal C.M., Millette J.A., King D.J. Spatial Dependence of Soil Enzyme Activities along a Slope // Soil Sci. Soc. Am. J. 1998. V. 62. P. 1302–1308.
Black K., Creamer R.E., Xenakis G., Cook S. Improving forest soil carbon models using spatial data and geostatistical approaches // Geoderma. 2014. V. 232–234. P. 487–499. https://doi.org/10.1016/j.geoderma.2014.05.022
Blakemore L.C., Searle P.L., Daly B.K. Methods for chemical analysis of soils // New Zealand Soil Bureau. Scientific Report 10. Dep. of Sci. and Indus-trial Res. New Zealand, 1977. 112 p.
Boerner R.E.J., Brinkman J.A., Smith A. Seasonal variations in enzyme activity and organic carbon in soil of a burned and unburned hardwood forest // Soil Biol. Biochem. 2005. V. 37. P. 1419–1426. https://doi.org/10.1016/j.soilbio.2004.12.012
Bruun T.B., Ryan C.M., de Neergaard A., Berry N.J. Soil organic carbon stocks maintained despite intensification of shifting cultivation // Geoderma. 2021. V. 388. P. 114804. https://doi.org/10.1016/j.geoderma.2020.114804
Campbell C.A., Biederbeck V.O., Hahn D., Lafond G.P., Wen G., Schoenau J. Seasonal trends in soil biochemical attributes: Effects of crop management on a Black Chernozem // Can. J. Soil Sci. 1999a. V. 79. P. 85–97. https://doi.org/10.4141/S98-029
Campbell C.A., Biederbeck V.O., Zentner R.P., Hahn D., Wen G., Schoenau J. Seasonal trends in selected soil biochemical attributes: Effects of crop rotation in the semiarid prairie // Can. J. Soil Sci. 1999. V. 79. P. 73–84. https://doi.org/10.4141/S98-008
Carré F., Jeannée N., Casalegno S., Lemarchand O., Reuter H.I., Montanarella L. Mapping the CN ratio of the forest litters in Europe-Lessons for Global Digital Soil Mapping // Digital Soil Mapping. Progress in Soil Science 2. N.Y.: Springer Science + Business Media B.V., 2010. P. 217–225. https://doi.org/10.1007/978-90-481-8863-5_18
Chaplot V., Bouahom B., Valentin C. Soil organic carbon stocks in Laos: spatial variations and controlling factors // Global Change Biology. 2010. V. 16. P. 1380–1393. https://doi.org/10.1111/j.1365-2486.2009.02013.x
Choudhury B.U., Mohapatra K.P., Das A., Das P.T., Nongkhlaw L., Fiyaz R.A., Ngachan S.V., Hazarika S., Rajkhowa D.J., Munda G.C. Spatial variability in distribution of organic carbon stocks in the soils of North East India // Current Science. 2013. V. 104. № 5. P. 604–614
Constancias F., Terrat S., Saby N.P.A., Horrigue W., Villerd J., Guillemin J.-P., Biju-Duval L., Nowak V., Dequiedt S., Ranjard L., Prévost-Bouré N.C. Mapping and determinism of soil microbial community distribution across an agricultural landscape // Microboilogy Open. 2015. P. 1–13. https://doi.org/10.1002/mbo3.255
Cunningham S.C., Metzeling K.J., Mac Nally R., Thomson J.R., Cavagnaro T.R. Changes in soil carbon of pastures after afforestation with mixed species: Sampling, heterogeneity and surrogates // Agriculture, Ecosystems and Environment. 2012. V. 158. P. 58–65. https://doi.org/10.1016/j.agee.2012.05.019
Deng L., Wang K., Zhu G., Liu Y., Chen L., Shangguan Z. Changes of soil carbon in five land use stages following 10 years of vegetation succession on the Loess Plateau, China // Catena. 2018. V. 171. P. 185–192. https://doi.org/10.1016/j.catena.2018.07.014
Dijkshoorn J.A. SOTER database for Southern Africa (SOTERSAF). ISRIC – World Soil Information. Wageningen, 2003.
Dijkshoorn J.A., Huting J.R.M., Tempel P. Update of the 1 : 5 million Soil and Terrain Database for Latin America and the Caribbean (SOTERLAC; version 2.0). ISRIC – World Soil Information. Wageningen, 2005.
Dormaar J.F., Johnston A., Smoliak S. Seasonal variation in chemical characteristics of soil organic matter of grazed and ungrazed mixed prairie and fescue grassland // J. Range Management. 1977. V. 30. P. 195–198. https://doi.org/10.2307/3897467
Eze S., Palmer S.M., Chapman P.J. Soil organic carbon stock in grasslands: Effects of inorganic fertilizers, liming and grazing in different climate settings // J. Environ. Management. 2018. V. 223. P. 74–84. https://doi.org/10.1016/j.jenvman.2018.06.013
FAO. Global Soil Laboratory Network. Standard operating procedure for soil organic carbon – Walkley-Black method: Titration and colorimetric method. Rome, FAO. 2019. https://www.fao.org/3/ca7471en/ca7471en.pdf
FAO. Global Soil Laboratory Network. Standard operating procedure for soil total carbon – Dumas dry combustion method. Rome, FAO. 2019. https://www.fao.org/3/ca7781en/ca7781en.pdf
FAO. A protocol for measurement, monitoring, reporting and verification of soil organic carbon in agricultural landscapes – GSOC-MRV Protocol. Rome, 2020. https://doi.org/10.4060/cb0509en
Funes I., Savé R., Rovira P., Molowny-Horas R., Alcañiz J.M., Ascaso E., Herms I., Herrero C., Boixadera J., Vayreda J. Agricultural soil organic carbon stocks in the north-eastern Iberian Peninsula: Drivers and spatial variability // Sci. Total Environ. 2019. V. 668. P. 283–294. https://doi.org/10.1016/j.scitotenv.2019.02.317
Gardi C., Sconosciuto F. Evaluation of carbon stock variation in Northern Italian soils over the last 70 years // Sustainable Sci. 2007. V. 2. P. 237–243. https://doi.org/10.1007/s11625-007-0034-9
Gómez J.A., Guzmán G., Vanwalleghem T., Vanderlinden K. Spatial variability of soil organic carbon stock in an olive orchard at catchment scale in Southern Spain // Int. Soil Water Conservation Res. 2022. V. 12. P. 002. https://doi.org/10.1016/j.iswcr.2022.12.002
Guillaume T., Bragazza L., Levasseur C., Libohova Z., Sinaj S. Long-term soil organic carbon dynamics in temperate cropland-grassland systems // Agriculture, Ecosystems and Environment. 2021. V. 305. P. 107184. https://doi.org/10.1016/j.agee.2020.107184
Guo L.B., Gifford R.M. Soil carbon stock and land use change: A meta-analysis // Global Change Biol. 2002. V. 8. № 4. P. 345–360. https://doi.org/10.1046/j.1354-1013.2002.00486.x
Harmonized World Soil Database (version 1.0). Rome: FAO, IIASA, ISRIC, ISS-CAS, JRC. FAO, 2008.
Hoogsteen M.J.J., Breure A.M., van Ittersum M.K. Monitoring soil organic matter on grassland farms: An exploratory analysis // Geoderma. 2022. V. 405. P. 115456. https://doi.org/10.1016/j.geoderma.2021.115456
Huang B., Sun W., Zhao Y., Zhu J., Yang R., Zou Z., Ding F., Su J. Temporal and spatial variability of soil organic matter and total nitrogen in an agricultural ecosystem as affected by farming practices // Geoderma. 2007. V. 139. P. 336–345. https://doi.org/10.1016/j.geoderma.2007.02.012
Intergovernmental Panel on Climate Change. Good Practice Guidance for Land Use, Land-Use Change and Forestry. IPCC National Greenhouse Gas Inventories Programme / Eds. Penman J. et al. IPCC, 2008. 590 p.
IPCC 2019. Refinement to the 2006 IPCC Guidelines for National Greenhouse Gas Inventories / Eds. Calvo Buendia et al. IPCC, 2019.
Jenny H. Factors of soil formation: a system of quantitative pedology. N.Y.: Dover Publications, 1941. 281 p.
Johnson W.M. The Pedon and the Polypedon // Soil Sci. Soc. Am. Proc. 1963. V. 27. P. 212–215.
Lacoste M., Minasny B., McBratney A., Michot D., Viaud V., Walter C. High resolution 3D mapping of soil organic carbon in a heterogeneous agricultural landscape // Geoderma. 2014. V. 213. P. 296–311. https://doi.org/10.1016/j.geoderma.2013.07.002
Lal R. Sequestering atmospheric carbon dioxide // Critical Rev. Plant Sci. 2009. V. 28. P. 90–96. https://doi.org/10.1080/07352680902782711
Le Bas C., King D., Jamagne M., Daroussin J. The European Soil Information System. Luxembourg: European Soil Bureau Research, 1998.
Liptzin D., Norris C.E., Cappellazzi S.B., Mac Bean G., Cope M., Greub K.L.H., Rieke E.L. et al. An evaluation of carbon indicators of soil health in long-term agricultural experiments // Soil Biol. Biochem. 2022. V. 172. P. 108708. https://doi.org/10.1016/j.soilbio.2022.108708
Maillard E., McConkey B.G., Angers D.A. Increased uncertainty in soil carbon stock measurement with spatial scale and sampling profile depth in world grasslands: A systematic analysis // Agriculture, Ecosystems and Environment. 2017. V. 236. P. 268–276. https://doi.org/10.1016/j.agee.2016.11.024
Mendonça-Santos M.L., Dart R.O., Santos H.G., Coelho M.R., Berbara R.L.L., Lumbreras J.F. Digital soil mapping of topsoil organic carbon content of Rio de Janeiro State, Brazil // Digital Soil Mapping. Progress in Soil Science 2. N.Y.: Springer Science + Business Media B.V., 2010. P. 255–266. https://doi.org/10.1007/978-90-481-8863-5_21
Minasny B., McBratney A.B., Malone B.P., Wheeler I. Digital Mapping of Soil Carbon // Adv. Agronomy. 2013. V. 118. P. 1–47. https://doi.org/10.1016/B978-0-12-405942-9.00001-3
Mishra U., Lal R., Liu D., Van Meirvenne M. Predicting the Spatial Variation of the Soil Organic Carbon Pool at a Regional Scale // Soil Sci. Soc. Am. J. 2010. V. 74. № 3. P. 906–914. https://doi.org/10.2136/sssaj2009.0158
Mishra U., Riley W.J. Scaling impacts on environmental controls and spatial heterogeneity of soil organic carbon stocks // Biogeosciences. 2015. № 12. P. 3993–4004. https://doi.org/10.5194/bg-12-3993-2015
Nelson D.W., Sommers L.E. Total carbon, organic carbon, and organic matter // Methods of Soil Analysis. Part 3. Chemical Methods. Madison: SSSA Book Series, 1996. P. 961–1010.
Nguemezi C., Tematio P., Silatsa F.B.T., Yemefack M. Spatial variation and temporal decline (1985–2017) of soil organic carbon stocks (SOCS) in relation to land use types in Tombel area, South-West Cameroon // Soil Till. Res. 2021. V. 213. 1051114. P. 1–11. https://doi.org/10.1016/j.still.2021.105114
Oueslati I., Allamano P., Bonifacio E., Claps P. Vegetation and Topographic Control on Spatial Variability of Soil Organic Carbon // Pedosphere. 2013. V. 23. P. 48–58.
Peigné J., Vian J.-F., Cannavacciuolo M., Bottollier B., Chaussod R. Soil sampling based on field spatial variability of soil microbial indicators // Eur. J. Soil Biol. 2009. P. 488–495. https://doi.org/10.1016/j.ejsobi.2009.09.002
Piotrowska A., Dlugosz J., Namysłowska-Wilczyńska B., Zamorski R. Field-scale variability of topsoil dehydrogenase and cellulase activities as affected by variability of some physico-chemical properties // Biol. Fertil. Soils. 2011. V. 47. P. 101–109. https://doi.org/10.1007/s00374-010-0507-3
Rahman M.H., Holmes A.W., Saunders S.J. Spatio-temporal variation in soil organic carbon under kiwifruit production systems of New Zealand // Proc. 1st Int. Symposium on Organic Matter Management and Compost in Horticulture. Eds.: Biala J. et al. Acta Hort. 1018, ISHS, 2014. P. 279–286.
Romanenko I.A., Romanenkov V.A., Smith P., Smith J.U., Sirotenko O.D., Lisovoi N.V., Shevtsova L.K., Rukhovich D.I., Koroleva P.V. Constructing regional scenarios for sustainable agriculture in European Russia and Ukraine for 2000 to 2070 // Regional Environmental Change. 2007. V. 7. P. 63–77. https://doi.org/10.1007/s10113-007-0032-6
Rossel R.A.V., Webster R., Bui E.N., Baldock J.A. Baseline map of organic carbon in Australian soil to support national carbon accounting and monitoring under climate change // Global Change Biology. 2014. V. 20. P. 2953–2970. https://doi.org/10.1111/gcb.12569
Rukhovich D.I., Koroleva P.V., Vilchevskaya E.V, Romanenkov V.A., Kolesnikova L.G. Constructing a spatially-resolved database for modelling soil organic carbon stocks of croplands in European Russia // Regional Environmental Change. 2007. V. 7. P. 51–61. https://doi.org/10.1007/s10113-007-0029-1
Qiu W., Curtin D., Johnstone P., Beare M., Hernandez-Ramirez G. Small-Scale Spatial Variability of Plant Nutrients and Soil Organic Matter: an Arable Cropping Case Study // Communications in Soil Science and Plant Analysis. 2016. https://doi.org/10.1080/00103624.2016.1228945
Oueslati I., Allamano P., Bonifacio E.,Claps P. Vegetation and Topographic Control on Spatial Variability of Soil Organic Carbon // Pedosphere. 2013. V. 23. P. 48–58.
Schimel J. Modeling ecosystem-scale carbon dynamics in soil: The microbial dimension // Soil Biol. Biochem. 2023. V. 178. P. 108948. https://doi.org/10.1016/j.soilbio.2023.108948
Schöning I., Totsche K.U., Kögel-Knabner I. Small scale spatial variability of organic carbon stocks in litter and solum of a forested Luvisol // Geoderma. 2006. V. 136. P. 631–642. https://doi.org/10.1016/j.geoderma.2006.04.023
Schulp C.J.E., Verburg P.H. Effect of land use history and site factors on spatial variation of soil organic carbon across a physiographic region // Agriculture, Ecosystems and Environment. 2009. V. 133. P. 86–97. https://doi.org/10.1016/j.agee.2009.05.005
Shahbaz M., Bengtson P., Mertes J.R., Kulessa B., Kljun N. Spatial heterogeneity of soil carbon exchanges and their drivers in a boreal forest // Sci. Total Environ. 2022. V. 831. P. 154876. https://doi.org/10.1016/j.scitotenv.2022.154876
Shamrikova E.V., Kondratenok B.M., Tumanova E.A., Vanchikova E.V., Lapteva E.M., Zonova T.V., Lu-Lyan-Min E.I., Davydova A.P., Libohova Z., Suvannang N. Transferability between soil organic matter measurement methods for database harmonization // Geoderma. 2022. V. 412. P. 115547. https://doi.org/10.1016/j.geoderma.2021.115547
Soil Survey Staff, Natural Resources Conservation Service, United States Department of Agriculture. American Web Soil Survey and Geographic (SSURGO). http://soildatamart.nrcs.usda.gov
Stevens F., Bogaert P., van Wesemael B. Detecting and quantifying field-related spatial variation of soil organic carbon using mixed-effect models and airborne imagery // Geoderma. 2015. V. 259–260. P. 93–103. https://doi.org/10.1016/j.geoderma.2015.05.008
Stoyan H., De-Polli H., Bohm S., Robertson G.P., Paul E.A. Spatial heterogeneity of soil respiration and related properties at the plant scale // Plant and Soil. 2000. V. 222. P. 203–214. https://doi.org/10.1023/A:1004757405147
Tabatabai M.A., Bremner J.M. Use of the Leco automatic 70-second carbon analyzer for total carbon analyses of soils // Soil Sci. Soc. Amer. Proc. 1970. V. 34. № 4. P. 608–610.
Tan X., Xie B., Wang J., He W., Wang X., Wei G. County-Scale Spatial Distribution of Soil Enzyme Activities and Enzyme Activity Indices in Agricultural Land: Implications for Soil Quality Assessment // Scientific World J. 2014. P. 535768. https://doi.org/10.1155/2014/535768
Tate K.R., Wilde R.H., Giltrap D.J., Baisden W.T., Saggar S., Trustrum N.A., Scott N.A., Barton J.P. Soil organic carbon stocks and flows in New Zealand: System development, measurement and modelling // Can. J. Soil. Sci. 2005. V. 85. P. 481–489.
Tesfay F., Kibret K., Gebrekirstos A., Hadgu K.M. Soil Carbon and Nitrogen Stock and Their Spatial Variability Along an Exclosure Chronosequence at Kewet District, Central Dry Lowlands of Ethiopia // Air, Soil Water Research. 2022. V. 15. P. 1–16. https://doi.org/10.1177/11786221221124546
Tóth E., Kisic I., Galic M., Telak L.J., Brezinscak L., Dugan I., Dencső M., Gelybó G., Bakacsi Z., Horel Á., Bogunovic I. Spatial mapping of soil respiration using auxiliary variables. A small scale study // J. Central European Agriculture. 2021. V. 22. P. 657–668. https://doi.org/10.5513/JCEA01/22.3.3227
Turner J., Lambert M. Change in organic carbon in forest plantation soils in eastern Australia // Forest Ecology and Management. 2000. V. 133. P. 231–247.
Walkley A., Black I.A. An examination of the Degjareff method for determining soil organic matter and a proposed modification of the chromic acid titration method // Soil Science. 1934. V. 37. P. 29–38.
Wang L., Okin G.S., Caylor K.K., Macko S.A. Spatial heterogeneity and sources of soil carbon in southern African savannas // Geoderma. 2009. V. 149. P. 402–408. https://doi.org/10.1016/j.geoderma.2008.12.014
Wang S., Xu L., Zhuang Q., He N. Investigating the spatio-temporal variability of soil organic carbon stocks in different ecosystems of China // Sci. Total Environ. 2021. V. 758. P. 143644. https://doi.org/10.1016/j.scitotenv.2020.143644
Webster R., Oliver M.A. Statistical methods in soil and land resource survey. Oxford: Oxford Univ. press, 1990. 316 p.
Wenzel W.W., Duboc O., Golestanifard A., Holzinger C., Mayr K., Reiter J., Schiefer A. Soil and land use factors control organic carbon status and accumulation in agricultural soils of Lower Austria // Geoderma. 2022. V. 409. P. 115595. https://doi.org/10.1016/j.geoderma.2021.115595
Wiesmeier M., Barthold F., Spörlein P., Geuß U., Hangen E., Reischl A., Schilling B., Angst G., von Lützow M., Kögel-Knabner I. Estimation of total organic carbon storage and its driving factors in soils of Bavaria (southeast Germany) // Geoderma Regional. 2014. V. 1. P. 67–78. https://doi.org/10.1016/j.geodrs.2014.09.001
Wiesmeier M., Urbanski L., Hobley E., Lang B., von Lützow M., Marin-Spiotta E., van Wesemael B., Rabot E., Ließ M., Garcia-Franco N., Wollschläger U., Vogel H.-J., Kögel-Knabner I. Soil organic carbon storage as a key function of soils – A review of drivers and indicators at various scales // Geoderma. 2019. V. 333. P. 149–162. https://doi.org/10.1016/j.geoderma.2018.07.026
Wuest S. Seasonal variation in soil organic carbon // Soil Sci. Soc. Am. J. 2014. V. 78. P. 1442–1447. https://doi.org/10.2136/sssaj2013.10.0447
Wuest S.B., Schillinger W.F., Machado S. Variation in soil organic carbon over time in no-till versus minimum tillage dryland wheat-fallow // Soil Till. Res. 2023. V. 229. 105677. P. 1–9. https://doi.org/10.1016/j.still.2023.105677
Xie E., Zhang Y., Huang B., Zhao Y., Shi X., Hu W., Qu M. Spatiotemporal variations in soil organic carbon and their drivers in southeastern China during 1981–2011 // Soil Till. Res. 2021. V. 205. P. 104763. https://doi.org/10.1016/j.still.2020.104763
Xiong X., Grunwald S., Myers D.B., Kim J., Harris W.G., Bliznyuk N. Assessing uncertainty in soil organic carbon modeling across a highly heterogeneous landscape // Geoderma. 2015. V. 251–252. P. 105–116. https://doi.org/10.1016/j.geoderma.2015.03.028
Yang F., Tiana J., Fanga H., Gaoa Y., Zhanga X., Yua G., Kuzyakov Y. Spatial heterogeneity of microbial community and enzyme activities in a broad-leaved Korean pine mixed forest // Eur. J. Soil Biol. 2018. V. 88. P. 65–72. https://doi.org/10.1016/j.ejsobi.2018.07.001
Yang P., Byrne J.M., Yang M. Spatial variability of soil magnetic susceptibility, organic carbon and total nitrogen from farmland in northern China // Catena. 2016. V. 145. P. 92–98. https://doi.org/10.1016/j.catena.2016.05.025
Yu D.-S., Zhang Z.-Q., Yang H., Shi X.-Z., Tan M.-Z., Sun W.-X., Wang H.-J. Effect of Soil Sampling Density on Detected Spatial Variability of Soil Organic Carbon in a Red Soil Region of China // Pedosphere. 2011. V. 21. P. 207–213.
Yun-Qiang W.A.N.G., Zhang X.C., Zhang J.L., Shun-Ji L.I. Spatial variability of soil organic carbon in a watershed on the Loess Plateau // Pedosphere. 2009. V. 19. P. 486–495. https://doi.org/10.1016/S1002-0160(09)60141-7
Zhang P., Wang Y., Xu L., Sun H., Li R., Zhou J. Factors controlling the spatial variability of soil aggregates and associated organic carbon across a semi-humid watershed // Sci. Total Environ. 2022. V. 809. P. 151155. https://doi.org/10.1016/j.scitotenv.2021.151155
Zhang S., Zhang X., Liu Z., Sun Y., Liu W., Dai L., Fu S. Spatial heterogeneity of soil organic matter and soil total nitrogen in a Mollisol watershed of Northeast China // Environ. Earth Sci. 2014. V. 72. P. 275–288. https://doi.org/10.1007/s12665-014-3081-4
Zhao W., Cao T., Li Z., Luo M., Su Y. Spatial variability of soil organic matter in a gravel-sand mulched jujube orchard at field scale // Arabian J. Geosciences. 2020. V. 13. 446. https://doi.org/10.1007/s12517-020-05465-w
Zhao Y.C., Shi X.Z. Spatial prediction and uncertainty assessment of soil organic carbon in Hebei Province, China // Digital Soil Mapping. Progress in Soil Science 2. N.Y.: Springer Science + Business Media B.V., 2010. P. 227–239. https://doi.org/10.1007/978-90-481-8863-5_19
Дополнительные материалы
- скачать ESM.docx
- Приложение 1.
Таблица S1. Характеристики пространственного варьирования содержания Cорг в зависимости от площади участка.
Таблица S2. Характеристики пространственного варьирования запаса Cорг в зависимости от площади участка.
Таблица S3. Характеристики пространственного варьирования содержания Cорг и индикаторов углерод-трансформирующей функции почв
Инструменты
Почвоведение


