Радиационная биология. Радиоэкология, 2022, T. 62, № 5, стр. 523-531
МЕЛАТОНИН СНИЖАЕТ РАДИАЦИОННЫЕ ПОВРЕЖДЕНИЯ СЕЛЕЗЕНКИ И УВЕЛИЧИВАЕТ ВЫЖИВАЕМОСТЬ ПРИ ЕГО ВВЕДЕНИИ ДО И ПОСЛЕ ВОЗДЕЙСТВИЯ НА МЫШЕЙ РЕНТГЕНОВСКОГО ИЗЛУЧЕНИЯ
С. А. Абдуллаев 1, 2, *, С. И. Глухов 1, А. И. Газиев 1
1 Институт теоретической и экспериментальной биофизики РАН
Пущино, Россия
2 ГНЦ Федеральный медицинский биофизический центр им. А.И. Бурназяна ФМБА России
Москва, Россия
* E-mail: saabdullaev@gmail.com
Поступила в редакцию 07.04.2022
После доработки 20.06.2022
Принята к публикации 29.06.2022
- EDN: JRUEOE
- DOI: 10.31857/S0869803122050034
Аннотация
Исследовали повреждения селезенки после воздействия рентгеновского облучения всего тела мышей в дозе 5 Гр и модуляции этих повреждений введением мелатонина (МЕЛ). Одновременно определяли влияние МЕЛ на выживаемость мышей, облученных в дозах 5 и 9 Гр. При этом оценивались повреждения и репарация ядерной ДНК, уровни малонового диальдегида (МДА), восстановленного глутатиона (ГЛТ) и частоты индукции микроядер в клетках костного мозга мышей. Результаты показали, что в селезенке мышей, получивших МЕЛ, пострадиационное восстановление ДНК происходит более активно по сравнению с таковым у контрольных групп. При этом эффект модуляции МЕЛ более выражен в тканях мышей, которым вводили МЕЛ после облучения. Уровни МДА резко снижаются в селезенке мышей, которым вводили МЕЛ, тогда как содержание ГЛТ существенно повышается. У облученных мышей, которым вводили МЕЛ, также наблюдается снижение частоты микроядер. Результаты по выживаемости мышей показали, что МЕЛ оказывает эффективную защиту от воздействия рентгеновского излучения. Наблюдаемая радиационная защита МЕЛ более выражена при его введении мышам после облучения в дозах 5 и 9 Гр. Таким образом, МЕЛ снижает радиационные повреждения селезенки и увеличивает выживаемость мышей при его введении до и после их облучения.
Селезенка является одним из важнейших радиочувствительных лимфоидных органов, которая выполняет широкий спектр иммунологических функций, и она рассматривается как центр системы защиты крови, поддерживающий уровни лейкоцитов, эритроцитов и тромбоцитов [1–3].
Радиационное повреждение селезенки происходит при различных ситуациях, возникающих при воздействии ионизирующих излучений (ИИ), в частности, в процессе лучевой терапии опухолей внутрибрюшинных органов [4].
В настоящее время на практике для радиационной защиты здоровых тканей при лучевой терапии применяют несколько разрешенных препаратов, однако эффективность этих соединений еще весьма ограничена [2]. Поэтому поиск нетоксических и эффективных соединений для снижения повреждений нормальных тканей в процессе лучевой терапии актуален. Поскольку лимфоидные ткани очень чувствительны к ИИ, то повреждение селезенки при длительном воздействии жесткого космического излучения на космонавтов также остается критическим фактором при космических полетах за пределами земной орбиты. Метаболизм селезенки и изменения пострадиационных состояний иммунных реакций, зависящие от селезенки, после воздействия малых доз космической радиации хорошо задокументированы у экспериментальных животных и космонавтов [5, 6].
Ранее было показано, что диетические добавки антиоксидантов снижают частоту мутаций в локусе гипоксантин-гуанинфосфорибозилтрансферазы (hprt) спленоцитов [7] и повышают экспрессию генов, предотвращающих апоптоз, и антиоксидантных ферментов в клетках селезенки мышей, подвергнутых γ-облучению [8]. Следует отметить также, что в отличие от других тканей, селезенка имеет определенную специфику проявления реакции на радиационное воздействие. Она обусловлена тем, что спленоциты содержат повышенный уровень ионов железа, которые после радиационного воздействия высвобождаются и могут способствовать чрезмерному усилению уровня окислительного стресса с индукцией ферроптоза клеток селезенки [9]. Поэтому для подавления повышенного уровня окислительного стресса в спленоцитах при радиационном воздействии необходим более активный антиоксидант.
Результаты множества исследований указывают, что в качестве одного из наиболее активных антиоксидантов-радиопротекторов для снижения радиационных повреждений можно рассматривать мелатонин (N-ацетил-5-метокситриптамин), подавляющий эффекты воздействия ИИ in vitro и in vivo [10]. В настоящее время мелатонин (МЕЛ) клинически применяется как препарат, нормализирующий циркадные ритмы, а также все чаще находят его применение в качестве адъюванта при лучевой терапии опухолей [11–13]. Поэтому исследование радиопротекторного, радиомитигаторного действия МЕЛ на наиболее радиочувствительные ткани млекопитающих, в частности, на селезенку, представляет значительный интерес.
Задачей настоящего исследования являлась сравнительная оценка радиопротекторного и радиомитигаторного действия МЕЛ на селезенку. В качестве оценочных маркеров мы использовали результаты анализа повреждения и репарации ядерной ДНК, изменения уровней малонового диальдегида (MДA) – продукта окисления липидов и уровней восстановленного глутатиона (ГЛТ) – маркера активности антиоксидантной системы. А также анализировали изменения частоты микроядер (МЯ) в клетках костного мозга, на уровень которых оказывает влияние функциональное состояние селезенки [14]. Важнейшим оценочным критерием радиопротекторного, радиомитигаторного действия МЕЛ на мышей являлась также регистрация пострадиационного выживания при введении препарата до и после облучения в дозах 5 и 9 Гр.
МАТЕРИАЛЫ И МЕТОДИКА
Мыши-самцы линии C57BL/6 в возрасте 2 мес. массой 20–22 г были получены из питомника “Столбовая, Московская обл.”. Мышей использовали в опытах после 7 дней акклиматизации в помещении для животных ИТЭБ РАН. Все эксперименты с животными проводили в соответствии с Европейской конвенцией о защите позвоночных животных, используемых в экспериментальных и других научных целях, Директивой 2010/63/EU. Протокол был одобрен Комитетом по биомедицинской этике ИТЭБ РАН/секцией физиологии Комитета по биоэтике России (протокол № 20 от 9 февраля 2021 г.). Животные находились на специальной диете для мышей и крыс со свободным доступом к чистой питьевой воде. Облучение животных проводили в Центре коллективного пользования – группе источников излучения Института биофизики клетки РАН на рентгеновском аппарате РУТ-250-15-1 (280 кВп, 20 мА) с фильтрами AL и Cu 1 мм при мощности дозы 1 Гр/мин. Животных облучали в пластиковых контейнерах в дозе 5 Гр при определении повреждения и репарации ДНК, в дозе 2 Гр при анализах частоты микроядер клеток костного мозга и в дозах 5 и 9 Гр при определении их выживаемости после облучения.
Мелатонин (“Sigma-Aldrich”, США) растворяли в кипяченой питьевой воде (комнатной температуры), содержащей 0.1% диметилсульфоксида (ДМСО). Конечные концентрации этого раствора составляли 2.5% МЕЛ и 0.1% ДМСО. Раствор вводили мышам перорально в объеме 100 мкл, что соответствует дозам МЕЛ 125 мг/кг и ДМСО 0.1 мг/кг массы тела мыши [15]. Также отдельно готовили 0.1%-ный раствор ДМСО для введения контрольным группам мышей. Каждая отдельная группа состояла из пяти мышей. Препарат дополнительно вводили (0.3 мг/мл) в питьевую воду в течение 24 и 48 ч мышам, получавшим его основную дозу через 20 мин после облучения, учитывая короткий клиренс MEЛ [15].
Для изолирования ткани селезенки мышей умерщвляли путем обезглавливания через 15 мин, 24 и 48 ч после облучения. В качестве контроля использовали группы как необлученных, так и облученных мышей, не получавших МЕЛ. Селезенку изолировали, замораживали при –80°C до проведения анализов.
Ткани селезенки гомогенизировали и выделяли общую геномную ДНК с использованием специальных наборов QIAGEN Genomic Tip Kit и Genomic DNA Buffer в соответствии с инструкциями производителя (“QIAGEN”, Германия). Количество ДНК во всех случаях определяли по ее реакции с реагентом PicoGreen, согласно протоколу производителя (“Molecular Probes”, США) с регистрацией флуоресценции на приборе Infinite 200 NanoQuant (“Tecan Group” Ltd., Австрия). Анализ повреждения и репарации ДНК был проведен с использованием метода количественной ПЦР на протяженных фрагментах (ПЦР-ПФ) [16] с учетом нашего предыдущего опыта [17]. Для амплификации протяженных ампликонов использовали (2U/мкл) KAPA Long Range Hot Start Kit (“KAPA Biosystems”, США). Для амплификации длинного фрагмента ДНК (8.7 т.п.о.) использовали следующие праймеры: forward 5'-TTG AGA CTG TGA TTG GCA ATG CCT-3'; reverse 5'-CCT TTA ATG CCC ATC CCG GAC T-3'. Программа включала начальную денатурацию при 94°С в течение 5 мин и 28 циклов при 94°С в течение 30 с и 68°С в течение 12 мин с конечной элонгацией при 72°С в течение 10 мин. Предварительные анализы были выполнены, чтобы гарантировать линейность амплификации ПЦР в отношении количества циклов и концентрации ДНК. Поскольку амплификация небольшой области была бы относительно независимой от повреждения ДНК (низкая вероятность), небольшие фрагменты ДНК (110 п.о.) также были амплифицированы для нормализации данных, полученных с большими фрагментами, как описано ранее [16, 17]. Для амплификации коротких фрагментов яДНК (110 п.о.) использовали следующие праймеры: forward 5'-CTG CCT GAC GGC CAG G-3'; reverse 5'-GGA AAA GAG CCT CAG GGC AT-3'. ПЦР-анализы проводили в трех экземплярах для каждого образца ДНК. Все амплифицированные продукты были разделены и визуализированы с использованием электрофореза в агарозном геле и количественно определены с помощью системы Image Quant (“Molecular Dynamics”, США).
Изменение содержания МДА в ткани селезенки определяли по реакции с тиобарбитуровой кислотой (ТБК), согласно методу Бюге и Ауста [18]. Для этого ткани селезенки гомогенизировали в лизисном буфере (50 ммоль/л Трис-Cl, 1% NP-40, 0.2% дезоксихолата натрия, 0.1% SDS, 150 ммоль/л NaCl и 1 ммоль/л ЭДТА). Далее один объем лизата тканей смешивали с двумя объемами реагента ТБК (15% TХУК, 0.375% TБК и 0.25 н HCl) с последующей инкубацией при 90°C в течение 30 мин. После охлаждения реакционную смесь центрифугировали при 10 000 об/мин в течение 15 мин. Поглощение супернатанта измеряли при 533 нм. Уровень перекисного окисления липидов рассчитывали по содержанию МДА в наномолях на миллиграмм белка.
Содержание ГЛТ оценивали по методу Эллмана [19]. Ткани гомогенизировали в лизисном буфере, как указано при определении МДА. К 0.2 мл гомогената ткани добавляли 1.8 мл 0.05 М ЭДТА и 3 мл осаждающего реагента (содержащего 1.67 г НРОЗ, 0.2 г двунатриевой соли ЭДТА и 30 г NaCl на 1 л воды). После тщательного перемешивания смесь выдерживали в течение 5–7 мин, затем центрифугировали. Этот шаг способствует отделению ГЛТ (в супернатанте) от остальной части белков и других клеточных элементов (в осадке). Затем к одному объему супернатанта добавляли два объема 0.3 моль/л раствора Na2HPO4 и 0.5 объема DTNB (5,5'-дитиобис-2-нитробензойной кислоты). Поглощение определяли при 412 нм против смеси растворов без добавок биоматериала. ГЛТ оценивали в нмоль/мг белка, с использованием стандартной кривой.
Частоту МЯ в клетках костного мозга мышей анализировали стандартным методом [20]. Мышей облучали в дозе 2 Гр [21]. МЕЛ вводили мышам, как указано выше, до их облучения и после облучения (с дополнительным введением в питьевую воду 0.3 мг/мл МЕЛ в течение 24 ч пострадиационного времени). Необлученных мышей с введением и без введения мелатонина использовали в качестве контрольной группы. В каждой группе было по пять животных. Мышей декапитировали через 24 ч после облучения (образцы из контрольной группы также отбирали через 24 ч после введения МЕЛ). Клетки ресуспендировали в сыворотке и готовили мазки, фиксировали метанолом и окрашивали методом May-Grunwald-Giemsa (Merck, Германия). Для каждой мыши было приготовлено четыре предметных стекла, всего 2000 полихроматофильных эритроцитов были подсчитаны для определения частоты образования микроядер в клетках костного мозга.
Выживаемость животных при облучении всего тела мышей была определена в соответствии с рекомендациями, как указано [22, 23]. Были использованы две дозы облучения: летальная доза – 9 Гр, вызывающая 100%-ную гибель в течение 30 дней, и сублетальная доза – 5 Гр, вызывающая гибель примерно 50% в течение 30 дней пострадиационного периода. Мыши были разделены на семь групп: три группы, облученные в дозе 5 Гр, три группы, облученные в дозе 9 Гр, и одна группа – не облученная. Раствор МЕЛ вводили мышам за 30 мин до облучения или через 20 мин после облучения, как указано выше. Группе животных, которым вводили МЕЛ после облучения, дополнительно добавляли в питьевую воду МЕЛ (0.3 мг/мл) в течение 5 сут пострадиационного времени, учитывая короткий клиренс данного препарата [15]. Выживаемость животных контролировали в течение 30 дней после облучения, количество выживших мышей проверяли в одно и то же время каждый день. Все группы мышей в анализах выживаемости включали по 30 животных.
В экспериментах на выживаемость кривые выживаемости разных групп сравнивали с помощью точного критерия Фишера. В остальных анализах результаты выражены как среднее значение ± SEM из 5–6 независимых экспериментов; p < 0.05 считалось статистически значимым. Статистический анализ был выполнен с использованием программного обеспечения GraphPad Prism 8.0 (San Diego, CA, США).
РЕЗУЛЬТАТЫ И ОБСУЖДЕНИЕ
Первое сообщение о том, что МЕЛ является активным эндогенным перехватчиком свободных радикалов [19], вызвало к нему повышенный интерес как к потенциальному природному радиопротектору. Дальнейшие многочисленные исследования показали, что МЕЛ является радиопротекторным агентом, который проявляет необычайное разнообразие функций [20–24].
На рис. 1 представлены результаты анализов повреждения и репарации ДНК селезенки мышей, облученных в дозе 5 Гр и обработанных МЕЛ. Наличие в цепи ДНК повреждений, таких как модифицированные основания, апуриновые/апиримидиновые сайты, однонитевые и двунитевые разрывы (ДР), или ДНК-белковые сшивки может блокировать активность ДНК-полимеразы KAPA Biosystems, которая была нами использована для ПЦР-ПФ ДНК. Таким образом, данный метод позволяет оценить общий уровень повреждения ДНК.
Рис. 1.
Анализ повреждений и репарации ядерной ДНК в ткани селезенки мышей через 15 мин, 24 и 48 ч после рентгеновского облучения в дозе 5 Гр. Амплифицировали длинные фрагменты яДНК (8.7 т.п.о.). Эти данные были нормализованы к коротким фрагментам яДНК (110 п.о.), полученным с использованием того же образца ДНК. I – 5 Гр, II – МЕЛ + 5 Гр (за 30 мин до облучения), III – 5 Гр + МЕЛ (20 мин после облучения). К – контроль (необлученные мыши). Данные представлены как среднее ± SEM из 5–6 независимых экспериментов.
* Статистически значимые различия p < 0.05.
Fig. 1. Analysis of nuclear DNA damage and repair in mouse spleen tissue 15 min, 24 and 48 hours after X-irradiation at a dose of 5 Gy. Long nDNA fragments (8.7 kb) were amplified. These data were normalized to short nDNA fragments (110 bp) obtained using the same DNA sample. I – 5 Gy, II – MEL + 5 Gy (30 min before irradiation), III – 5 Gy + MEL (20 min after irradiation). C – control (non-irradiated mice). Data are presented as mean ± SEM from 5–6 independent experiments.
* Statistically significant differences p < 0.05.

Можно видеть, что уровень синтезируемых продуктов ПЦР-ПФ ДНК, выделенных из ткани селезенки мышей через 48 ч после их облучения, существенно ниже, чем таковой у контрольных (необлученных) мышей. Этот результат указывает на наличие в образцах ДНК облученных мышей повреждений, способных блокировать ДНК-полимеразу быстрого запуска ПЦР KAPA Long Range. Дальнейшее сохранение низких уровней амплификации участка ДНК указывает на наличие в них нерепарированных повреждений. Однако к 24 и 48 ч пострадиационного времени наблюдается увеличение продуктов ПЦР-ПФ, что указывает на функционирование процессов репарации повреждений ДНК.
Согласно полученным данным, результаты показывают также, что количество амплифицируемых продуктов ПЦР-ПФ ДНК становится больше при введении МЕЛ до и после облучения мышей в течение 48 ч. Это, как можно было ожидать, указывает на тот факт, что МЕЛ способствует снижению повреждений ДНК. Это может происходить как на начальном этапе воздействия радиации, в результате перехвата активных форм кислорода и азота (АФК/А), так и в пострадиационый период. В любом случае мы видим, что происходит снижение повреждений ДНК.
Таким образом, при введении МЕЛ после облучения мышей репарация ДНК происходит более активно, чем в случае введения МЕЛ мышам до облучения. В статье А. Galano и соавт. [25] дается анализ многих исследований о роли МЕЛ в защите ДНК от окислительного повреждения – посредством удаления из клеток свободных радикалов и других форм АФК/А, а также активацией ферментов эксцизионной репарации ДНК. МЕЛ активирует экспрессию генов, кодирующих ферменты репарации ДНК и антиоксидантных ферментов, но подавляет активность прооксидантных ферментов.
Таким образом, становится понятно, что МЕЛ обеспечивает защиту ядерного генома разными путями [25]. Недавно сообщалось, что МЕЛ защищает ДНК от индукции ДР в ДНК лимфоцитов крови пациентов, перенесших компьютерную томографию (КТ). Более того, группе пациентов, которым вводили перорально однократную дозу 100 мг МЕЛ за 5–10 мин до и через 30 мин после КТ, такие повреждения ДНК не были зафиксированы [26]. Эти результаты подтверждаются в другом исследовании, в котором наблюдали ДР ДНК в лимфоцитах при воздействии ИИ в дозах 10 и 100 мГр. Введение 100 мг МЕЛ пациентам до облучения вызывало снижение уровня ДР ДНК [27]. В другом исследовании при инкубации лимфоцитов крови человека в среде с добавлением радиоактивного йода 131I за 2 ч в присутствии МЕЛ количество индуцированных ДР ДНК уменьшилось на 40% относительно контроля (лимфоциты, инкубированные с 131I без МЕЛ) [28]. Результаты анализов свидетельствуют о том, что полное восстановление повреждений ДНК, способных блокировать ДНК-полимеразу KAPA Biosystems в селезенке облученных мышей, протекает достаточно медленно в течение 48 ч (рис. 1). Возможно, наблюдаемое неполное восстановление ДНК в течение 24–48 ч в ткани селезенки облученных мышей без введения МЕЛ обусловлено возникновением дополнительных повреждений. Эти дополнительные повреждения могут возникнуть в результате действия АФК/А, которые генерируются в дисфункциональных митохондриях или активацией НАДН-оксидаз в тех же клетках [29, 30]. При этом антиоксидантная активность в тканях и крови облученных мышей может резко снижаться [31]. С введением МЕЛ, очевидно, происходит существенная “уборка” этих АФК/А и повышение антиоксидантной активности.
На рис. 2 представлены результаты анализов изменения содержания МДА и ГЛТ в селезенке мышей, облученных (5 Гр) и получавших МЕЛ, которые, как можно было ожидать, происходит разнонаправленно. Количественное содержание МДА в ткани характеризует уровни перекисного окисления липидов. Так, если содержание МДА в селезенке повышается после облучения, то содержание ГЛТ снижается. А при введении МЕЛ мышам до их облучения и после облучения препарат способствует снижению содержания МДА и восстановлению уровня ГЛТ. Повышение содержания МДА и снижение восстановленного ГЛТ в ткани селезенки мышей после их облучения можно рассматривать как результат развития окислительного стресса и снижения антиоксидантной активности. Таким образом, данные анализов показывают, что в облученных клетках и по этим маркерам также реализуется радиопротекторный и радиомитигаторный потенциал МЕЛ как результат повышения уровня антиоксидантной активности в клетках. Это согласуется с сообщениями о резком снижении антиоксидантной активности в крови мышей в течение 50 дней после их облучения [31, 32].
Рис. 2.
Изменение содержания МДА и ГЛТ в ткани селезенки мышей через 15 мин, 24 и 48 ч после рентгеновского облучения в дозе 5 Гр. I – мыши без введения МЕЛ; II – введение МЕЛ перед облучением; III – введение МЕЛ после облучения. Данные представлены как среднее ± SEM из 5–6 независимых экспериментов.
* Статистически значимые различия p < 0.0,** р< 0.01.
Fig. 2. Changes in the content of MDA and GSH in the spleen tissue of mice 15 min, 24 and 48 hours after X-irradiation at a dose of 5 Gy. I – mice without the introduction of MEL; II – the introduction of MEL before irradiation; III – the introduction of MEL after irradiation. Data are presented as mean ± SEM from 5–6 independent experiments.
* Statistically significant differences p < 0.05, ** р < 0.01.

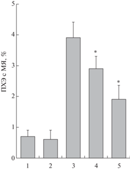
Радиационное повреждение селезенки, по-видимому, в определенной степени связано также с проявлением гематологической токсичности и оказывает влияние на состояние клеток костного мозга [33, 34]. Много лет используется микроядерный тест как один из популярных методов генотоксической оценки действия ИИ in vitro и in vivo. Формирование МЯ в облученных делящихся клетках принято рассматривать как результат разрыва хромосом [34]. Результаты анализов МЯ в клетках костного мозга мышей представлены на рис. 3. При введении МЕЛ мышам до их облучения частота микроядер снижалась на 30%, а при введении после облучения – на 70% относительно мышей, облученных без введения препарата. Результаты согласуются с данными, полученными на лимфоцитах крови человека in vitro, обработанных МЕЛ после облучения [20]. При введении МЕЛ мышам до их облучения частота микроядер значительно снижалась относительно мышей, облученных без введения препарата [20]. В работе А. Rostami и соавт. было показано, что МЕЛ отдельно и в сочетании с витамином С также резко снижает частоту микроядер в лимфоцитах человека, индуцируемых ИИ [35].
Рис. 3.
Частота образования микроядер в полихроматических эритроцитах костного мозга мышей после рентгеновского облучения в дозе 2 Гр. 1 – контроль (необлученная группа); 2 – после введения МЕЛ; 3 – облученные; 4 – МЕЛ (за 30 мин до облучения) + облучение; 5 – облучение + МЕЛ (20 мин после облучения). Анализы проводили через 24 ч после облучения. Данные представлены как среднее значение ± SEM из 5–6 независимых экспериментов. * Статистически значимые различия p < 0.05.
Fig. 3. The frequency of micronucleus formation in polychromatic erythrocytes of the bone marrow of mice after X-irradiation at a dose of 2 Gy. 1 – control (non-irradiated group); 2 – after the introduction of MEL; 3 – irradiated; 4 – MEL (30 min before irradiation) + irradiation; 5 – irradiation + MEL (20 min after irradiation); Analyzes were performed 24 hours after irradiation. Data are presented as mean ± SEM from 5–6 independent experiments.
* Statistically significant differences p < 0.05.

Результаты экспериментов сравнительной оценки радиопротекторного и радиомитигаторного действия МЕЛ на мышей представлены на рис. 4 в виде кривых выживаемости. Полученные результаты показывают, что в группе контрольных облученных в дозе 5 Гр (без введения МЕЛ) мышей приблизительно 25% животных оставались живыми в течение 30 сут. В группе контрольных облученных в дозе 9 Гр мышей (без введения МЕЛ) наблюдалась 100%-ная гибель животных на 11-е сутки. Однако при обеих дозах облучения мышей с введением МЕЛ наблюдался радиозащитный эффект. В случае при введении МЕЛ до облучения в дозах 5 и 9 Гр наблюдался меньший радиозащитный эффект, т.е. в живых оставались 45 и 20% животных соответственно. В случае при введении МЕЛ через 20 мин после облучения (с дополнительным введением МЕЛ в питьевую воду 0.3 мг/мл в течение 5 сут пострадиационного времени) получен другой результат. При этом с введением МЕЛ при облучении в дозах 5 и 9 Гр на 30-е сутки остались в живых 80 и 50% животных соответственно. Таким образом, МЕЛ способен снижать пострадиационную гибель животных при его введении не только до их облучения, но и в режиме после радиационного воздействия. Ранее во многих публикациях был продемонстрирован радиозащитный эффект МЕЛ при его введении животным до облучения [20–24]. Результаты нашего исследования показали, что последствия лучевой реакции можно снизить и путем введения МЕЛ после радиационного воздействия. Это положение согласуется также с данными исследования Р. Аmini и соавт., которые показали, что эффект радиомитигаторного действия МЕЛ удается достичь даже при его введении мышам через 24 ч после их облучения [36]. Авторы показали, что введением МЕЛ мышам через 24 ч после их облучения удается снизить повреждение гемопоэтической системы, а также достичь повышения выживаемости этих мышей.
Рис. 4.
Кривые выживаемости мышей (n = 30) при введении МЕЛ (125 мг/кг) за 30 мин до и через 20 мин после рентгеновского облучения (с дополнительным введением МЕЛ 0.3 мг/мл в питьевой воде в течение 5 дней) в дозах 5 Гр (а) и 9 Гр (б). Выживание животных наблюдали в течение 30 дней после облучения. * Статистически значимые различия p < 0.05.
Fig. 4. Survival curves of mice (n = 30) with the introduction of MEL (125 mg/kg) 30 minutes before and 20 minutes after X-irradiation (with additional administration of MEL 0.3 mg/ml in drinking water for 5 days) at doses of 5 Gy (a) and 9 Gy (b). Animal survival was observed for 30 days after irradiation.
* Statistically significant differences < 0.05.

Таким образом, результаты указывают, что МЕЛ имеет достаточный потенциал в качестве средства снижения радиационных эффектов при его использовании до и после радиационного воздействия.
Следует заметить, что, возможно, радиопротекторное и радиомитигаторное действие МЕЛ обусловлено не только его способностью ослабить окислительный стресс в облученных клетках селезенки и других тканей посредством уборки АФК/А, но и активацией в клетках иммунной системы, чрезвычайно чувствительной к воздействию ИИ [37, 38].
Таким образом, результаты многих исследований и представленные нами данные свидетельствуют, что МЕЛ имеет высокий потенциал в качестве лучшего радиозащитного средства для активного практического использования.
Список литературы
Mebius R.E., Kraal G. Structure and function of the spleen // Nat. Rev. Immunol. 2005. V. 5. P. 606–616.
Lewis S.M., Williams A., Eisenbarth S.C. Structure-function of the immune system in the spleen // Sci. Immunol. 2019. V. 4. № 33. aau6085.
Kashimura M. The human spleen as the center of the blood defense system // Int. J. Haematol. 2020. V. 112. P. 147–158.
Zaorsky N.G., Williams G.R., Barta S. et al. Splenic irradiation for splenomegaly: a systematic review and meta-analysis // Cancer Treat Rev. 2017. V. 53. P. 47–52.
Laiakis E.C., Shuryak I., Deziel A. et al. Effects of low dose space radiation exposures on the splenic metabolome // Int. J. Mol. Sci. 2021. V. 22. P. 3070–3086.
Gaziev A.I., Podlutsky A.J., Panfilov B. et al. Biologically active antioxidant supplements reduce the frequency of hprt mutations in the splenocytes of aging mice // Mutat. Res. 1995. V. 338. P. 77–86.
Ushakova T., Melkonyan H., Nikonova L. et al. Modification of gene expression by dietary antioxidants in radiation-induced apoptosis of mice splenocytes // Free Radical Biol. & Med. 1999. V. 26. № 7–8. P. 887–891.
Zhang X., Liu H., Xing X. et al. Ionizing radiation indu-ces ferroptosis in splenic lymphocytes of mice // Int. J. Radiat. Res. 2021. V. 19. P. 99–111.
Gurunathan S., Qasim M., Kang M.H. et al. Role and therapeutic potential of melatonin in various type of cancers // Onco Targets Ther. 2021. V. 18. P. 2019–2052.
Moloudizargari M., Moradkhani F., Hekmatirad S. et al. Therapeutic targets of cancer drugs: modulation by melatonin // Life Sci. 2021. V. 267. 118934.
Chin A.L., Aggarwal S., Pradhan P. et al. The role of bone marrow and spleen irradiation in the development of acute hematologic toxicity during chemoradiation for esophageal cancer // Adv. Radiat. Oncol. 2018. V. 3. P. 297–304.
Choudharya S., Kumara A., Sahac N. et al. PK-PD based optimal dose and time for orally administered suprapharmacological dose of melatonin to prevent radiation induced mortality in mice // Life Sci. 2019. V. 219. P. 31–39.
Furda A., Santos J.H., Meyer J. et al. Quantitative PCR-based measurement of nuclear and mitochondrial DNA damage and repair in mammalian cells // Meth. Mol. Biol. 2014. V. 1105. P. 419–437.
Abdullaev S., Gubina N., Bulanova T. et al. Assessment of nuclear and mitochondrial DNA, expression of mitochondria-related genes in different brain regions in rats after whole-body X-ray irradiation // Int. J. Mol. Sci. 2020. V. 21. 1196.
Buege J.A., Aust S.D. Microsomal lipid peroxidation // Meth. Enzymol. 1978. V. 52. P. 302–310.
Ellman G.L. Tissue sulfhydryl groups // Arch. Biochem. Biophys. 1959. V. 8. P. 70–77.
Schmid W. The micronucleus test // Mutat. Res. 1975. V. 31. P. 9–15.
Williams J.P., Brown S.L., Georges G.E. et al. Animal models for medical countermeasures to radiation exposure // Radiat. Res. 2010. V. 173. P. 557–578.
Tan D.-X., Chen L.D., Poeggeler B. et al. Melatonin: a potent, endogenous hydroxyl radical scavenger // Endocrine J. 1993. V. 1. P. 57–60.
Vijayalaxmi, Reiter R.J., Sewerynek E. et al. Marked reduction of radiation-induced micronuclei in human blood lymphocytes pretreated with melatonin // Radiat. Res. 1995. V. 143. P. 102–106.
Vijayalaxmi, Reiter R.J., Herman T.S. et al. Melatonin and radioprotection from genetic damage: in vivo/in vitro studies with human volunteers // Mutat. Res. Genet. Toxicol. 1996. V. 371. P. 221–228.
Vijayalaxmi, Meltz M.L., Reiter R.J. et al. Melatonin and protection from whole-body irradiation: survival studies in mice // Mutat. Res. Fundam. Mol. Mech. Mutagen. 1999. V. 425. P. 21–27.
Vijayalaxmi, Reiter R.J., Tan D.-X. et al. Melatonin as a radioprotective agent: a review // Int. J. Radiat. Oncol. Biol. Phys. 2004. V. 59. P. 639–653.
Pikalova L.V., Legeza V.I., Ivanov M.B. et al. Experimental study of cytoprotective effect of melatonin in radiation exposure // Bull. Exp. Biol. Med. 2011. V. 152. P. 76–78.
Galano A., Tan D.-X., Reiter R.J. Melatonin: a versatile protector against oxidative DNA damage // Molecules. 2018. V. 23. P. 530.
Eskandari A., Mahmoudzadeh A., Shirazi A. et al. Me-latonin a promising candidate for DNA double-stran-ded breaks reduction in patients undergoing abdomen-pelvis computed tomography examinations // Anticancer Agents Med. Chem. 2020. V. 2. P. 859–864.
Esmaely F., Mahmoudzadeh A., Cheki M. et al. The radioprotective effect of melatonin against radiation-induced DNA double-strand breaks in radiology // J. Cancer Res. Ther. 2020. V. 16. P. 59–63.
Jafarpour S.M., Shekarchi B., Bagheri H. et al. The radioprotective effects of melatonin and nanoselenium on DNA double-strand breaks in peripheral lymphocytes caused by I131// Indian J. Nucl. Med. 2021. V. 36. P. 134–139.
Sies H., Jones D.P. Reactive oxygen species (ROS) as pleiotropic physiological signaling agents // Nat. Rev. Mol. Cell Biol. 2020. V. 21. P. 363–383.
Buvelot H., Jaquet V., Krause K.-H. Mammalian NADPH Oxidases // Methods Mol. Biol. 2019. V. 1982. P. 17–36.
Sun L., Inaba Y., Sogo Y. et al. Total body irradiation causes a chronic decrease in antioxidant levels // Sci. Rep. 2021. V. 11. 6716.
Sun L., Inaba Y., Sato K. et al. Dose-dependent decrease in antioxidant capacity of whole blood after irradiation: a novel potential marker for biodosimetry // Sci. Rep. 2018. V. 8. P. 7425.
Chin A.L., Aggarwal S., Pradhan P. et al. The role of bone marrow and spleen irradiation in the development of acute hematologic toxicity during chemoradiation for esophageal cancer // Adv. Radiat. Oncol. 2018. V. 3. P. 297–304.
Sommer S., Buraczewska I., Kruszewski M. Micronucleus assay: The state of art, and future directions // Int. J. Mol. Sci. 2020. V. 21. P. 1534.
Rostami A., Moosavi S.A., Moghadam H.D. et al. Micronuclei assessment of the radioprotective effects of me-latonin and vitamin C in human lymphocytes // Cell J. 2016. V. 18. № 1. P. 46–51.
Amini P., Ashrafizadeh M., Motevaseli E. et al. Mitigation of radiation-induced hematopoietic system injury by melatonin // Environ. Toxicol. 2020. V. 35. № 8. P. 815–821.
Najafi M., Shirazi A., Motevaseli E. et al. The melatonin immunomodulatory actions in radiotherapy // Biophys. Rev. 2017. V. 9. P. 139–148.
Markus R.P., Sousa K.S., Machado S.C. et al. Possible role of pineal and extra-pineal melatonin in surveillance, immunity, and first-line defense // Int. J. Mol. Sci. 2021. V. 22. 12143.
Дополнительные материалы отсутствуют.
Инструменты
Радиационная биология. Радиоэкология


