Радиотехника и электроника, 2019, T. 64, № 6, стр. 593-603
Точные решения для плотных электронных пучков с трансляционной симметрией
В. А. Сыровой *
ВЭИ – филиал ФГУП РФЯЦ-ВНИИТФ
111250 Москва, ул. Красноказарменная, 12, Российская Федерация
* E-mail: red@cplire.ru
Поступила в редакцию 05.04.2018
После доработки 05.04.2018
Принята к публикации 19.09.2018
Аннотация
Среди трехмерных инвариантных решений уравнений нестационарного нерелятивистского пучка выявлены варианты, для которых одна из декартовых координат является циклической при пространственных в общем случае траекториях. Проанализированы уравнения плоских соленоидальных течений, решения которых напрямую не связаны с групповыми свойствами общих уравнений пучка.
ВВЕДЕНИЕ
Наиболее общий подход к построению максимальных по полноте наборов точных решений уравнений в частных производных связан с исследованием групповых свойств соответствующих систем и понятием инвариантного решения [1]. Результаты, относящиеся к уравнениям плотного электронного пучка, представлены в виде таблиц в работе [2], в которых приведен функциональный вид параметров потока, обеспечивающий трансформацию уравнений в частных производных в систему обыкновенных дифференциальных уравнений.
Исследованию и интерпретации решений уравнений стационарного пучка посвящено значительное количество работ (см. библиографию в [2]). Эти решения привели к пониманию физики явления, были использованы при создании электронно-оптической системы гиротрона [3, 4]; решения [5–8] положены в основу некоторых моделей сильноточных релятивистских диодов с магнитной самоизоляцией [9–11]. При рассмотрении задач, где необходима высокая точность вычислений, эти решения являются эталонами для тестирования приближенных и численных моделей.
Решениям уравнений нестационарного пучка в случае нерелятивистских скоростей посвящено гораздо меньше работ [12–17], причем их анализ и возможная интерпретация проведены только в незначительной степени. Двумерные релятивистские решения, носящие апериодический характер, исследованы в работе [18]. Между тем рабочим режимам приборов СВЧ свойственны осцилляционные состояния потока.
В последнее время внимание исследователей привлечено к приборам с планарной геометрией и ленточным электронным пучком (см., например, библиографию в [19]). В работе [20] среди трехмерных точных решений [17] выявлены случаи осесимметричного вырождения и проанализированы соответствующие решения.
Цель данной работы – дать анализ двумерных решений, для которых одна из декартовых координат является циклической, а также исследовать уравнения плоских соленоидальных потоков, что привело к построению новых нестационарных решений в элементарных функциях.
Нестационарный нерелятивистский пучок во внешнем квазистационарном магнитном поле описывается следующей системой уравнений с частных производных:
(1)
$\begin{gathered} \frac{{\partial{ \vec {v}}}}{{\partial t}} + \left( {\vec {v}\nabla } \right)\vec {v} = \nabla \varphi + \vec {v} \times \vec {H},\,\,\,\,\nabla \vec {H} = 0, \\ {\text{rot}}\vec {H} = 0,\,\,\,\,\frac{{\partial \rho }}{{\partial t}} + \nabla \left( {\rho \vec {v}} \right) = 0,\,\,\,\,\Delta \varphi = \rho . \\ \end{gathered} $Здесь $\vec {v}{\text{,}}$ $\vec {H}$ – векторы скорости и напряженности магнитного поля, $\varphi $ – потенциал электрического поля, $\rho $ – плотность пространственного заряда.
Уравнения (1) и все последующие соотношения записаны в нормировках, исключающих физические константы используемой системы единиц [19].
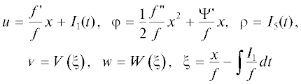
1. РЕШЕНИЯ С ОДНОРОДНЫМ РАСПРЕДЕЛЕНИЕМ ПЛОТНОСТИ ПРОСТРАНСТВЕННОГО ЗАРЯДА
Для проекций компонент скорости на оси декартовой системы x, y, z и цилиндрической системы R, $\psi $, z примем обозначения u, $v{\text{,}}$ w и ${{v}_{R}},$ ${{v}_{\psi }},$ w соответственно.
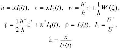
Электронный поток с параметрами
(2)
$\begin{gathered} u = x{{I}_{1}}(t),\,\,\,\,v = x{{I}_{2}}(t),\,\,\,\,\varphi = {{x}^{2}}{{I}_{4}}(t),\,\,\,\,\rho = {{I}_{5}}(t), \\ w = \exp \left( {\nu y} \right)W\left( {t,\xi } \right),\,\,\,\,{{I}_{1}} = \frac{{U\,{\text{'}}}}{U},\,\,\,\xi = \frac{x}{{U(t)}}, \\ W\left( {t,\xi } \right) = W\left( \xi \right)\exp \left( { - \nu \xi \int {U{{I}_{2}}dt} } \right) \\ \end{gathered} $описывается следующей системой уравнений:
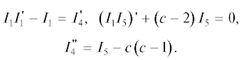
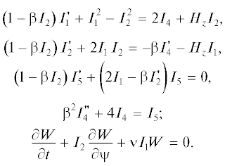
(3)
$\begin{gathered} I_{5}^{'} + I_{1}^{2} = 2{{I}_{4}} + {{I}_{2}}{{H}_{z}},\,\,\,\,I_{2}^{'} + {{I}_{1}}{{I}_{2}} = - {{I}_{1}}{{H}_{z}}, \\ I_{5}^{'} + {{I}_{1}}{{I}_{5}} = 0,\,\,\,\,2{{I}_{4}} = {{I}_{5}}. \\ \end{gathered} $Ее решение определено формулами
(4)
$\begin{gathered} {{I}_{1}} = \frac{\omega }{U}\left( { - A{\text{sin}}\omega t + B\cos \omega t} \right),\,\,\,\,{{I}_{2}} = \frac{{{{V}_{0}}}}{U} - {{H}_{z}}, \\ {{I}_{5}} = \frac{{{{\rho }_{0}}}}{U},\,\,\,\,{{I}_{4}} = \frac{{{{\rho }_{0}}}}{{2U}},\,\,\,U = A\cos \omega t + B{\text{sin}}\omega t + C, \\ C = \frac{{{{\rho }_{0}} + \omega {{V}_{0}}}}{{{{\omega }^{2}}}},\,\,\,\,\omega = {{H}_{z}},\,\,\,\,w = \exp \left( {\nu y} \right)W\left( {\frac{x}{U}} \right) \times \\ \times \,\,\exp \left\{ { - \frac{{\nu x}}{U}\left[ {\left( {{{V}_{0}} - C} \right)t - A{\text{sin}}\omega t + B\cos \omega t} \right]} \right\}. \\ \end{gathered} $По умолчанию не поясняемые символы (А, В, С, $\nu $ в (4)), а также символы с индексом нуль являются константами.
Постоянные можно подобрать так, чтобы функция U не обращалась в нуль, а при ${{V}_{0}} = C,$ ${{V}_{0}} = {{{{\rho }_{0}}} \mathord{\left/ {\vphantom {{{{\rho }_{0}}} {\left[ {\omega \left( {\omega - 1} \right)} \right]}}} \right. \kern-0em} {\left[ {\omega \left( {\omega - 1} \right)} \right]}}$ при любом значении параметра $\nu $ скорость по оси z меняется в конечных пределах; $W\left( \xi \right)$ в (4) – произвольная функция указанного аргумента.
Решение (4) определяет осцилляционный режим пучка с экспоненциальной по y зависимостью у z-компоненты скорости. При $\nu = 0$ оно описывает одномерный нестационарный поток.
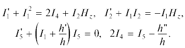
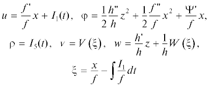
Решение со следующей структурой параметров потока:
удовлетворяет системе уравнений с произвольной функцией времени $h\left( t \right)$
Система (6) может быть трансформирована к виду
Получение решения, носящего осцилляционный характер, связано с интегрированием уравнения
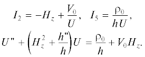
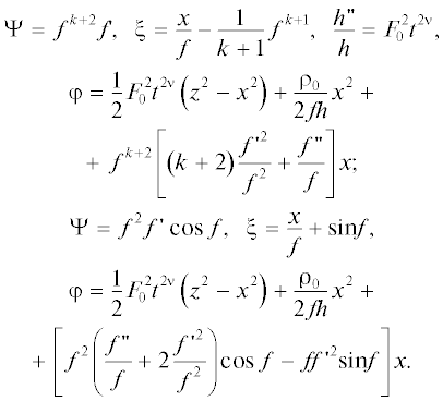
и однотипного неоднородного уравнения для U из (7). Требуемые свойства имеют функции Бесселя, причем при апериодических функциях чисто мнимого аргумента в z-компоненте скорости в выражение для U будут входить вследствие перемены знака функции действительного аргумента. Дополнительная возможность получения интересных временны́х зависимостей у продольной скорости предоставляет произвольная функция $W\left( \xi \right).$ Приведем несколько примеров подобного рода. При ${{H}_{z}} = 0$ имеем
(9)
$\begin{gathered} F(t) = F_{0}^{2}{{t}^{{2\nu }}},\,\,\,\,h = \sqrt t {{I}_{\mu }}(\tau ),\,\,\,\,\tau = 2\mu {{F}_{0}}{{t}^{{\nu + 1}}}, \\ \mu = \frac{1}{{2\left( {\nu + 1} \right)}},\,\,\,\,\frac{{h{\text{'}}}}{h} = \frac{1}{{2t}} + {{F}_{0}}{{t}^{\nu }}\left[ {{{I}_{{\mu - 1}}}(\tau ) - \frac{\mu }{t}{{I}_{\mu }}(\tau )} \right]; \\ F(t) = \frac{1}{{{{t}^{4}}}}\exp \left( {\frac{2}{t}} \right),\,\,\,\,h = t{{I}_{0}}(\tau ),\,\,\,\,\tau = \exp \left( {\frac{1}{t}} \right), \\ \frac{{h{\text{'}}}}{h} = \frac{1}{t} - \frac{1}{{{{t}^{2}}}}\exp \left( {\frac{1}{t}} \right){{I}_{1}}(\tau );\,\,\,\, \\ F(t) = {{b}^{2}}{{c}^{2}}\exp \left( {2ct} \right), \\ h = {{I}_{0}}(\tau ),\,\,\,\,\tau = b\exp \left( {ct} \right),\,\,\,\frac{{h{\text{'}}}}{h} = bc\exp \left( {ct} \right){{I}_{1}}(\tau ). \\ \end{gathered} $Рассмотрим более подробно первый случай из (9). Общее решение для функции U при ${{V}_{0}} = 0$ имеет вид
(10)
$\begin{gathered} U = \sqrt t \left[ {A{{J}_{\mu }}(\tau ) + B{{Y}_{\mu }}(\tau )} \right] + {{\rho }_{0}}\sqrt t \int\limits_{}^t {\frac{1}{{\sqrt \eta {{I}_{\mu }}\left( {\tau (\eta )} \right)}}} \times \\ \times \,\,\left[ {{{Y}_{\mu }}\left( {\tau (t)} \right){{J}_{\mu }}\left( {\tau (\eta )} \right) - {{J}_{\mu }}\left( {\tau (t)} \right){{Y}_{\mu }}\left( {\tau (\eta )} \right)} \right]d\eta , \\ \end{gathered} $где ${{Y}_{\mu }}(\tau )$ – бесселева функция второго рода.
Функции Бесселя с полуцелыми индексами выражаются через элементарные функции [21]:
(11)
$\begin{gathered} \nu = - \frac{{2n}}{{1 + 2n}};\,\,\,\,n = 1,\,\,\,\nu = - \frac{2}{3},\,\,\,\mu = \frac{3}{2}; \\ h = \sqrt t {{I}_{{{3 \mathord{\left/ {\vphantom {3 2}} \right. \kern-0em} 2}}}}(\tau ),\,\,\,\,\tau = 3{{F}_{0}}\sqrt[3]{t}; \\ {{I}_{{{1 \mathord{\left/ {\vphantom {1 2}} \right. \kern-0em} 2}}}} = \sqrt {\frac{2}{{\pi \tau }}} {\text{sh}}\tau ,\,\,\,{{I}_{{{3 \mathord{\left/ {\vphantom {3 2}} \right. \kern-0em} 2}}}} = \sqrt {\frac{2}{{\pi \tau }}} \left( {{\text{ch}}\tau - \frac{{{\text{sh}}\tau }}{\tau }} \right); \\ \frac{{h{\text{'}}}}{h} = \frac{1}{{2t}}\left( {1 - 3{{F}_{0}}{{t}^{{ - {2 \mathord{\left/ {\vphantom {2 3}} \right. \kern-0em} 3}}}}} \right) + {{F}_{0}}{{t}^{{ - {2 \mathord{\left/ {\vphantom {2 3}} \right. \kern-0em} 3}}}}\frac{{\tau {\text{sh}}\tau }}{{\tau {\text{ch}}\tau - {\text{sh}}\tau }}. \\ \end{gathered} $При А = 1, В = 0 получаем
(12)
$\begin{gathered} {{J}_{{{3 \mathord{\left/ {\vphantom {3 2}} \right. \kern-0em} 2}}}} = \sqrt {\frac{2}{{\pi \tau }}} \left( {\frac{{{\text{sin}}\tau }}{\tau } - \cos \tau } \right),\,\,\,\,{{Y}_{{{3 \mathord{\left/ {\vphantom {3 2}} \right. \kern-0em} 2}}}} = - {{J}_{{{{ - 3} \mathord{\left/ {\vphantom {{ - 3} 2}} \right. \kern-0em} 2}}}} = \\ = - \sqrt {\frac{2}{{\pi \tau }}} \left( {{\text{sin}}\tau + \frac{{\cos \tau }}{\tau }} \right);\,\,\,\,U = \sqrt {\frac{2}{{3\pi {{F}_{0}}}}} \left( {\frac{{{\text{sin}}\tau }}{\tau } - \cos \tau } \right) + \\ + \,\,\sqrt {\frac{2}{\pi }} \,{{{\rho }}_{0}}\tau \left[ { - \left( {{\text{sin}}\tau + \frac{{\cos \tau }}{\tau }} \right)} \right.\int\limits_{}^\tau {\frac{{{\text{sin}}\eta - \eta \cos \eta }}{{\eta {\text{ch}}\eta - {\text{sh}}\eta }}} \,{{\eta }^{{{{ - 3} \mathord{\left/ {\vphantom {{ - 3} 2}} \right. \kern-0em} 2}}}}d\eta + \\ \left. { + \,\,\left( {\frac{{{\text{sin}}\tau }}{\tau } - \cos \tau } \right)\int\limits_{}^\tau {\frac{{\eta {\text{sin}}\eta + \cos \eta }}{{\eta {\text{ch}}\eta - {\text{sh}}\eta }}{{\eta }^{{{{ - 3} \mathord{\left/ {\vphantom {{ - 3} 2}} \right. \kern-0em} 2}}}}d\eta } } \right]. \\ \end{gathered} $При ${{H}_{z}} \ne 0$ решение, выражаемое через функции Бесселя, существует при следующей специализации функции $F(t)$ в (8):
Решение однородного уравнения для функции U из (7) описывается формулой
(14)
$\begin{gathered} U = \sqrt {\bar {t}} \left[ {A{{J}_{{{1 \mathord{\left/ {\vphantom {1 3}} \right. \kern-0em} 3}}}}(\tau ) + B{{Y}_{{{1 \mathord{\left/ {\vphantom {1 3}} \right. \kern-0em} 3}}}}(\tau )} \right], \\ \bar {t} = \frac{1}{{F_{0}^{2}}}{{\left( {F_{0}^{2}t + H_{z}^{2}} \right)}^{{{{ - 2} \mathord{\left/ {\vphantom {{ - 2} 3}} \right. \kern-0em} 3}}}},\,\,\,\,\tau = \frac{2}{3}{{{\bar {t}}}^{{{3 \mathord{\left/ {\vphantom {3 2}} \right. \kern-0em} 2}}}}. \\ \end{gathered} $При $h = \exp \left( {at} \right)$ решение вида (5) может быть выражено в элементарных функциях:
(15)
$\begin{gathered} u = x{{I}_{1}}(t),\,\,\,\,v = x{{I}_{2}}(t),\,\,\,\,w = az + \exp \left( { - at} \right)W\left( \xi \right), \\ \varphi = \frac{1}{2}{{a}^{2}}{{z}^{2}} + {{x}^{2}}{{I}_{4}}(t),\,\,\,\,\rho = {{I}_{5}}(t),\,\,\,\,\xi = \frac{x}{{U(t)}}; \\ U = A\cos \omega t + B{\text{sin}}\omega t + \frac{{{{\rho }_{0}}}}{{{{a}^{2}} + {{\omega }^{2}}}}\exp \left( { - at} \right) + \frac{{{{V}_{0}}{{H}_{z}}}}{{{{\omega }^{2}}}}, \\ {{I}_{2}} = - {{H}_{z}} + \frac{{{{V}_{0}}}}{U},\,\,\,\,{{I}_{5}} = \frac{{{{\rho }_{0}}}}{U}\exp \left( { - at} \right),\,\,\,\,{{\omega }^{2}} = {{a}^{2}} + H_{z}^{2}. \\ \end{gathered} $При $a < 0$ и $t \to \infty $ плотность ${\rho }$ стремится к постоянному значению, соответствующему следующему стационарному состоянию пучка при $W = {{W}_{0}}\xi \,:$
(16)
$\begin{gathered} u = - ax,\,\,\,\,v = - {{H}_{z}}x,\,\,\,\,w = az + {{W}_{0}}x, \\ \varphi = \frac{1}{2}{{a}^{2}}{{z}^{2}} + \frac{1}{2}{{\omega }^{2}}{{x}^{2}},\,\,\,\rho = 2{{a}^{2}} + H_{z}^{2}. \\ \end{gathered} $Течение (15) является немоноэнергетическим с полной энергией
(17)
$\mathcal{H} = \frac{1}{2}{{\vec {v}}^{2}} - \varphi = \frac{1}{2}{{W}_{0}}z\left( {2ax + {{W}_{0}}z} \right).$Траектории частиц проецируются прямыми на плоскость $\left( {x,y} \right)$ и гиперболами на плоскость $\left( {x,z} \right)\,:$
(18)
$\begin{gathered} y - {{y}_{0}} = \left( {{{{{H}_{z}}} \mathord{\left/ {\vphantom {{{{H}_{z}}} a}} \right. \kern-0em} a}} \right)x,\,\,\,\,\left( {\sqrt {16 + W_{0}^{2}} + {{W}_{0}}} \right){{{\bar {x}}}^{2}} - \\ - \,\,\left( {\sqrt {16 + W_{0}^{2}} - {{W}_{0}}} \right){{{\bar {z}}}^{2}} = {\text{const}}, \\ {\text{tg}}2\alpha = {4 \mathord{\left/ {\vphantom {4 {{{W}_{0}}}}} \right. \kern-0em} {{{W}_{0}}}}, \\ \end{gathered} $где оси $\bar {x},$ $\bar {z}$ повернуты на угол $\alpha $ относительно x, z. Эквипотенциальными поверхностями являются эллиптические цилиндры с осью y и отношением полуосей сечения по x, z, равным ${a \mathord{\left/ {\vphantom {a \omega }} \right. \kern-0em} \omega }.$
При ${{H}_{z}} = 0$ решение вида
с произвольными функциями $f(t),$ $\Psi \left( t \right)$ и $V\left( \xi \right)$, $W\left( \xi \right)$ описывается уравнениями
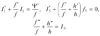
Для функций из (20) получаем
За счет произвольной функции $\Psi (t)$ при убывающей плотности можно построить осцилляционное решение, например,
(22)
$\Psi = {{f}^{2}}{\text{sin}}\,\omega t,\quad \xi = \frac{x}{f} + \frac{1}{\omega }\cos \,\omega t.$Решение со следующими искомыми функциями:
удовлетворяет уравнениям
Система (24) может быть трансформирована к соотношениям
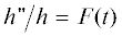
Для функции f в (25) имеет место то же уравнение, что и для U в (7), если ${{V}_{0}} = {{H}_{z}} = 0.$ При специализациях произвольной функции $\Psi $ зависимость от времени параметра $\xi $ может быть очень разнообразной, например
Решение, параметры которого имеют вид
(27)
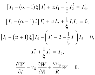
$\begin{gathered} {{v}_{R}} = R{{I}_{1}}(t),\,\,\,\,{{v}_{\psi }} = R{{I}_{2}}(t), \\ w = {{R}^{\nu }}W\left( \xi \right)\exp \left( { - \nu \int {{{I}_{1}}dt} } \right), \\ \varphi = {{R}^{2}}{{I}_{4}}(t),\,\,\,\,\rho = {{I}_{5}}(t),\,\,\,\,\xi = \psi - \int {{{I}_{2}}} dt \\ \end{gathered} $описывается уравнениями
(28)
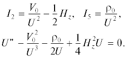
$\begin{gathered} I_{1}^{'} + I_{1}^{2} - I_{2}^{2} = 2{{I}_{4}} + {{I}_{2}}{{H}_{z}},\,\,\,\,I_{2}^{'} + 2{{I}_{1}}{{I}_{2}} = - {{I}_{1}}{{H}_{z}}, \\ I_{5}^{'} + 2{{I}_{1}}{{I}_{5}} = 0,\,\,\,\,4{{I}_{4}} = {{I}_{5}}. \\ \end{gathered} $Полагая ${{I}_{1}} = {{U\,{\text{'}}} \mathord{\left/ {\vphantom {{U\,{\text{'}}} U}} \right. \kern-0em} U},$ трансформируем систему (28) следующим образом:
Первый интеграл уравнения для U определен формулой
(30)
$U\,{{{\text{'}}}^{2}} = - \frac{{V_{0}^{2}}}{{{{U}^{2}}}} + \frac{{{{\rho }_{0}}}}{2}\ln U - \frac{1}{4}H_{z}^{2}{{U}^{2}} + C \equiv C - G\left( U \right).$Соотношение (30) с точностью до смысла констант совпадает с уравнением, описывающим эволюцию параксиального релятивистского пучка в дрейфовом пространстве во внешнем магнитном поле ${{\Omega }_{z}} = {{H}_{z}},$ который стартовал с катода с начальным радиусом ${{\delta }_{0}}$ при магнитном поле ${{\Omega }_{{z0}}}.$ Соответствие прочих констант устанавливают выражения
(31)
$\frac{{V_{0}^{2}}}{2} = \frac{1}{4}\frac{{\Omega _{{z0}}^{2}}}{{\delta _{0}^{4}}},\,\,\,\,\frac{{{{\rho }_{0}}}}{2} = \frac{J}{{\tilde {V}}},$где J – плотность тока пучка, $\tilde {V}$ – импульс.
Уравнение типа (30) описывает движение в потенциальной яме “частицы” с координатой U и “интегралом энергии” $U{{{\text{'}}}^{2}} + G\left( U \right) = C.$ Амплитуда колебаний А и их период Т определены формулами
2. РЕШЕНИЯ С НЕОДНОРОДНЫМ РАСПРЕДЕЛЕНИЕМ ПРОСТРАНСТВЕННОГО ЗАРЯДА
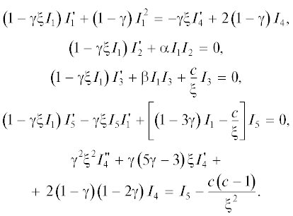
Нестационарное решение при ${{H}_{z}} = 0$ с параметрами вида
(33)
$\begin{gathered} u = {{x}^{{1 - \gamma }}}{{I}_{1}}\left( \xi \right),\,\,\,\,v = {{x}^{\alpha }}{{I}_{2}}\left( \xi \right),\,\,\,\,w = \frac{c}{t}z + {{x}^{\beta }}{{I}_{3}}\left( \xi \right), \\ \varphi = \frac{{c\left( {c - 1} \right)}}{{{{t}^{2}}}}{{z}^{2}} + {{x}^{{2\left( {1 - \gamma } \right)}}}{{I}_{4}}\left( \xi \right), \\ \rho = {{x}^{{ - 2\gamma }}}{{I}_{5}}\left( \xi \right),\,\,\,\,\xi = t{{x}^{{ - \gamma }}} \\ \end{gathered} $удовлетворяет следующей системе уравнений:
Решение может быть получено только численными методами.
При произвольных функциях $V\left( \xi \right)$, $W\left( \xi \right)$ рассмотрим поток с параметрами
(35)
$\begin{gathered} u = \frac{1}{t}{{I}_{1}}(x),\,\,\,\,\text{v} = V\left( \xi \right),\,\,\,\,w = \frac{c}{t}z + {{t}^{{ - c}}}W\left( \xi \right), \\ \varphi = \frac{1}{2}\frac{{c\left( {c - 1} \right)}}{{{{t}^{2}}}}{{z}^{2}} + \frac{1}{{{{t}^{2}}}}{{I}_{4}}(x),\,\,\,\rho = \frac{1}{{{{t}^{2}}}}{{I}_{5}}(x), \\ \xi = t\exp \left( { - \int {\frac{{dx}}{{{{I}_{1}}}}} } \right), \\ \end{gathered} $причем функции в (35) подчиняются уравнениям
Полагая ${{I}_{1}} = {{dx} \mathord{\left/ {\vphantom {{dx} {d\tau }}} \right. \kern-0em} {d\tau }} \equiv \dot {x},$ ${{I}_{1}}I_{1}^{'} = {{\dot {I}}_{1}},$ проинтегрируем уравнение для ${{I}_{5}}$:
и представим уравнение для ${{I}_{4}}$ в виде
(38)
$\begin{gathered} {{\left( {I_{4}^{'}} \right)}^{\centerdot }} = {{J}_{0}}\exp \left[ {\left( {2 - c} \right)\tau } \right] - c\left( {c - 1} \right)\dot {x}, \\ I_{4}^{'} = \frac{{{{J}_{0}}}}{{2 - c}}\exp \left[ {\left( {2 - c} \right)\tau } \right] - c\left( {c - 1} \right)x + {{E}_{0}}. \\ \end{gathered} $Первое соотношение в (36) теперь можно преобразовать, сведя его к линейному уравнению относительно переменной x:
(39)
$\begin{gathered} \ddot {x} - \dot {x} + \beta x = \frac{{{{J}_{0}}}}{\alpha }\exp \left( {\alpha \tau } \right) + {{E}_{0}}, \\ \alpha = 2 - c,\,\,\,\,\beta = c\left( {c - 1} \right). \\ \end{gathered} $При $\beta > {1 \mathord{\left/ {\vphantom {1 4}} \right. \kern-0em} 4}$ характеристическое уравнение имеет комплексные корни
(40)
$\begin{gathered} \lambda = \frac{1}{2} \pm \sqrt {\frac{1}{4} - \beta } ,\,\,\, - \infty < c < \frac{1}{2} - \frac{1}{{\sqrt 2 }}, \\ \frac{1}{2} + \frac{1}{{\sqrt 2 }} < c < \infty ;\,\,\,\,\omega = \sqrt {c\left( {c - 1} \right) - {1 \mathord{\left/ {\vphantom {1 4}} \right. \kern-0em} 4}} . \\ \end{gathered} $В результате зависимость $x\left( \tau \right)$ содержит периодические функции
(41)
$\begin{gathered} x = \exp \left( {\frac{\tau }{2}} \right)\left( {A\cos \omega \tau + B{\text{sin}}\omega \tau } \right) + \frac{{{{J}_{0}}}}{\gamma }\exp \left( {\alpha \tau } \right) + \frac{{{{E}_{0}}}}{\beta }, \\ \gamma = {{\alpha }^{2}}\left( {\alpha - \beta } \right) = {{\left( {2 - c} \right)}^{2}}\left( {2 - {{c}^{2}}} \right); \\ {{I}_{1}} = \dot {x} = \exp \left( {\frac{\tau }{2}} \right) \times \\ \times \,\,\left[ {\left( {\frac{1}{2}A + B\omega } \right)\cos \omega \tau + \left( {\frac{1}{2}B - A\omega } \right){\text{sin}}\omega \tau } \right] + \\ + \,\,\frac{{\alpha {{J}_{0}}}}{\gamma }\exp \left( {\alpha \tau } \right). \\ \end{gathered} $Функция ${{I}_{4}}$ вычисляется из уравнений (38):
(42)
$\begin{gathered} {{{\dot {I}}}_{4}} = {{I}_{1}}I_{4}^{'} = \frac{{{{J}_{0}}}}{\alpha }\exp \left( { - \alpha \tau } \right)\dot {x} - \beta x\dot {x} + {{E}_{0}}\dot {x}, \\ {{I}_{4}} = - \frac{1}{2}\beta {{x}^{2}} + {{E}_{0}}x + \frac{{{{J}_{0}}}}{\alpha }\int {\exp \left( { - \alpha \tau } \right){\kern 1pt} } \dot {x}d\tau . \\ \end{gathered} $Случай, когда $c = 2,$ рассмотрим отдельно:
(43)
$\begin{gathered} {{I}_{1}}{{I}_{5}} = {{J}_{0}},\,\,\,\,{{\left( {I_{4}^{'}} \right)}^{\centerdot }} = {{J}_{0}} - 2\dot {x},\,\,\,\,I_{4}^{'} = - 2x + {{J}_{0}}\tau + {{E}_{0}}, \\ {{{\dot {I}}}_{4}} = {{I}_{1}}I_{4}^{'} = - 2x\dot {x} + {{J}_{0}}\tau \,\dot {x} + {{E}_{0}}\dot {x}, \\ {{I}_{4}} = - {{x}^{2}} + {{E}_{0}}x + {{J}_{0}}\int {\tau \,\dot {x}d\tau } . \\ \end{gathered} $Интегралы в (42), (43) легко выражаются через элементарные функции.
Стационарное решение с параметрами потока вида
(44)
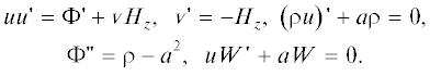
$\begin{gathered} u = u(x),\,\,\,\,v = v(x),\,\,\,w = az + W(x), \\ \varphi = \frac{1}{2}{{a}^{2}}{{z}^{2}} + \Phi (x),\,\,\,\rho = \rho (x) \\ \end{gathered} $описывается следующей системой уравнений:
Полагая $u = {{dx} \mathord{\left/ {\vphantom {{dx} {dt}}} \right. \kern-0em} {dt}} \equiv \dot {x},$ получим преобразованную систему (45)
(46)
$\begin{gathered} \dot {u} = \Phi {\text{'}} + v{{H}_{z}},\,\,\,\,v = - {{H}_{z}}x + {{V}_{0}},\,\,\,\,{{\left( {{\rho }u} \right)}^{\centerdot }} + a{\rho }u = 0, \\ {{\left( {\Phi {\text{'}}} \right)}^{\centerdot }} = {\rho }u - {{a}^{2}}\dot {x};\,\,\,\,\rho u = {{J}_{0}}\exp \left( { - at} \right), \\ \Phi {\text{'}} = - \frac{{{{J}_{0}}}}{a}\exp \left( { - at} \right) - {{a}^{2}}x + {{E}_{0}}. \\ \end{gathered} $Соотношения (46) сводятся к одному уравнению относительно координаты x
(47)
$\begin{gathered} \ddot {x} + {{\omega }^{2}}x = - \frac{{{{J}_{0}}}}{a}\exp \left( { - at} \right) + {{E}_{0}} + {{V}_{0}}{{H}_{z}},\,\,{{\omega }^{2}} = H_{z}^{2} + {{a}^{2}},\,\, \\ \,x = A\cos \omega t + B{\text{sin}}\omega t - \,\,{{{\bar {J}}}_{0}}\exp \left( { - at} \right) + {{{\bar {E}}}_{0}}; \\ {{{\bar {J}}}_{0}} = \frac{{{{J}_{0}}}}{{a\left( {{{a}^{2}} + {{\omega }^{2}}} \right)}},\,\,\,\,{{{\bar {E}}}_{0}} = \frac{{{{E}_{0}} + {{V}_{0}}{{H}_{z}}}}{{{{\omega }^{2}}}}. \\ \end{gathered} $Дополним параметрическое представление траекторий соотношениями для $y(t),$ $z(t)\,:$
(48)
$\begin{gathered} y - {{y}_{0}} = - \frac{{{{H}_{z}}}}{\omega }\left( {A{\text{sin}}\omega t - B\cos \omega t} \right) - \\ - \,\,\frac{{{{H}_{z}}{{{\bar {J}}}_{0}}}}{a}\exp \left( { - at} \right) - {{H}_{z}}{{{\bar {E}}}_{0}}t, \\ z = C\exp \left( {at} \right) - \frac{{{{W}_{0}}}}{{2a}}\exp \left( { - at} \right). \\ \end{gathered} $Потенциал определен выражениями с легко вычисляемым интегралом
(49)
$\begin{gathered} \dot {\Phi } = - \frac{{{{J}_{0}}}}{a}\dot {x}\exp \left( { - at} \right) - {{a}^{2}}x\dot {x} + {{E}_{0}}\dot {x}, \\ \Phi = - \frac{1}{2}{{a}^{2}}{{x}^{2}} + {{E}_{0}}x - \frac{{{{J}_{0}}}}{a}\int {\dot {x}\exp \left( { - at} \right)} {\kern 1pt} dt. \\ \end{gathered} $Пусть на стартовой поверхности $x = 0$ выполнены условия
(50)
$\begin{gathered} x = 0,\,\,\,\,u = 0,\,\,\,\,v = 0, \\ \Phi {\text{'}} = 0\,\,\,\,\left( {{{V}_{0}} = 0,\;{{E}_{0}} = {{{{J}_{0}}} \mathord{\left/ {\vphantom {{{{J}_{0}}} a}} \right. \kern-0em} a}} \right). \\ \end{gathered} $Тогда выражения для x, y принимают вид
(51)
$\begin{gathered} x = {{{\bar {J}}}_{0}}\left[ {\cos \omega t - \exp \left( { - at} \right) - \frac{a}{\omega }{\text{sin}}\omega t} \right] + \\ + \,\,\frac{{{{J}_{0}}}}{{a{{\omega }^{2}}}}\left( {1 - \cos \omega t} \right),\,\,\,\,y - {{y}_{0}} = - \frac{{{{H}_{z}}{{{\bar {J}}}_{0}}}}{a} \times \\ \times \,\,\left[ {\frac{{{{a}^{2}}}}{{{{\omega }^{2}}}}\left( {\cos \omega t - \frac{a}{\omega }{\text{sin}}\omega t} \right) + \exp \left( { - at} \right)} \right] - \frac{{{{H}_{z}}{{J}_{0}}}}{{a{{\omega }^{2}}}}t. \\ \end{gathered} $Асимптотика формул (51) соответствует режиму ограничения эмиссии пространственным зарядом при старте в z-направлении по касательной с неэвипотенциальной плоскости $x = 0,$ на которой $\varphi \sim {{z}^{2}}{\kern 1pt} :$
(52)
$x \sim {{t}^{3}},\,\,\,\,\Phi \sim {{t}^{4}},\,\,\,\,y - {{y}_{0}} \sim {{t}^{4}},\,\,\,\,z - {{z}_{0}} \sim t.$При $a > 0$ скорость по оси x может обращаться в нуль, что приводит к появлению виртуального эмиттера и соответствующему ограничению области существования решения. Для $a = w = 1$ условие $u = 0$ выполняется при $t = 225.8^\circ .$ Из формул (47) следует, что при $a > 0,$ $t \to \infty $ координата х меняется в конечных пределах, это свидетельствует об образовании виртуального эмиттера и без выполнения условий (50). При отрицательных значениях а образования плоскостей отражения можно избежать.
Одномерное нестационарное электростатическое течение с параметрами
(53)
$\begin{gathered} u = {{t}^{\beta }}{{I}_{1}}\left( \xi \right),\,\,\,\,v = {{t}^{\alpha }}{{I}_{2}}\left( \xi \right),\,\,\,\,w = {{t}^{\gamma }}{{I}_{3}}\left( \xi \right), \\ \varphi = {{t}^{{2\alpha }}}{{I}_{4}}\left( \xi \right),\,\,\,\,\rho = \frac{1}{{{{t}^{2}}}}{{I}_{5}}\left( \xi \right),\,\,\,\,\xi = y{{t}^{{ - \alpha - 1}}} \\ \end{gathered} $удовлетворяет следующей системе уравнений:
Построим частное решение системы (54) при ${{I}_{1}} \equiv 0.$ Введем вместо $\xi $ новую переменную $\tau = \tau \left( \xi \right)$ при помощи соотношения
(55)
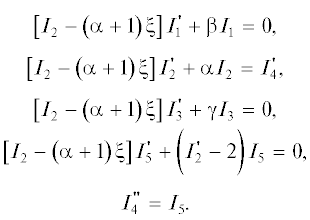
${{I}_{2}} - \left( {\alpha + 1} \right)\xi = \frac{{d\xi }}{{d\tau }} \equiv \dot {\xi },\,\,\,\,{{\dot {I}}_{2}} = \ddot {\xi } + \left( {\alpha + 1} \right)\dot {\xi }.$Система (54) при этом примет вид
(56)
$\begin{gathered} {{{\dot {I}}}_{2}} + \alpha {{I}_{2}} = I_{4}^{'},\,\,\,\,{{{\dot {I}}}_{3}} + \gamma {{I}_{3}} = 0, \\ {{{\dot {I}}}_{5}} + \left( {\frac{{\ddot {\xi }}}{{\dot {\xi }}} - 2} \right){{I}_{5}} = 0,\,\,\,\,\left( {\mathop {I_{4}^{'}}\limits^\centerdot } \right)\, = \dot {\xi }{{I}_{5}}. \\ \end{gathered} $Интегрируя уравнения для ${{I}_{3}},$ ${{I}_{5}}$ и пользуясь затем двумя оставшимися соотношениями (56), получим
(57)
$\begin{gathered} {{I}_{3}} = {{W}_{0}}\exp \left( { - \gamma \tau } \right),\,\,\,\,{{I}_{5}} = \frac{{{{\rho }_{0}}}}{{\dot {\xi }}}\exp \left( {2\tau } \right), \\ I_{4}^{'} = \frac{{{{\rho }_{0}}}}{2}\exp \left( {2\tau } \right) + {{E}_{0}}; \\ \ddot {\xi } + \left( {2\alpha + 1} \right)\dot {\xi } + \alpha \left( {\alpha + 1} \right)\xi = \frac{{{{\rho }_{0}}}}{2}\exp \left( {2\tau } \right) + {{E}_{0}}. \\ \end{gathered} $Решение для функции $\xi \left( \tau \right)$ определено формулой
(58)
$\begin{gathered} \xi = A{{\tau }^{{ - \alpha }}} + B{{\tau }^{{ - \alpha - 1}}} + {{{\bar {\rho }}}_{0}}\exp \left( {2\tau } \right) + {{{\bar {E}}}_{0}}, \\ {{{\bar {\rho }}}_{0}} = {{{{\rho }_{0}}} \mathord{\left/ {\vphantom {{{{\rho }_{0}}} {\left[ {2\left( {{{\alpha }^{2}} + 5\alpha + 6} \right)} \right]}}} \right. \kern-0em} {\left[ {2\left( {{{\alpha }^{2}} + 5\alpha + 6} \right)} \right]}}, \\ {{{\bar {E}}}_{0}} = {{{{E}_{0}}} \mathord{\left/ {\vphantom {{{{E}_{0}}} {\left[ {\alpha \left( {\alpha + 1} \right)} \right]}}} \right. \kern-0em} {\left[ {\alpha \left( {\alpha + 1} \right)} \right]}}. \\ \end{gathered} $Для ${{I}_{2}},$ ${{I}_{4}}$ имеем
(59)
$\begin{gathered} {{I}_{2}} = \dot {\xi } + \left( {\alpha + 1} \right)\xi = \left\{ { - \left( {\alpha + 1} \right)B} \right. + \\ \left. { + \,\,\left[ {B + \alpha \left( {B - A} \right)} \right]\tau + \left( {\alpha + 1} \right)A{{\tau }^{2}}} \right\}{{\tau }^{{ - \alpha - 2}}} + \\ + \,\,\left( {\alpha + 3} \right){{{\bar {\rho }}}_{0}}\exp \left( {2\tau } \right) + \frac{{{{E}_{0}}}}{\alpha }, \\ {{{\dot {I}}}_{4}} = \left[ {\frac{{{{\rho }_{0}}}}{2}\exp \left( {2\tau } \right) + {{E}_{0}}} \right]\dot {\xi }, \\ {{I}_{4}} = \frac{{{{\rho }_{0}}}}{2}\left\{ {\left[ {\left( {A + \frac{{2B}}{\alpha }} \right){{\tau }^{{ - \alpha }}} + B{{\tau }^{{ - \alpha - 1}}}} \right]} \right.\exp \left( {2\tau } \right) - \\ \left. { - \,\,2\left( {A + \frac{{2B}}{\alpha }} \right)\int {\exp \left( {2\tau } \right){{\tau }^{{ - \alpha }}}d\tau + \frac{{{{{\bar {\rho }}}_{0}}}}{2}\exp \left( {4\tau } \right)} } \right\} + \\ + \,\,{{E}_{0}}\left[ {{{{\bar {\rho }}}_{0}}\exp \left( {2\tau } \right) + A{{\tau }^{{ - \alpha }}} + B{{\tau }^{{ - \alpha - 1}}}} \right]. \\ \end{gathered} $При натуральных отрицательных $\alpha = - k$ интеграл в (59) выражается через элементарные функции, например, при $\alpha = - 2\,:$
(60)
$\int {\exp \left( {2\tau } \right)} {{\tau }^{2}}d\tau = \frac{1}{4}\left( {2{{\tau }^{2}} - 2\tau + 1} \right)\exp \left( {2\tau } \right).$Для потока с параметрами вида
(61)
$\begin{gathered} u = \exp \left( {\alpha t} \right){{I}_{1}}\left( \xi \right),\,\,\,\,v = \exp \left( {\alpha t} \right){{I}_{2}}\left( \xi \right), \\ w = az + \exp \left( {\gamma t} \right){{I}_{3}}\left( \xi \right), \\ \varphi = \frac{1}{2}{{a}^{2}}{{z}^{2}} + \exp \left( {2\alpha t} \right){{I}_{4}}\left( \xi \right), \\ \rho = {{I}_{5}}\left( \xi \right),\,\,\,\xi = x\exp \left( { - \alpha t} \right) \\ \end{gathered} $справедлива следующая система уравнений:
Подобно предыдущему случаю введем новую переменную $\tau = \tau \left( \xi \right)$
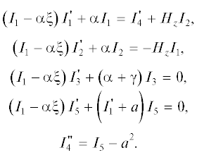
и представим систему (62) в новой форме
(64)
$\begin{gathered} {{{\dot {I}}}_{1}} + \alpha {{I}_{1}} = I_{4}^{'} + {{H}_{z}}{{I}_{2}},\,\,\,\,{{{\dot {I}}}_{2}} + \alpha {{I}_{2}} = - {{H}_{z}}{{I}_{1}}, \\ {{{\dot {I}}}_{3}} + \left( {a + \gamma } \right){{I}_{3}} = 0,\,\,\,\,{{{\dot {I}}}_{5}} + \left( {\frac{{\ddot {\xi }}}{{\dot {\xi }}} + \alpha + a} \right){{I}_{5}} = 0, \\ {{\left( {I_{4}^{'}} \right)}^{\centerdot }} = \left( {{{I}_{5}} - {{a}^{2}}} \right)\dot {\xi }. \\ \end{gathered} $Уравнения для ${{I}_{3}},$ ${{I}_{5}},$ а затем для $I_{4}^{'}$ можно проинтегрировать
(65)
$\begin{gathered} {{I}_{3}} = {{W}_{0}}\exp \left[ { - \left( {\alpha + \gamma } \right)\tau } \right], \\ {{I}_{5}} = \frac{{{{\rho }_{0}}}}{{\dot {\xi }}}\exp \left[ { - \left( {\alpha + a} \right)\tau } \right], \\ I_{4}^{'} = - \frac{{{{\rho }_{0}}}}{{\alpha + a}}\exp \left[ { - \left( {\alpha + a} \right)\tau } \right] - {{a}^{2}}\xi + {{E}_{0}}. \\ \end{gathered} $Первые два уравнения в (64) в общем случае приводятся к интегро-дифференциальному уравнению для $\xi $. Рассмотрим частный случай
(66)
$\begin{gathered} {{I}_{2}} = - {{H}_{z}}\xi ,\,\,\,\,\ddot {\xi } + 2\alpha \dot {\xi } + \left( {{{\alpha }^{2}} + {{a}^{2}} + H_{z}^{2}} \right)\xi = \\ = \,\, - \frac{{{{\rho }_{0}}}}{{\alpha + a}}\exp \left[ { - \left( {\alpha + a} \right)\tau } \right] + {{E}_{0}},\, \\ \xi = {{{\bar {\rho }}}_{0}}\exp \left[ { - \left( {\alpha + a} \right)\tau } \right] + \exp \left( { - \alpha \tau } \right) \times \\ \times \,\,\left[ {A\cos \omega \tau + B\sin \omega \tau } \right], \\ {{{\bar {\rho }}}_{0}} = {{ - {{\rho }_{0}}} \mathord{\left/ {\vphantom {{ - {{\rho }_{0}}} {\left[ {\left( {{{a}^{2}} + {{\omega }^{2}}} \right)\left( {\alpha + a} \right)} \right]}}} \right. \kern-0em} {\left[ {\left( {{{a}^{2}} + {{\omega }^{2}}} \right)\left( {\alpha + a} \right)} \right]}},\,\,\,{{{\bar {E}}}_{0}} = {{{{E}_{0}}} \mathord{\left/ {\vphantom {{{{E}_{0}}} {\left( {{{\alpha }^{2}} + {{\omega }^{2}}} \right)}}} \right. \kern-0em} {\left( {{{\alpha }^{2}} + {{\omega }^{2}}} \right)}}; \\ {{\omega }^{2}} = {{a}^{2}} + H_{z}^{2},\,\,\,\alpha + a \ne 0. \\ \end{gathered} $Теперь легко можно построить выражения для ${{I}_{1}},$ ${{I}_{4}}\,:$
(67)
$\begin{gathered} {{I}_{1}} = \dot {\xi } + \alpha \xi = \frac{{{{\rho }_{0}}}}{{H_{z}^{2}}}\left( {1 + \frac{\alpha }{{\alpha + a}}} \right)\exp \left[ { - \left( {\alpha + a} \right)\tau } \right] + \\ + \,\,\alpha {{{\bar {E}}}_{0}} + \omega \exp \left( { - \alpha \tau } \right)\left( {A\cos \omega \tau - B\sin \omega \tau } \right); \\ {{{\dot {I}}}_{4}} = \dot {\xi }I_{4}^{'} = - \frac{{{{\rho }_{0}}}}{{\alpha + a}}\exp \left[ { - \left( {\alpha + a} \right)\tau } \right]\dot {\xi } - {{a}^{2}}\xi \dot {\xi } + {{E}_{0}}\dot {\xi }, \\ {{I}_{4}} = - \frac{1}{2}{{a}^{2}}{{\xi }^{2}} + {{E}_{0}}\xi - \frac{{{{\rho }_{0}}}}{{\alpha + a}}\int {\exp \left[ { - \left( {\alpha + a} \right)\tau } \right]} {\kern 1pt} \dot {\xi }d\tau . \\ \end{gathered} $Интеграл в (67) легко вычисляется; формула для ${{I}_{4}}$ в результате содержит линейные комбинации следующих комплексов:
(68)
$\begin{gathered} \exp \left[ { - 2\left( {\alpha + a} \right)\tau } \right], \\ \exp \left[ { - \left( {2\alpha + a} \right)\tau } \right]\left( {{{A}_{1}}\cos \omega \tau + {{B}_{1}}{\text{sin}}\omega \tau } \right), \\ \exp \left[ { - \left( {\alpha + a} \right)\tau } \right],\,\,\,\,\exp \left( { - \alpha \tau } \right)\left( {{{A}_{2}}\cos \omega \tau + {{B}_{2}}{\text{sin}}\omega \tau } \right), \\ \exp \left( { - 2\alpha \tau } \right)\left[ {\frac{1}{2}\left( {C_{1}^{2} + C_{2}^{2}} \right)} \right. + \\ \left. { + \,\,\frac{1}{2}\left( {C_{1}^{2} - C_{2}^{2}} \right)\cos 2\omega \tau + {{C}_{1}}{{C}_{2}}{\text{sin}}2\omega \tau } \right]. \\ \end{gathered} $При ${{H}_{z}} = 0$ в приведенном решении изменяются только выражения для ${{I}_{2}}$ и ${{\omega }^{2}}\,:$
(69)
${{I}_{2}} = {{V}_{0}}\exp \left( { - \alpha \tau } \right),\,\,\,\,{{\omega }^{2}} = {{a}^{2}}.$Специального рассмотрения требует случай $\alpha + a = 0.$ При этом
(70)
$\begin{gathered} {{I}_{5}} = \frac{{{{\rho }_{0}}}}{{\dot {\xi }}},\,\,\,\,{{\left( {I_{4}^{'}} \right)}^{\centerdot }} = {{\rho }_{0}} - {{a}^{2}}\dot {\xi },\,\,\,\,I_{4}^{'} = {{\rho }_{0}}\tau - {{a}^{2}}\xi + {{E}_{0}}, \\ \ddot {\xi } - 2a\dot {\xi } + \left( {{{a}^{2}} + {{\omega }^{2}}} \right)\xi = {{\rho }_{0}}\tau + {{E}_{0}},\,\,\,\,{{\omega }^{2}} = {{a}^{2}} + H_{z}^{2}, \\ \xi = \frac{1}{{2{{a}^{2}}}}\left( {{{\rho }_{0}}\tau + {{E}_{0}} - \frac{{{{\rho }_{0}}}}{a}} \right) + \\ + \,\,\exp \left( {a\tau } \right)\left( {A\cos \omega \tau + B\sin \omega \tau } \right). \\ \end{gathered} $В электростатическом варианте ${{H}_{z}} = 0$ выполнены соотношения (69).
Для течения, параметры которого описываются формулами
(71)
$\begin{gathered} {{v}_{R}} = R{{I}_{1}}\left( \xi \right),\,\,\,\,{{v}_{\psi }} = R{{I}_{2}}\left( \xi \right),\,\,\,\,w = {{R}^{\nu }}W\left( {t,\psi } \right), \\ \varphi = {{R}^{2}}{{I}_{4}}\left( \xi \right),\,\,\,\,\rho = {{I}_{5}}\left( \xi \right),\,\,\,\,\xi = t - \beta \psi , \\ \end{gathered} $справедлива следующая система уравнений:
Система (72) имеет частное решение
(73)
$\begin{gathered} {{v}_{R}} = 0,\,\,\,\,{{v}_{\psi }} = - {{V}_{0}}R,\,\,\,\,w = {{R}^{\nu }}W\left( \eta \right), \\ \varphi = \frac{1}{2}{{V}_{0}}\left( {{{H}_{z}} - {{V}_{0}}} \right){{R}^{2}},\,\,\,\,\rho = 2{{V}_{0}}\left( {{{H}_{z}} - {{V}_{0}}} \right) > 0, \\ \eta = \psi + {{V}_{0}}t. \\ \end{gathered} $В плоскости $z = {\text{const}}$ реализуется один из возможных немоноэнергетических бриллюэновских потоков с полной энергией
в то время как $W\left( \eta \right)$ – произвольная функция.
Решение в цилиндрических координатах R, $\psi $, z с экспоненциальной зависимостью от азимута $\psi $ у z-компоненты скорости имеет вид
(75)
$\begin{gathered} {{v}_{R}} = {{t}^{\alpha }}{{I}_{1}}\left( \xi \right),\,\,\,\,{{v}_{\psi }} = {{t}^{\alpha }}{{I}_{2}}\left( \xi \right), \\ w = \exp \left( {\nu \psi } \right)W\left( {t,R} \right), \\ \varphi = {{t}^{{2\alpha }}}{{I}_{4}}\left( \xi \right),\,\,\,\,\rho = \frac{1}{{{{t}^{2}}}}{{I}_{5}}\left( \xi \right),\,\,\,\xi = R{{t}^{{ - \alpha - 1}}}. \\ \end{gathered} $Функции в (75) удовлетворяют уравнениям
Система (76) имеет частное решение
(77)
$\begin{gathered} {{I}_{1}} = 0,\,\,\,\,{{I}_{2}} = {{V}_{0}}{{\xi }^{\mu }},\,\,\,{{I}_{4}} = - \frac{{V_{0}^{2}}}{{2\mu }}{{\xi }^{{2\mu }}}, \\ {{I}_{5}} = - 2\mu V_{0}^{2}{{\xi }^{{ - 2\mu }}},\,\,\,\,\mu = {\alpha \mathord{\left/ {\vphantom {\alpha {\left( {\alpha + 1} \right)}}} \right. \kern-0em} {\left( {\alpha + 1} \right)}},\,\,\,\, - 1 < \alpha < 0, \\ \end{gathered} $для которого параметры потока описываются выражениями
(78)
$\begin{gathered} {{v}_{R}} = 0,\,\,\,\,{{v}_{\psi }} = {{V}_{0}}{{R}^{\mu }}, \\ w = \exp \left[ {\nu \left( {\psi - {{V}_{0}}{{R}^{{\mu - 1}}}t} \right)} \right]W\left( R \right), \\ \varphi = - \frac{{V_{0}^{2}}}{{2\mu }}{{R}^{{2\mu }}},\,\,\,\,\rho = - 2\mu V_{0}^{2}{{R}^{{ - 2\mu }}}, \\ \end{gathered} $где $W\left( R \right)$ – произвольная функция. Решение (78) однозначно в ограниченной по азимуту области $\psi < 2\pi ,$ что не препятствует ему быть использованным в качестве эталона. Как и в предыдущем случае, в плоскости $z = {\text{const}}$ движение частиц соответствует стационарному немоноэнергетическому бриллюэновскому режиму с полной энергией
3. ПЛОСКИЕ ПОТОКИ
Уравнения пучка, описывающие двумерные вихревые нестационарные течения в однородном магнитном поле ${{H}_{z}},$ принимают вид
(80)
$\begin{gathered} \frac{{\partial u}}{{\partial t}} + u\frac{{\partial u}}{{\partial x}} + v\frac{{\partial u}}{{\partial y}} = \frac{{\partial \varphi }}{{\partial x}} + \text{v}{{H}_{z}}, \\ \frac{{\partial v}}{{\partial t}} + u\frac{{\partial v}}{{\partial x}} + v\frac{{\partial v}}{{\partial y}} = \frac{{\partial \varphi }}{{\partial y}} - u{{H}_{z}}, \\ \frac{{\partial \rho }}{{\partial t}} + \frac{{\partial \rho u}}{{\partial x}} + \frac{{\partial \rho v}}{{\partial y}} = 0,\,\,\,\,\frac{{{{\partial }^{2}}\varphi }}{{\partial {{x}^{2}}}} + \frac{{{{\partial }^{2}}\varphi }}{{\partial {{y}^{2}}}} = \rho . \\ \end{gathered} $Система (80) инвариантна относительно нескольких элементарных преобразований: сдвига по времени и декартовым координатам, поворота на одинаковый угол в плоскостях $\left( {x,y} \right)$ и $\left( {u,v} \right),$ добавления к потенциалу $\varphi $ произвольной функции времени. При ${\partial \mathord{\left/ {\vphantom {\partial {\partial t}}} \right. \kern-0em} {\partial t}} = {{H}_{z}} = 0$ имеют место два независимых преобразования растяжения (изменения масштабов): в ${{c}_{1}}$ раз растягиваются x, y и в $c_{1}^{{ - 2}}$ раз – ρ; в ${{c}_{2}}$ раз растягиваются u, $v$ и в $c_{2}^{2}$ раз – $\varphi $, ρ.
Кроме этих преобразований система (80) не меняет своего вида при преобразованиях с произвольными функциями времени $f\left( t \right)$, $g\left( t \right)$ (черта обозначает новые переменные):
Требование соленоидальности течения
переопределяет систему, которая, тем не менее, может иметь решения.
Для соленоидальных потоков уравнения (80) допускают еще одно нетривиальное преобразование (преобразование эквивалентности), отличающееся от инвариантного преобразования (81) тем, что оно изменяет значение постоянного магнитного поля ${{H}_{z}}\,:$
(83)
$\begin{gathered} \bar {x} = x\cos \gamma t + y\sin \gamma t,\,\,\,\bar {y} = - x\sin \gamma t + y\cos \gamma t, \\ \bar {t} = t,\,\,\,\,\bar {u} = u\cos \gamma t + v\sin \gamma t + \gamma \bar {y}, \\ \bar {v} = - u\sin \gamma t + v\cos \gamma t - \gamma \bar {x}, \\ \bar {\varphi } = \varphi + \frac{1}{2}\gamma \left( {\gamma + {{H}_{z}}} \right)\left( {{{x}^{2}} + {{y}^{2}}} \right), \\ \bar {\rho } = \rho + 2\gamma \left( {\gamma + {{H}_{z}}} \right),\,\,\,\,{{{\bar {H}}}_{z}} = {{H}_{z}} + 2\gamma , \\ \bar {\mathcal{H}} = \mathcal{H} + \gamma \left( {uy - vx} \right) - \frac{1}{2}\gamma {{H}_{z}}\left( {{{x}^{2}} + {{y}^{2}}} \right); \\ \frac{\partial }{{\partial x}} = \cos \gamma t\frac{\partial }{{\partial{ \bar {x}}}} - \sin \gamma t\frac{\partial }{{\partial{ \bar {y}}}}, \\ \frac{\partial }{{\partial y}} = \sin \gamma t\frac{\partial }{{\partial{ \bar {x}}}} + \cos \gamma t\frac{\partial }{{\partial{ \bar {y}}}}. \\ \end{gathered} $Обратное преобразование определено формулами
(84)
$\begin{gathered} x = \bar {x}\cos \gamma t - \bar {y}\sin \gamma t,\,\,\,\,y = \bar {x}\sin \gamma t + \bar {y}\cos \gamma t, \\ u = \left( {\bar {u} - \gamma \bar {y}} \right)\cos \gamma t - \left( {\bar {v} + \gamma \bar {x}} \right){\kern 1pt} \sin \gamma t, \\ v = \left( {\bar {u} - \gamma \bar {y}} \right)\sin \gamma t + \left( {\bar {v} + \gamma \bar {x}} \right)\cos \gamma t; \\ \frac{\partial }{{\partial {\kern 1pt} \bar {x}}} = \cos \gamma t\frac{\partial }{{\partial x}} + \sin \gamma t\frac{\partial }{{\partial y}}, \\ \frac{\partial }{{\partial {\kern 1pt} \bar {y}}} = - \sin \gamma t\frac{\partial }{{\partial x}} + \cos \gamma t\frac{\partial }{{\partial y}}. \\ \end{gathered} $Используя выражения (83), (84), убедимся, что преобразование эквивалентности сохраняет соленоидальность и потенциальность течения:
(85)
$\begin{gathered} \frac{{\partial u}}{{\partial x}} + \frac{{\partial v}}{{\partial y}} = \frac{{\partial{ \bar {u}}}}{{\partial {\kern 1pt} \bar {x}}} + \frac{{\partial{ \bar {v}}}}{{\partial{ \bar {y}}}} = 0, \\ \frac{{\partial v}}{{\partial x}} - \frac{{\partial u}}{{\partial y}} = \frac{{\partial{ \bar {v}}}}{{\partial{ \bar {x}}}} - \frac{{\partial{ \bar {u}}}}{{\partial{ \bar {y}}}} = - {{H}_{z}}. \\ \end{gathered} $Отметим еще одно любопытное свойство системы (80). Любое плоское соленоидальное течение, стационарное или нестационарное, может быть развернуто в z-направлении за счет z-компоненты скорости w при введении однородного магнитного поля ${{H}_{x}},$ ${{H}_{y}}\,:$
(86)
$\begin{gathered} \bar {u} = u,\,\,\,\,\bar {v} = v,\,\,\,\,\bar {w} = ax - by, \\ \bar {\varphi } = \varphi + \frac{1}{2}{{\left( {ax - by} \right)}^{2}}, \\ \bar {\rho } = \rho + {{a}^{2}} + {{b}^{2}},\,\,\,\,{{{\bar {H}}}_{x}} = 2b,\,\,\,\,{{{\bar {H}}}_{y}} = 2a. \\ \end{gathered} $Это утверждение инициировано результатами работы [23], хотя приведенная формулировка в ней отсутствует.
Система (80) допускает решение, описывающее вихревой соленоидальный поток, определяемый следующими формулами:
(87)
$\begin{gathered} u = ax + by,\,\,\,\,v = cx - ay, \\ \rho = 2\left( {{{a}^{2}} + bc} \right) + \left( {b - c} \right){{H}_{z}}, \\ \varphi = \frac{1}{2}\left( {{{a}^{2}} + bc - c{{H}_{z}}} \right){{x}^{2}} + \\ + \,\,\frac{1}{2}\left( {{{a}^{2}} + bc + b{{H}_{z}}} \right){{y}^{2}} + a{{H}_{z}}xy. \\ \end{gathered} $Течение (86) является немоноэнергетическим с полной энергией
(88)
$\begin{gathered} \mathcal{H} = \frac{1}{2}{{{\vec {v}}}^{2}} - \varphi = \left( {b - c - {{H}_{z}}} \right) \times \\ \times \,\,\left( { - \frac{1}{2}c{{x}^{2}} + \frac{1}{2}b{{y}^{2}} + axy} \right). \\ \end{gathered} $Частицы движутся по гиперболам
Рассмотренный в работе [24] пучок с гиперболическими траекториями является частным случаем решения (87) при $b = c = 0.$
В работе [15] отмечено, что воздействуя на любое известное стационарное решение, необязательно инвариантное, нетривиальными преобразованиями, сохраняющими уравнения нестационарного пучка, можно получать решения, зависящие от времени. Так, преобразование (81) трансформирует решение для плоского диода в ${\rho }$-режиме следующим образом:
Решения такого рода не являются новыми с точки зрения групповой классификации, однако этот подход дает возможность получать решения уравнений нестационарного пучка в элементарных функциях. Преобразование эквивалентности обладает тем же свойством с той разницей, что, воздействуя на электростатические решения, приводит к решениям с магнитным полем, а моноэнергетическое решение переводит в решение с $\mathcal{H} \ne {\text{const}}{\text{.}}$ Последнее свойство имеет и преобразование (81), как это видно из (90).
Рассмотрим некоторые нестационарные образы стационарных решений для соленоидальных потоков при воздействии на них преобразования эквивалентности (83).
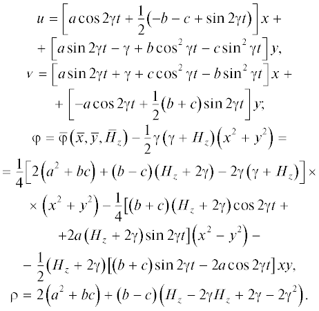
Плоский немоноэнергетический вихревой поток с гиперболическими траекториями возьмем в качестве исходного. В соответствии со сказанным выше в системе $\bar {x},$ $\bar {y}$ должно существовать решение (87):
(91)
$\begin{gathered} \bar {u} = a\bar {x} + b\bar {y},\,\,\,\,\bar {v} = c\bar {x} - a\bar {y}, \\ \bar {\rho } = 2\left( {{{a}^{2}} + bc} \right) + \left( {b - c} \right){{{\bar {H}}}_{z}}, \\ \bar {\varphi } = \frac{1}{2}\left( {{{a}^{2}} + bc - c{{{\bar {H}}}_{z}}} \right){{{\bar {x}}}^{2}} + \\ + \,\,\frac{1}{2}\left( {{{a}^{2}} + bc + b{{{\bar {H}}}_{z}}} \right){{{\bar {y}}}^{2}} + a{{{\bar {H}}}_{z}}\bar {x}\bar {y}. \\ \end{gathered} $Подставляя формулы из (91) в выражения для u, $v,$ $\varphi $, ρ из (83), получим
В отличие от инвариантных преобразований, сохраняющих уравнения пучка, применение преобразования эквивалентности приводит к эффекту анизотропии: принятие за исходную систему системы ($x,y$) или ($\bar {x},\bar {y}$) дает различные результаты. Продемонстрируем сказанное на частном случае рассмотренного выше решения (87) при $b = c = 0.$ Из формул (92), полученных при переходе от системы ($\bar {x},\bar {y}$) к системе ($x,y$), имеем
(93)
$\begin{gathered} u = \left( {a\cos 2\gamma t} \right)x + \left( {a\sin 2\gamma t} \right)y, \\ \text{v} = \left( {a\sin 2\gamma t} \right)x - \left( {a\cos 2\gamma t} \right)y, \\ \varphi = \frac{1}{2}{{a}^{2}}\left( {{{x}^{2}} + {{y}^{2}}} \right) - \frac{1}{2}a\left( {{{H}_{z}} + 2\gamma } \right) \times \\ \times \,\,\left( {\sin 2\gamma t} \right)\left( {{{x}^{2}} - {{y}^{2}}} \right) + a\left( {{{H}_{z}} + 2\gamma } \right)\left( {\cos 2\gamma t} \right)xy, \\ \rho = 2{{a}^{2}}. \\ \end{gathered} $Исходя из решения в системе ($x,y$) и пользуясь преобразованием эквивалентности (83), (84), получим
(94)
$\begin{gathered} u = ax,\,\,\,\,v = - ay,\,\,\,\,\varphi = \frac{1}{2}{{a}^{2}}\left( {{{x}^{2}} + {{y}^{2}}} \right) + a{{H}_{z}}xy, \\ \rho = 2{{a}^{2}};\,\,\,\,\bar {u} = \left( {a\cos 2\gamma t} \right)\bar {x} + \left( {a\sin 2\gamma t} \right)\bar {y}, \\ \bar {v} = - \left( {\gamma - a\sin 2\gamma t} \right)\bar {x} - \left( {a\cos 2\gamma t} \right)\bar {y}, \\ \bar {\varphi } = \frac{1}{2}\left( {{{a}^{2}} + {{\gamma }^{2}} + \gamma {{H}_{z}}} \right)\left( {{{{\bar {x}}}^{2}} + {{{\bar {y}}}^{2}}} \right) + \\ + \,\,a{{H}_{z}}\left[ {\frac{1}{2}\sin 2\gamma t\left( {{{{\bar {x}}}^{2}} - {{{\bar {y}}}^{2}}} \right) + \left( {\cos 2\gamma t} \right)\bar {x}{\kern 1pt} \bar {y}} \right], \\ \bar {\rho } = 2\left( {{{a}^{2}} + {{\gamma }^{2}} + \gamma {{H}_{z}}} \right),\,\,\,{{{\bar {H}}}_{z}} = {{H}_{z}} + 2\gamma . \\ \end{gathered} $После завершения выкладок черту в формулах для $\bar {u},$ $\bar {v},$ $\bar {\varphi },$ ${\bar {\rho }}$ можно опустить.
При ${{H}_{z}} = 0$ исходное потенциальное моноэнергетическое $\mathcal{H} = 0$ течение трансформируется в поток с зависящими от времени пульсациями скорости в магнитном поле ${{H}_{z}} = 2\gamma $ и полной энергией
(95)
$\mathcal{H} = \left( {2a\gamma \cos 2\gamma t} \right)\bar {x}\bar {y} + \left( {a{\text{sin}}2\gamma t} \right)\left( {{{{\bar {x}}}^{2}} - {{{\bar {y}}}^{2}}} \right).$При изменении исходной системы координат инвариантное преобразование в случае (90) приводит к изменению знака у функции $f\left( t \right),$ что при ее произвольности означает тождественный результат.
Параметры плоского бриллюэновского потока в системе $\bar {x},\bar {y}$ определены формулами
(96)
$\begin{gathered} \bar {u} = {{{\bar {H}}}_{z}}\bar {y},\,\,\,\,\bar {v} = 0,\,\,\,\bar {\varphi } = \frac{1}{2}\bar {H}_{z}^{2}{{{\bar {y}}}^{2}}, \\ \bar {\rho } = \bar {H}_{z}^{2},\,\,\,\,\bar {\mathcal{H}} = 0. \\ \end{gathered} $Применяя преобразование эквивалентности к этому решению, получим
(97)
$\begin{gathered} {{v}_{R}} = \frac{1}{2}{{{\bar {H}}}_{z}}R\sin \,2\left( {\psi - \gamma t} \right), \\ {{v}_{\psi }} = R\left[ { - {{{\bar {H}}}_{z}}{{{\sin }}^{2}}\left( {\psi - \gamma t} \right) + \gamma } \right], \\ \varphi = \frac{1}{2}{{R}^{2}}\left[ {\bar {H}_{z}^{2}{{{\sin }}^{2}}\left( {\psi - \gamma t} \right) - \gamma \left( {\gamma + {{H}_{z}}} \right)} \right], \\ \rho = H_{z}^{2} + 2\gamma \left( {\gamma + {{H}_{z}}} \right),\,\,\,\,{{{\bar {H}}}_{z}} = {{H}_{z}} + 2\gamma , \\ \mathcal{H} = {{R}^{2}}\left[ {\frac{1}{8}\bar {H}_{z}^{2} + \gamma {{{\bar {H}}}_{z}}{{{\sin }}^{2}}\left( {\psi - \gamma t} \right) + \frac{1}{2}\gamma {{{\bar {H}}}_{z}}} \right]. \\ \end{gathered} $Для течения с эллиптическими орбитами частиц в однородном магнитном поле ${{H}_{z}}$ [25] будем исходить из решения в системе $\bar {x},\bar {y}$ со следующими параметрами:
(98)
$\begin{gathered} \bar {u} = - \left( {\Omega + b} \right)\bar {y},\,\,\,\,\bar {v} = \left( {\Omega - b} \right)\bar {x}, \\ {{{\bar {H}}}_{z}} = {{H}_{z}} + 2\gamma ,\,\,\,\,\Omega = - \frac{1}{2}{{H}_{z}} - \gamma , \\ \bar {\varphi } = \frac{1}{2}\left[ {{{{\left( {\Omega - b} \right)}}^{2}}{{{\bar {x}}}^{2}} + {{{\left( {\Omega + b} \right)}}^{2}}{{{\bar {y}}}^{2}}} \right] = \\ = \varphi + \frac{1}{2}\left( {{{\gamma }^{2}} + \gamma {{H}_{z}}} \right)\left( {{{x}^{2}} + {{y}^{2}}} \right), \\ \bar {\rho } = 2\left( {{{\Omega }^{2}} + {{b}^{2}}} \right). \\ \end{gathered} $В системе x, y, пользуясь формулами (84), имеем
(99)
$\begin{gathered} u = \left( {b\sin 2\gamma t} \right)x - \left( {\Omega + \gamma + b\cos 2\gamma t} \right)y, \\ \text{v} = \left( {\Omega + \gamma - b\cos 2\gamma t} \right)x - \left( {b\sin 2\gamma t} \right)y, \\ \varphi = \frac{1}{2}\left[ {\left( {{{\Omega }^{2}} + {{b}^{2}} - {{\gamma }^{2}} - \gamma {{H}_{z}}} \right)\left( {{{x}^{2}} + {{y}^{2}}} \right)} \right. - \\ \left. { - \,\,2\Omega b\cos 2\gamma t\left( {{{x}^{2}} - {{y}^{2}}} \right) - \left( {4\Omega b\sin 2\gamma t} \right)xy} \right], \\ \rho = 2\left( {{{\Omega }^{2}} + {{b}^{2}}} \right) - 2\gamma \left( {\gamma + {{H}_{z}}} \right). \\ \end{gathered} $ЗАКЛЮЧЕНИЕ
Приведенные выше решения нестационарных уравнений пучка с трансляционной симметрией, пространственными в общем случае траекториями и характеристиками течения, носящими осцилляционный характер, заметно расширяют число потоков, описываемых элементарными функциями и функциями Бесселя. Решения с перечисленными свойствами приводятся, по-видимому, впервые. Наряду с зависящими от времени потоками указаны стационарные варианты, в том числе описывающие установившийся режим, на который выходит некий меняющийся во времени процесс. Плотность пространственного заряда в рассмотренных случаях может быть как однородной, так и содержать сложные зависимости от пространственных координат. Допустимо присутствие однородного магнитного поля. Установление преобразования эквивалентности для плоских соленоидальных течений позволяет поставить в соответствие стационарному решению уравнений пучка некий нестационарный образ, что расширяет возможности построения решений в элементарных функциях с осцилляционными характеристиками. Полученные примеры, как и любые точные решения, могут быть использованы в качестве эталонов.
Результаты работы [13] были интерпретированы их автором как возможность нелинейных колебаний в цилиндрическом магнетроне с нитевидным катодом вблизи частоты ${{{{H}_{z}}} \mathord{\left/ {\vphantom {{{{H}_{z}}} {\sqrt 2 }}} \right. \kern-0em} {\sqrt 2 }},$ а также на моде N = 2. Вопрос о подобного рода физической интерпретации полученных выше решений остается открытым.
Список литературы
Овсянников Л.В. Групповой анализ дифференциальных уравнений. М.: Наука, 1978.
Cыpoвoй B.A. // PЭ. 2003. T. 48. № 4. C. 467.
Мануилов В.Н., Цимринг Ш.Е. // РЭ. 1978. Т. 23. № 7. С. 1486.
Maнyилoв B.H. // PЭ. 1981. T. 26. № 11. C. 2425.
Lomax R.J. // J. Electr. Contr. 1958. V. 5. № 6. P. 563.
Данилов В.Н. // Журн. прикл. механики и техн. физики. 1968. № 1. С. 3.
Сыровой В.А. // Журн. прикл. механики и техн. физики. 1963. № 3. С. 26.
Сыровой В.А. // Журн. прикл. механики и техн. физики. 1965. № 6. С. 3.
Миллер Р. Введение в физику сильноточных пучков заряженных частиц. М.: Мир, 1984.
Брейзман Б.Н., Рютов Д.Д., Ступаков Г.В. // Изв. вузов. Физика. 1979. № 10. С. 7.
Рудаков Л.И., Бабыкин М.В., Гордеев А.В. и др. Генерация и фокусировка сильноточных релятивистских электронных пучков. М.: Энергоатомиздат, 1990.
Бегучев О.П. // ЖТФ. 1956. Т. 26. № 7. С. 1483.
Pease M.C. // J. Appl. Phys. 1960. V. 31. № 1. P. 70.
Сыровой В.А. // Журн. прикл. механики и техн. физики. 1964. № 1. С. 3.
Сыровой В.А. // Журн. прикл. механики и техн. физики. 1965. № 3. С. 56.
Cыpoвoй B.A. // PЭ. 1984. T. 29. № 12. C. 2430.
Cыpoвoй B.A. // PЭ. 2003. T. 48. № 3. C. 362.
Вашковский А.В., Сыровой В.А. // РЭ. 1991. Т. 36. № 2. С. 392.
Акимов П.И., Гаврилин А.А., Никитин А.П. и др. // РЭ. 2018. Т. 63. № 11. С. 1165.
Cыpoвoй B.A. // PЭ. 2008. T. 53. № 6. C. 752.
Градштейн И.С., Рыжик И.М. Таблицы интегралов, сумм, рядов и произведений. М.: Физматгиз, 1962.
Сыровой В.А. Введение в теорию интенсивных пучков заряженных частиц. М.: Энергоатомиздат, 2004.
Огородников С.Н. // ЖТФ. 1972. Т. 42. № 7. С. 1348.
Cыpoвoй B.A. // PЭ. 2001. T. 46. № 1. C. 124.
Kirstein P.T. // J. Electr. Contr. 1958. V. 4. № 5. P. 425.
Дополнительные материалы отсутствуют.
Инструменты
Радиотехника и электроника

























