ЖУРНАЛ ОБЩЕЙ ХИМИИ, 2023, том 93, № 9, с. 1439-1444
УДК 546.04.05
НАНЕСЕНИЕ ФОСФИДОВ ЖЕЛЕЗА, КОБАЛЬТА И
НИКЕЛЯ НА ПОВЕРХНОСТЬ ВЫСОКОПОРИСТОГО
КРЕМНЕЗЕМА
© 2023 г. И. А. Тарасюк1, Д. В. Филиппов1, А. С. Вашурин1,*
1 Ивановский государственный химико-технологический университет, пр. Шереметевский 7, Иваново, 153000 Россия
*е-mail: vashurin@isuct.ru
Поступило в редакцию 24 апреля 2023 г.
После доработки 25 июля 2023 г.
Принято к печати 29 июля 2023 г.
Золь-гель методом получены материалы с нанесенными фосфидами кобальта и никеля общей формулы
Me2P и фосфидом железа на высокопористый кремнезем (Sуд 811 м2/г). Преимуществом рассмотренных
в работе методов получения материалов является отсутствие необходимости использования структуро-
образующих веществ, таких как ПАВы. Проведено сравнение свойств материалов, полученных разными
методами. Установлено, что для всех материалов доля нанесенного металла составляет 4.5-4.7 мас%
материала.
Ключевые слова: фосфид, железо, кобальт, никель, нанесение, кремнезем, золь-гель синтез
DOI: 10.31857/S0044460X23090123, EDN: XKAQQR
Металлы платиновой группы в виде свобод-
ко-химических свойств [4, 5]. В литературе опи-
ных металлических частиц, нанесенных метал-
саны различные подходы к получению фосфидов
лических частиц, а также в составе комплексов
металлов из солей соответствующих металлов и
с различными стабилизирующими лигандами,
различных источников фосфора. Например, фос-
проявляют отличные каталитические свойства в
фиды можно получить из фосфористой [6] или
широком ряде гетерогенных и гомогенных про-
фосфорноватистой [7] кислот или их солей, три-
цессов, например, электрохимических реакций
октилфосфина [8] или фосфина [9], при этом ис-
разделения воды на чистый кислород и водород,
пользование таких реагентов не всегда является
селективного гидрирования кратных связей, реак-
оптимальным. Более удобным источником фосфо-
ций кросс-сочетания с высокими выходами. Это
ра для получения фосфидов являются соли орто-
обусловлено их относительной инертностью к
фосфорной кислоты [10].
внешним воздействиям и химической стабильно-
В зависимости от практических задач сами
стью, строением внешней электронной оболочки
фосфиды различной стехиометрии могут быть по-
и способностью к координационным взаимодей-
лучены как в чистом виде (в виде кристаллов, сло-
ствиям [1-3]. Вместе с тем высокая стоимость как
ев или массивных материалов) [11-13], нанесен-
самих соединений, так и процессов регенерации
ные, например, на электропроводящие материалы
катализаторов на их основе серьезно ограничива-
[14, 15] или же другие носители. Так, при приме-
ет их применение. Перспективной альтернативой
нении фосфидов в качестве катализаторов реакций
являются металлы 3d-ряда и их соединения. На-
гидрирования [10, 16, 17], гидродеоксигенации
пример, фосфиды многих d-элементов, проявляют
[18] или других [19, 20] их рекомендуется закре-
ряд схожих с металлами платиновой группы физи-
плять на носителе, к которому так же предъявля-
1439
1440
ТАРАСЮК и др.
Схема 1.
R
H
O
O
H
R
O O
O O
O
O
R
Si
R
+
H
Si
H
+
H
H
O
O
R
H
H
O
O
H
O O
O O
+ 2n
O
nH Si
H
Si
H
O
O
n
H
ются свои требования. В частности, он должен
синтеза выход целевого продукта не превышал
быть стабилен в условиях проводимой реакции,
30%, а удельная поверхность после старения геля
обладать высокой удельной поверхностью, а также
в течение 30 ч не превышала значения 100 м2/г. В
быть инертным по отношению ко всем реагентам
ходе работы было установлено, что минеральные
каталитической системы. В качестве такого носи-
(например, HCl) и органические кислоты (кроме
теля может выступать кремнезем, полученный по
уксусной) затрудняют процесс получения кремне-
методу золь-гель синтеза [21-23]. В данной работе
зема, а также препятствуют порообразованию.
была поставлена цель получения фосфидов нике-
В случае использования соляной кислоты вы-
ля, кобальта и железа, нанесенных на поверхность
ход кремнезема был близок к 100%, однако удель-
кремнезема, а также выявление состава фосфида
ная площадь поверхности после оптимизации
для получаемых материалов.
процедуры не превышала 300 м2/г. В результате
Получение кремнезема проводили золь-гель
проведенных экспериментов (табл. 1) установле-
методом путем гидролиза тэтраэтоксиортосилика-
но, что данную реакцию целесообразнее прово-
та в водной среде и последующим процессом по-
дить в среде уксусной кислоты при значении рН 5.
ликонденсации (схема 1).
В результате эксперимента синтезирован высоко-
Проведение гидролиза в основной среде при
пористый и стабильный при температуре до 800°С
аморфный кремнезем, который в дальнейшем был
диапазоне значений рН среды от 9 до 10 (основы-
использован в качестве носителя.
ваясь на методе получения кремнезема по Штобе-
ру [24, 25]), создавая среду при помощи аммиака
Результаты экспресс-анализа удельной поверх-
или гидроксида натрия, не позволило получить
ности показали, что полученный по оптимизи-
высокопористый кремнезем за приемлемо корот-
рованному методу кремнезем обладает удельной
кий промежуток времени. В результате такого
поверхностью 644 м2/г. При получении полной
Таблица 1. Соотношение реагентов при получении кремнезема
№ опыта
Vвода, мл
VEtOH, мл
VТЭОС, мл
VВ, мл
VАсОН, мл
Sуд, м2
1
-
200
20
10 (0.5 М. NaOH)
-
6
2
12.5
24.8
10
1.5 (1 М. NH3)
-
70
3
-
62
24
14 (0.37 М. NH4OH)
-
48
4
10
150
40
-
0.1
384
5
19
20
30
-
0.1
383
6
19
20
30
-
0.15
360
7
38
40
60
-
0.05
644
ЖУРНАЛ ОБЩЕЙ ХИМИИ том 93 № 9 2023
НАНЕСЕНИЕ ФОСФИДОВ ЖЕЛЕЗА, КОБАЛЬТА И НИКЕЛЯ
1441
Нанесение фосфидов железа кобальта и нике-
ля на кремнезем проводили по двум методикам в
две стадии для каждой из нитратов соответствую-
щих металлов и дигидрофосфата аммония. Двух-
стадийный процесс необходим для того, чтобы
избежать формирования нерастворимых осадков
фосфатов вне поверхности носителя. Соответству-
ющие массы нитратов металлов и дигидрофосфа-
та аммония представлены в табл. 2.
При анализе остаточной величины удельной
поверхности полученных материалов с нанесен-
ными металлами было установлено, что для всех
образцов она составляет порядка 300 м2/г. Это объ-
ясняется тем, что образцы несколько раз подверга-
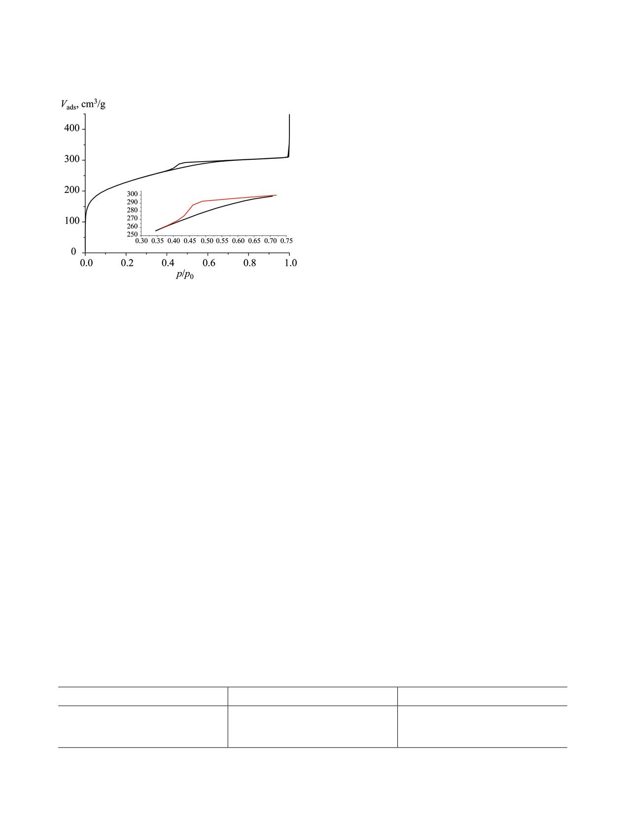
Рис. 1. Изотерма адсорбции для синтезированного
лись термической обработке и часть пор поверх-
кремнезема.
ности занимают получившиеся в итоге фосфиды
металлов.
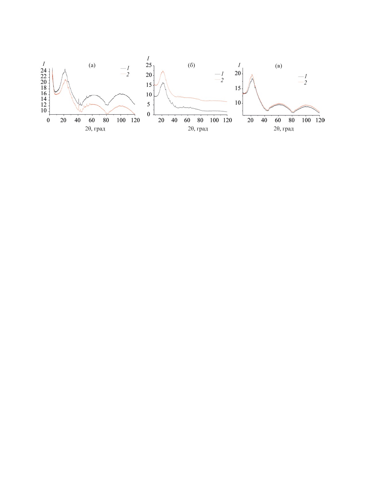
По результатам рентгеновской порошковой
дифрактометрии (рис. 2) выявлено наличие интен-
изотермы адсорбции, обработанной методом Бру-
сивного широкого сигнала от 13 до ~38° на рент-
науэра-Эммета-Теллера (рис. 1) выявлено истин-
генограмме каждого образца, который принадле-
ное значение удельной поверхности - 811 м2/г.
жит аморфному кремнезему. Остальные рефлексы
Наблюдаемая разница величин удельной поверх-
частично накладываются на данный сигнал, но в
ности может быть объяснена тем, что полное на-
целом дифракционная картина соответствует кри-
сыщение поверхности носителя происходит при
сталлической структуре фосфидов металлов с об-
значении относительного парциального давления
щей формулой Me2P.
(p/p0), близкого к 1. Мезопоры составляют более
Для материалов с фосфидом железа вне зави-
90% поверхности полученных образцов. Средний
симости от метода нанесения кристаллической
объем пор для полученного кремнезема составля-
фазы не обнаружено. Результаты измерений мето-
ет 0.475 см3/г, средний радиус мезопор - 1.89 нм, а
дом ICP показали, что количество закрепившихся
средний радиус микропор - 0.79 нм.
фосфидов на поверхности кремнезема составляет
В ИК спектре отмечено широкое плечо при
8-9% для каждого образца. В пересчете на массу
1200 см-1, которое относится к колебаниям сво-
чистого металла для Co - 4.56%, для Ni - 4.73%,
бодных силанольных групп (Si-O-H). Принимая
для Fe - 4.89%, что соответствует соотношению
во внимание величины удельной поверхности
масс нанесенных металлов и фосфора порядка 1:1.
данных образцов, можно сделать вывод о том, что
Такое соотношение дает основание полагать нали-
поры в основном покрыты этими функциональны-
чие в образце фосфора, не участвующего в образо-
ми группами, что создает предпосылки для даль-
вании кристаллической фазы. Этот результат хоро-
нейшей ковалентной иммобилизации на поверх-
шо соотносится с данными РФА. Однако, согласно
ности материала различных соединений.
данным РФА, кристаллическая фаза соответствует
Таблица 2. Массы реагентов при получении фосфидов металлов
Образец
Нитрат метала (m, г)
m(NH4H2PO4), г
FeхPу@SiO2
Fe(NO3)3·9H2O (1.9 г)
0.47
Co2P@SiO2
Co(NO3)2·6H2O (1.3 г)
0.46
Ni2P@SiO2
Ni(NO3)2·6H2O (1.3 г)
0.45
ЖУРНАЛ ОБЩЕЙ ХИМИИ том 93 № 9 2023
1442
ТАРАСЮК и др.
Рис. 2. РФА кремнезема с нанесенными фосфидами кобальта (а), никеля (б), железа (в), полученного методом избытка
влагоемкости (1) и методом пропитки из раствора (2).
стехиометрии Me2P: для метода пропитки из рас-
вый метод - пропитка из раствора, которую пово-
твора все рефлексы принадлежат этой структуре,
дили в ротационном испарителе из 100 мл водного
в то время как для метода нанесения по избытку
раствора при температуре термостата 60°С поша-
влагоемкости наблюдаются дополнительные пики,
говым снижением давления от 1000 до 80 мбар.
что говорит о наличии в системе второй кристал-
После полного испарения жидкости сухое веще-
лической фазы. Так, например, рентгенограмма
ство помещали в печь в токе воздуха при 400°С
образца Ni2P@SiO2, полученного пропиткой по
на 4 ч для термического разложения нитратов до
соответствующих оксидов. Соответствующие мас-
избытку влагоемкости, демонстрирует присут-
ствие фазы Ni12P5.
сы нитратов металлов и дигидрофосфата аммония
представлены в табл. 2. Второй метод заключался
Таким образом, получены материалы с нане-
в пропитке по избытку влагоемкости. Кремнезем
сенными на кремнезем фосфидами кобальта и ни-
и нитрат металла помещали в ступку и добавляли
келя общей формулы Me2P и фосфидом железа и
избыток воды по объему пор - более 2 мл, после
исследованы их свойства.
этого медленно растирали полученную суспензию
ЭКСПЕРИМЕНТАЛЬНАЯ ЧАСТЬ
в ступке до полного испарения влаги. Массы ни-
тратов металлов и дигидрофосфата аммония были
Синтез (SiO2)n. Смсесь 39 мл воды и 0.05 мл
взяты такие же, как и для метода пропитки из рас-
ледяной уксусной кислоты добавляли к раствору
твора. Впоследствии смесь обжигали при 400°С
60 мл тэтраэтоксиортосиликата в 40 мл этанола.
для термического разложения нитрата.
Полученную смесь перемешивали при 45°С в те-
Второй шаг - пропитка полученных материа-
чение 3 ч в открытом сосуде для контролируемого
лов дигидрофосфатом аммония (можно использо-
испарения растворителя. Через 3 ч температуру
вать гидрофосфат аммония). Данную процедуру
повышали до 80°С при перемешивании смеси в те-
также проводили двумя методами, как и в случае
чение 1 ч. Этанол практически полностью испаря-
с нитратом металла, после чего также выполняли
ется, что приводит к формированию вязкого геля.
термическую обработку при 500°С сначала в токе
Температуру повышали до 100°С, через 30 мин
воздуха, затем в токе водорода при 500°С для ни-
перемешивание останавливали и выдерживали ре-
келя или при 600°С для железа и кобальта для вос-
акционную смесь 12 ч при стандартных условиях.
становления фосфатов до фосфидов.
Далее полученный образец сушили при 200°С в
Для выявления истинного соотношения ме-
течение 2 ч.
талла к фосфору (Ме/Р) в каждом образце был
Общая методика нанесения фосфидов на по-
выполнен анализ полученных образцов методом
верхность (SiO2)n. На первой стадии проводили
ICP-OES (PerkinElmer). Поскольку данный метод
пропитку нитратом металла двумя методами. Пер-
предполагает исследование образцов в истинных
ЖУРНАЛ ОБЩЕЙ ХИМИИ том 93 № 9 2023
НАНЕСЕНИЕ ФОСФИДОВ ЖЕЛЕЗА, КОБАЛЬТА И НИКЕЛЯ
1443
растворах, первой задачей являлось полное рас-
проводили при помощи программного обеспече-
творение полученных образцов. Для этого навеску
ния Surfer. Средний объем пор определяли по пра-
каждого образца (25 мг) по два раза, для более точ-
вилу Гурвича, мезопоры анализировали методом
ного результата помещали в тефлоновые цилин-
Баррета-Джойнера-Халенды, микропоры - мето-
дры, специально предназначенные для жестких ус-
дом Саито и Фоли. ИК спектр синтезированного
ловий, и добавляли 3 мл азотной кислоты (69%) и
кремнезема получали на приборе Bruker VERTEX
2 мл концентрированной соляной кислоты. После
70/RAM II в диапазоне волновых чисел от 250 до
30-минутного выдерживания к образцам добавля-
4000 см-1. Снятие спектра проводили, используя
ли 1 мл концентрированной плавиковой кислоты и
образец, высушенный при 200°С в течение 4 ч,
выдерживали все образцы в микроволновой печи
на приставке НПВО. РФА выполняли на приборе
при 250°С в течение 15 мин. После остывания к
SuperNova (Rigaku Oxford Diffraction) с медным
каждому образцу добавляли 10 мл борной кислоты
источником излучения.
и вновь выдерживали в микроволновой печи при
ИНФОРМАЦИЯ ОБ АВТОРАХ
тех же условиях. Далее все образцы разбавляли
бидистиллированной деионизированной водой до
Тарасюк Илья Александрович, ORCID: https://
100 мл, из которых приготавливали по два образ-
orcid.org/0000-0003-4331-6657
ца для измерения содержания металлов и по два
Филиппов Дмитрий Вячеславович, ORCID:
образца для измерения содержания фосфора. Со-
https://orcid.org/0000-0001-5296-2883
держание металлов определяли по калибровочной
Вашурин Артур Сергеевич, ORCID: https://
кривой из известных стандартов, для большей
точности использовали один холостой образец
orcid.org/0000-0003-2239-8753
с кислотами, приготовленный тем же методом,
ФИНАНСОВАЯ ПОДДЕРЖКА
что и остальные образцы. Содержание фосфора
в образцах определяли методом добавок, суть ко-
Работа выполнена при поддержке Российского
торого заключается в приготовлении 3 образцов
научного фонда (проект 22-73-10158).
из каждого (в итоге по 6 измерений для каждого
КОНФЛИКТ ИНТЕРЕСОВ
образца на выявление содержания фосфора). Пер-
вый образец оставляли без добавок, во второй и
Авторы заявляют об отсутствии конфликта
третий образцы добавляли стандарт с известным
интересов.
содержанием фосфора. В итоге, после измерения
для каждой группы строили зависимость, в кото-
СПИСОК ЛИТЕРАТУРЫ
рой содержание фосфора в каждом образце нахо-
1. Alanazi H.E., Emran K.M. // Int. J. Electrochem. Sci.
дили по модулю точки пересечения линии с осью
2023. doi 10.1016/j.ijoes.2023.100112
абсцисс.
2. Yu P.-W., Elmas S., Roman T., Pan X., Yin Y., Gibson C.T.,
Измерение удельной поверхности экспресс-ме-
Andersson G.G., Andersson M.R. // Appl. Surface Sci.
тодом проводили на приборе Horiba Surface area
2022. Vol. 595. doi 10.1016/j.apsusc.2022.153480
analyzer. Подготовку образцов проводили при
3. Kusumawati E.N., Horyo D., Taniguchi K., Nanao H.,
200°С в течение 2 ч, процесс адсорбции азота про-
Sasaki T., Sato O., Yamaguchi A., Shirai M. // Catalysis
Today. 2023. Vol. 411-412. Article 113832. doi
водили из смеси 15% азота в гелии при температу-
10.1016/j.cattod.2022.06.047
ре жидкого азота. Подробное измерение удельной
4. Pan Y., Lin Y., Chen Y., Liu Y., Liu C. // J. Mater. Chem.
поверхности кремнезема и других характеристик
(A). 2016. Vol. 13. P. 4745. doi 10.1039/c6ta00575f
поверхности проводили на аппарате Surfer Thermo
5. Tian L., Yan X., Chen X. // ACS Catal. 2016. Vol. 6.
Scientific, подготовку образцов проводили при
P. 5441. doi 10.1021/acscatal.6b01515
250°С в течение 8 ч. Анализ проводили при темпе-
6. Infantes-Molina A., Cecilia J.A., Pawelec B.,
ратуре жидкого азота в диапазоне относительных
Fierro J.L.G., Rodríguez-Castellón E., Jiménez-
парциальных давлений (p/p0) от 2.6×10-6 до 1. Ана-
López A. // Appl. Catal. (A). 2010. Vol. 390. P. 253. doi
лиз полной изотермы адсорбции для кремнезема
10.1016/j.apcata.2010.10.019
ЖУРНАЛ ОБЩЕЙ ХИМИИ том 93 № 9 2023
1444
ТАРАСЮК и др.
7.
Zhang J., Cao X., Guo M., Wang H., Saunders M.,
16. Yang S., Peng L., Oveisi E., Bulut S., Sun D.T.,
Xiang Y., Jiang S.P., Lu S. // ACS Appl. Mater.
Asgari M., Trukhina O., Queen W.L. // Chem. Eur. J.
Interfaces. 2019. Vol. 11. P. 19048. doi 10.1021/
2018. Vol. 24. P. 4234. doi 10.1002/chem.201705400
acsami.9b00878
17. Jiménez-Gómez C.P., Cecilia J.A., Moreno-Tost R.,
8.
Senevirathne K., Burns A.W., Bussell M.E., Brock S.L. //
Maireles-Torres P. // Chem. Cat. Chem. 2017. Vol. 9.
Adv. Funct. Mater. 2007. Vol. 17. P. 3933. doi 10.1002/
P. 2881. doi 10.1002/cctc.201700312
adfm.200700758
18. Liu X., Li Z., Zhang B., Hu M. // Fuel. 2017. Vol. 204.
9.
Delley M.F., Wu Z., Mundy M.E., Ung D., Cossairt B.M.,
P. 144. doi 10.1016/j.fuel.2017.05.054
Wang H., Mayer J. // J. Am. Chem. Soc. 2019. Vol. 141.
19. Xue Y., Guan Q., Li W. // RSC Adv. 2015. Vol. 5.
P. 15390. doi 10.1021/jacs.9b07986
P. 53623. doi 10.1039/c5ra09020b
10.
Song X., Ding Y., Chen W., Dong W., Pei Y., Zang J.,
Yan L., Lu Y. // Energy and Fuels. 2012. Vol. 26. P. 6559.
20. Guan Q., Cheng X., Li R., Li W. // J. Cat. 2013. Vol. 299.
doi 10.1021/ef301391f
P. 1. doi 10.1016/j.jcat.2012.11.008
11.
Pan Y., Liu Y., Zhao J., Yang K., Liang J., Liu D., Hu W.,
21. Tarasyuk I.A., Kuzmin I.A., Marfin Y.S., Vashurin A.S.,
Liu D., Liu Y., Liu C. // J. Mater. Chem. (A). 2015.
Voronina A.A. // Synth. Met. 2016. Vol. 217. P. 189. doi
Vol. 4. P. 1656. doi 10.1039/c4ta04867a
10.1016/j.synthmet.2016.03.037
12.
Liu M., Li J. // ACS Appl. Mater. Interfaces. 2016.
22. Vashurin A., Marfin Yu., Tarasyuk I., Kuzmin I.,
Vol. 8. P. 2158. doi 10.1021/acsami.5b10727
Znoyko S., Goncharenko A., Rumyantsev E. // Appl.
13.
Popczun E.J., Roske C.W., Read C.G., Crompton J.C.,
Organomet. Chem. 2018. Vol. 32. P. e4482. doi 10.1002/
McEnaney J.M., Callejas J.F., Lewis N.S., Schaak R.E. //
aoc.4482
J. Mater. Chem. (A). 2015. Vol. 3. P. 5420. doi 10.1039/
23. Vashurin A., Kuzmin I., Razumov M., Golubchikov O.,
c4ta06642a
Koifman O. // Macroheterocycles. 2018. Vol. 11. N 1.
14.
Yi S.S., Yan J.M., Wulan B.R., Li S.-J., Liu K.-H.,
P. 11. doi 10.6060/mhc180168v
Jiang Q. // Appl. Catal. (B). 2017. Vol. 200. P. 477. doi
24. Stöber W., Fink A., Bohn E. // J. Colloid Interface Sci.
10.1016/j.apcatb.2016.07.046
15.
Wang P., Song F., Amal R., Ng Y.H., Hu X. //
1968. Vol. 26. P. 62.
ChemSusChem. 2016. Vol. 9. P. 472. doi 10.1002/
25. Sharaf M.A., Zikry A.A.F. // J. Am. Sci. 2010. Vol. 6.
cssc.201501599
N 11. P. 985. doi 10.7537/marsjas061110.133
Deposition of Iron, Cobalt, and Nickel Phosphides
on the Surface of Highly Porous Silica
I. A. Tarasyuka, D. V. Filippova, and A. S. Vashurina,*
a Ivanovo State University of Chemical Technology, Ivanovo, 153000 Russia
*e-mail: vashurin@isuct.ru
Received April 24, 2023; revised July 25, 2023; accepted July 29, 2023
The sol-gel method was used to obtain materials with deposited cobalt and nickel phosphides of the general
formula Me2P and iron phosphide on highly porous silica (Ssp 811 m2/g). The advantage of the methods for
obtaining materials considered in the work is the absence of the need to use structure-forming substances, such
as surfactants. The properties of materials obtained by different methods were compared. For all materials, it
was found that the proportion of metal is 4.5-4.7 wt.% of the material.
Keywords: phosphide, iron, cobalt, nickel, deposition, silica, sol-gel synthesis
ЖУРНАЛ ОБЩЕЙ ХИМИИ том 93 № 9 2023