Доклады Российской академии наук. Науки о Земле, 2023, T. 509, № 2, стр. 177-183
Влияние концентрации серы на сульфидизацию оливина при РТ-параметрах литосферной мантии
Ю. В. Баталева 1, *, О. В. Фурман 1, Е. В. Здроков 1, Ю. М. Борздов 1, член-корреспондент РАН Ю. Н. Пальянов 1
1 Институт геологии и минералогии им. В.С. Соболева Сибирского отделения Российской академии наук
Новосибирск, Россия
* E-mail: bataleva@igm.nsc.ru
Поступила в редакцию 21.11.2022
После доработки 12.12.2022
Принята к публикации 15.12.2022
- EDN: NYOEQA
- DOI: 10.31857/S2686739722602642
Аннотация
Экспериментальные исследования, направленные на моделирование процессов взаимодействия серосодержащих метасоматических агентов с мантийными силикатами и оценку влияния концентрации серы на сульфидизацию оливина, проведены в системе Fe,Ni-оливин − сера на аппаратуре высокого давления БАРС (1050 и 1450°С, 6.3 ГПа, 40‒60 ч, концентрации серы (Xs) 0.1, 2 и 6 мол. %). Установлено, что в результате перекристаллизации Fe,Ni-оливина в расплаве серы происходит экстракция Fe и Ni из оливина в этот расплав, с последующим образованием Fe,Ni-сульфидов (или сульфидных расплавов) и низкожелезистых, низконикелевых силикатов. Определены ключевые индикаторные характеристики процесса сульфидизации оливина в зависимости от температуры и концентрации серы, включающие характерные фазовые ассоциации, закономерности эволюции химических составов минеральных и расплавных фаз, а также особенности строения кристаллов оливина. Экспериментально установлено, что восстановительные серосодержащие метасоматические агенты даже в минимальных концентрациях и при относительно низких температурах способны растворять и транспортировать мантийные силикаты и сульфиды, а также могут играть важную роль в сульфидном рудообразовании в мантии.
В настоящее время исследование процессов мантийного метасоматоза является одним из наиболее актуальных направлений мантийной петрологии. По современным представлениям, в качестве потенциальных восстановительных метасоматических агентов могут рассматриваться серосодержащие флюиды, сульфидные расплавы, а также компоненты C‒O‒H‒S флюида, например, CH4, H2S и CS2 [1]. Основными источниками восстановленных обогащенных серой расплавов и флюидов в мантии являются процессы, происходящие в зонах субдукции, на границе ядра и мантии, а также под воздействием вещества плюмов на мантийные породы [2, 3]. При этом предполагается, что генезис части мантийных сульфидов может быть связан с реакциями сульфидизации, происходящими при воздействии серосодержащих флюидов или расплавов на Mg,Fe,Ni-силикаты мантийных ультраосновных пород. Пионерские экспериментальные исследования по моделированию реакций сульфидизации оливина, пироксенов и граната были проведены в 1960–1980-х годах при высоких температурах и атмосферном давлении [4, 5], в условиях плавления этих силикатов. Ранее нами исследованы процессы взаимодействия природного Fe,Ni-содержащего оливина с расплавом серы при PT-параметрах литосферной мантии (концентрация серы в системе 10 мол. %) [6], и показана принципиальная возможность формирования мантийных сульфидов или сульфидных расплавов в результате экстракции переходных металлов из силикатных минералов в расплав серы. Настоящая работа является логическим продолжением экспериментального моделирования реакций сульфидизации Fe,Ni-оливина в литосферной мантии, и направлена на изучение процессов взаимодействия серосодержащих метасоматических агентов с мантийными силикатами при существенно более низких концентрациях серы (от 0.1 до 6 мол. %), чем в предшествующих исследованиях.
Эксперименты проведены на многопуансонном аппарате высокого давления “разрезная сфера” (БАРС) [7] при давлении 6.3 ГПа, температурах 1050 и 1450°С, и длительностях 60 и 40 ч соответственно. В качестве исходных реагентов использовали оливин из ксенолита зернистого шпинелевого лерцолита (кимберлитовая трубка Удачная, Якутия) и элементарную серу (ОСЧ). Состав исходного форстерита соответствовал Mg1.8Fe0.19Ni0.01SiO4, с содержаниями FeO – 9.28 мас. % и NiO – 0.51 мас. %. Концентрация серы в системе была переменной, и составляла 0.1, 2.0 и 6.0 мол. %. Оливин и серу предварительно перетирали до размерности 10‒20 мкм, затем реагенты тщательно перемешивали между собой и истирали повторно. Учитывая предшествующий опыт работы с сульфидами и серой при высоких PT-параметрах [6, 8, 9], в качестве оптимального материала ампул был выбран графит. Исследование фазовых взаимоотношений и составов полученных фаз проведено с использованием методов электронной сканирующей микроскопии и энергодисперсионной спектроскопии (“TESCAN” MIRA 3 LMU и JSM–6510LV), а также микрозондового анализа (“Jeol” JXA-8100). Особенности структуры полученных минеральных фаз изучены при помощи КР-спектроскопии (спектрометр “Horiba” J.Y. LabRAM HR800, оснащенный микроскопом “Olympus” BX41). Аналитические исследования выполнены в ИГМ СО РАН и ЦКП многоэлементных и изотопных исследований СО РАН, детали примененных аналитических методик представлены в работе [10].
Результаты экспериментальных исследований, а также составы полученных силикатных и сульфидных фаз показаны в табл. 1‒3. Необходимо отметить, что температура плавления серы при 6.3 ГПа составляет ~870°C [12]. Установлено, что взаимодействие оливина c расплавом серы при 1050°C (Xs = 0.1 мол. %) приводит к перекристаллизации оливина, а также формированию единичных кристаллов новообразованного ортопироксена (Mg1.88Fe0.19Si2.01O6, табл. 2) и сульфидов ‒ Ni-пирротина Fe0.80Ni0.11S и хизлевудита Ni2.9Fe0.1S2 (рис. 1 а, табл. 3). При этом состав оливина незначительно отличается от исходного (рис. 2 а), а его размерность увеличивается в 2‒4 раза. При повышении Xs до 2.0 мол. % образуется агрегат перекристаллизованного оливина (рис. 1 б), для которого характерны включения сульфидов и зональное строение кристаллов ‒ с железистым центром (Mg1.80Fe0.19Ni0.01SiO4) и магнезиальной периферией (Mg1.87Fe0.14Ni0.01SiO4) (рис. 2 б). В интерстициях полученного поликристаллического агрегата обнаружены многочисленные мелкие кристаллы новообразованных пирита Fe0.96Ni0.03S2 и ортопироксена Mg1.92Fe0.07Si2O6.
Таблица 1.
Параметры и результаты экспериментов в системе оливин‒сера (6.3 ГПа)
| № эксп. | T, °С | t, ч | Xs, мол. % | Полученные фазы |
|---|---|---|---|---|
| 121-L | 1050 | 60 | 0.1 | Ol, Opx, Po, Hs |
| 122-L | 1050 | 60 | 2 | Ol, Opx, Py |
| 127-L | 1050 | 60 | 6 | Ol, Opx, Py, L |
| 129-H | 1450 | 40 | 0.1 | Ol, Opx, L1 |
| 130-H | 1450 | 40 | 2 | Ol, Opx, L1 |
| 133-H | 1450 | 40 | 6 | Ol, Opx, L2 |
Таблица 2.
Составы силикатов, полученных в системе оливин‒сера
| № эксп. | T, °С | Xs, мол. % | Фаза | Na | Состав, мас. % | n(O) | Формульные единицы | ||||||||
|---|---|---|---|---|---|---|---|---|---|---|---|---|---|---|---|
| SiO2 | FeO | MgO | NiO | Σ | Si | Fe | Mg | Ni | Σ | ||||||
| 121-L | 1050 | 0.1 | Ol | 18 | 40.8(3) | 9.3(2) | 49.7(3) | 0.2(2) | 99.9 | 4 | 1.00(1) | 0.19(0) | 1.81(1) | – | 3.00 |
| Opx | 8 | 58.4(4) | 6.4(2) | 34.7(4) | – | 100.0 | 6 | 2.01(0) | 0.18(1) | 1.79(1) | – | 3.99 | |||
| 122-L | 1050 | 2.0 | Ol п | 13 | 41.2(3) | 6.7(9) | 51.7(9) | 0.2(2) | 99.9 | 4 | 1.00(1) | 0.14(4) | 1.87(5) | 0.01(1) | 3.00 |
| Ol ц | 7 | 40.7(2) | 9.2(2) | 49.7(2) | 0.3(3) | 99.9 | 4 | 1.00(0) | 0.19(0) | 1.81(1) | 0.01(1) | 3.00 | |||
| Opx | 8 | 58.8(7) | 2(2) | 38(2) | – | 99.9 | 6 | 2.00(1) | 0.07(7) | 1.92(9) | – | 3.99 | |||
| 127-L | 1050 | 6.0 | Ol п | 12 | 41.6(1) | 6.6(3) | 51.4(8) | 0.1(1) | 99.7 | 4 | 1.01(0) | 0.13(1) | 1.85(1) | – | 2.99 |
| Ol ц | 9 | 40.8(2) | 9.2(2) | 49.6(2) | 0.2(2) | 100.0 | 4 | 1.00(0) | 0.20(0) | 1.80(1) | 0.01(0) | 3.00 | |||
| Opx | 8 | 58.4(8) | 5(2) | 36(1) | – | 99.9 | 6 | 2.00(1) | 0.14(6) | 1.85(6) | – | 3.99 | |||
| 129-H | 1450 | 0.1 | Ol | 16 | 41(2) | 9(0) | 48(2) | 0.3(2) | 99.7 | 4 | 1.02(5) | 0.19(1) | 1.76(9) | 0.01(0) | 2.98 |
| Opx | 10 | 58.5(9) | 6.1(1) | 35.4(1) | – | 100.0 | 6 | 2.01(0) | 0.17(0) | 1.81(1) | – | 2.98 | |||
| 130-H | 1450 | 2.0 | Ol | 14 | 42.1(3) | 3.4(1) | 54.3(3) | – | 99.7 | 4 | 1.00(1) | 0.07(0) | 1.93(1) | – | 2.99 |
| Opx | 10 | 59.4(2) | 1.9(5) | 38.7(3) | – | 100.0 | 6 | 2.00(0) | 0.05(1) | 1.94(1) | – | 4.00 | |||
| 133-H | 1450 | 6.0 | Ol | 21 | 42.8(1) | 0.4(0) | 56.8(1) | – | 99.9 | 4 | 1.00(0) | 0.01(0) | 1.99(0) | – | 3.00 |
| Opx | 10 | 59.9(2) | 0.3(3) | 39.8(2) | – | 100.0 | 6 | 2.00(0) | 0.01(1) | 1.98(1) | – | 4.00 | |||
Таблица 3.
Составы сульфидных фаз, полученных в системе оливин‒сера
| № эксп. | T, °С | XS, мол. % | Фаза | NA | Состав, мас. % | n(S) | Формульные единицы | ||||
|---|---|---|---|---|---|---|---|---|---|---|---|
| Fe | Ni | S | Сумма | Fe | Ni | ||||||
| 121-L | 1050 | 0.1 | Hs | 4 | 2.3(3) | 63.5(6) | 33.9(3) | 99.8 | 2 | 0.08(1) | 2.04(4) |
| Po | 3 | 53.5(3) | 8.0(1) | 38.3(2) | 99.8 | 1 | 0.80(1) | 0.11(0) | |||
| 122-L | 1050 | 2.0 | Py | 11 | 44.8(7) | 1.6(6) | 53.4(2) | 99.8 | 2 | 0.96(2) | 0.03(1) |
| 127-L | 1050 | 6.0 | Py | 10 | 44.9(4) | 1.5(3) | 53.5(3) | 99.8 | 2 | 0.96(1) | 0.03(1) |
| 129-H | 1450 | 0.1 | L1 | 9 | 38(3) | 26(3) | 36(1) | 99.9 | 1 | – | – |
| 130-H | 1450 | 2.0 | L1 | 12 | 55(2) | 2.1(3) | 42(2) | 99.9 | – | – | – |
| 133-H | 1450 | 6.0 | L2 | 14 | 20(1) | 1.7(5) | 76.8(9) | 100.0 | – | – | – |
Рис. 1.
РЭМ-микрофотографии (а‒в, e) и карты распределения элементов (г‒д) приполированных поверхностей образцов, полученных в системе оливин‒сера: а – кристаллы Ni,Fe-сульфидов в интерстициях поликристаллического агрегата оливина (1050°C, Xs ‒ 0.1 мол. %); б – поликристаллический агрегат перекристаллизованного оливина с новообразованными сульфидами и ортопироксеном в интерстициях (1050°C, Xs ‒ 2 мол. %); в ‒ поликристаллический агрегат оливина, ортопироксена и пирита с закаленным преимущественно серным расплавом (1050°C, Xs ‒ 6 мол. %); г – включения Ni-пирротина в оливине, а также кристаллы ортопироксена в интерстициях (1450°C, Xs ‒ 0.1 мол. %); д – кристаллы оливина с включениями сульфидов, на контакте с сульфидным расплавом (1450°C, Xs ‒ 2 мол. %); е ‒ обособления закаленного преимущественно серного расплава с сульфидным компонентом в поликристаллическом агрегате оливина и ортопироксена (1050°С, Xs ‒ 6 мол. %); Ol ‒ оливин, Opx ‒ ортопироксен, Py ‒ пирит, Po – пирротин, Hs – хизлевудит, L – преимущественно серный расплав, L1 – сульфидный расплав, L2 – преимущественно серный расплав с сульфидным компонентом.

Рис. 2.
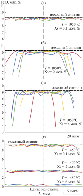
Профили составов оливина (по содержанию FeO) после экспериментов при переменных концентрациях серы и температурах 1050°С (а‒в) и 1450°С (г). Каждая цветная линия представляет собой профиль одного кристалла оливина, записанный с использованием метода энергодисперсионной спектроскопии (шаг между анализируемыми точками – 3‒5 мкм).

При наиболее высокой концентрации серы (6.0 мол. %) получена ассоциация перекристаллизованного зонального оливина (центр ‒ Mg1.80Fe0.20Ni0.01SiO4, периферия ‒ Mg1.83Fe0.13SiO4) (рис. 2 в), а также новообразованных ортопироксена Mg1.85Fe0.14Si2O6 и пирита Fe0.96Ni0.03S2, сосуществующих с расплавом серы с растворенными компонентами (рис. 1 в, табл. 2, 3). Следует подчеркнуть, что для краевых частей зональных кристаллов оливина установлено снижение железистости при увеличении концентраций серы в системе (и постоянной температуре 1050°C) (рис. 2 а‒в). В целом содержания FeO в периферических зонах кристаллов оливина снижаются до 9 мас. % (Xs = 0.1 мол. %), 6.5 мас. % (Xs = 2.0 мол. %) и 4 мас. % (Xs = 6.0 мол. %), относительно исходных 9.3 мас. % (рис. 2 а‒в).
В результате реконструкции процессов взаимодействия установлено, что даже при относительно низкой температуре (1050°C) и минимальных концентрациях серы в 0.1 мол. % происходит сульфидизация оливина, включающая в себя его частичную перекристаллизацию, сопровождающуюся экстракцией Fe и Ni из оливина в расплав серы, а также кристаллизацией новообразованных Ni,Fe-сульфидов и ортопироксена. При этом характерной (индикаторной) особенностью данных процессов является формирование ассоциации оливина (незначительно измененного по составу) с высоконикелевыми сульфидами. Установлено, что при более высоких концентрациях серы (2‒6 мол. %), помимо вышеперечисленных процессов, в результате перекристаллизации оливина происходит формирование обратной зональности в его кристаллах (резкое понижение концентраций NiO и FeO в краевых зонах) (рис. 2 б, в) и формирование в этих кристаллах включений сульфидов. рис. 3
Рис. 3.
Графики зависимости составов силикатных фаз от концентрации серы в системе. Составы оливина и ортопироксена, полученных в экспериментах в системе оливин‒сера с Xs = 10 мол. % взяты из работы Ю.В. Баталевой и соавт. (2016) [6].

При более высокой температуре 1450°C и минимальной концентрации серы (0.1 мол. %) в системе установлена перекристаллизация оливина (размерность до 400 мкм, относительно исходных 20 мкм), а также формирование небольшого количества сульфидного расплава (Fe : Ni : S = 0.6 : : 0.4 : 1, ат.) и многочисленных кристаллов ортопироксена Mg1.81Fe0.17Si2O6 (рис. 1 г, 2 г, табл. 2, 3). Необходимо отметить, что при давлении 6.3 ГПа и ~1300°C пирит претерпевает инконгруэнтное плавление, с образованием расплава серы и пирротина [13]. При Xs 2.0 мол. %, параллельно с перекристаллизацией оливина, происходит формирование сульфидного расплава (Fe : Ni : S = 0.75 : : 0.03 : 1, ат.) и кристаллизация новообразованного ортопироксена Mg1.94Fe0.05Si2O6 (рис. 1 д, табл. 2, 3). В кристаллах оливина наблюдаются многочисленные включения сульфидного расплава. Размер кристаллов оливина варьирует от 30 до 200 мкм, при этом, в отличие от относительно низкотемпературных экспериментов, для оливина не характерно зональное строение (рис. 2 г), а в его составе наблюдается резкое снижение концентраций FeO до 3 мас. %. При наиболее высокой концентрации серы (6.0 мол. %) получена ассоциация перекристаллизованного оливина ‒ практически безжелезистого и безникелевого форстерита (рис. 1 е, 2 г) с включениями сульфида, а также новообразованного ортопироксена и расплава серы, обогащенного сульфидным компонентом (Fe : Ni : S = 0.14 : 0.01 : 1, ат.) (табл. 3).
Таким образом, установлено, что при относительно высокой температуре (1450°С), сульфидизация оливина включает в себя комплекс процессов фазообразования, интенсивность которых зависит от концентрации серы в системе. В ходе этих процессов реализуется перекристаллизация оливина в расплаве серы, сопровождающаяся частичной (Xs ≤ 2 мол. %) или практически полной (Xs = 6 мол. %) экстракцией переходных металлов (Fe и Ni) из оливина в расплав, формированием сульфидного компонента в расплаве и образованием сульфидных включений в оливине. В зависимости от концентрации серы в системе, содержание сульфидного компонента и пропорции Fe/Ni в образующемся расплаве существенно варьируют. В частности, при Xs 0.1 мол. % получен высоконикелевый сульфидный расплав (Me/S = 1, Fe/Ni = 3/2), при Xs 2 мол. % ‒ сульфидный расплав с повышенными концентрациями серы (Me/S = 0.8, Fe/Ni = 25/1), а при Xs 6 мол. % ‒ преимущественно серный расплав с растворенным сульфидным компонентом (Me/S = 0.15, Fe/Ni = 14/1). Экстракция железа и никеля в расплав серы при перекристаллизации оливина приводит к резкому снижению содержаний FeO и NiO в оливине, до 3 мас. % FeO при Xs ≤ 2 мол. % и до 0.4 мас. % при Xs = 6 мол. % (при исходных концентрациях FeO ~ 9.3 мас. %) (рис. 2 г, 3 б). Возникающий в данном процессе избыток SiO2 относительно MgO приводит к кристаллизации ортопироксена в ассоциации с оливином, как и предполагалось в предшествующих исследованиях [5, 12], а количество новообразованного ортопироксена прямо пропорционально концентрации серы в системе.
Полученные экспериментальные результаты по оценке влияния концентрации серы на сульфидизацию оливина в условиях литосферной мантии позволили выявить ряд закономерностей фазообразования в зависимости от температуры и Xs. Установлено, что в качестве ключевой индикаторной характеристики взаимодействия Fe,Ni-содержащего оливина с микроколичествами серосодержащего метасоматического агента (Xs = = 0.1 мол. %) можно рассматривать ассоциацию высоконикелевых сульфидов (хизлевудит или Ni-пирротин) с оливином и ортопироксеном, весьма близкими по составу к неизмененным силикатам мантийных перидотитов. Экспериментально продемонстрировано, что кристаллы оливина с включениями сульфидов и обратной зональностью (железистый центр и магнезиальная периферия), которые традиционно рассматриваются в качестве индикаторов процессов сульфидизации в природе [14, 15], образуются только при относительно низкой температуре и Xs ≥ 2 мол. %. Установлено, что основными признаками наиболее интенсивных процессов сульфидизации, происходящих при повышенных температурах и высоких концентрациях серосодержащих агентов (Xs ≥ 6 мол. %), является формирование однородных по составу кристаллов низкожелезистого, низконикелевого оливина с включениями Fe,Ni-сульфидов, в ассоциации с ортопироксеном.
Таким образом, эфемерность серы в мантийных флюидах хорошо иллюстрируется экспериментами с низкими концентрациями S (~0.1 мол. %), в которых продемонстрировано, что в результате мантийного метасоматоза с участием серосодержащих агентов в измененной породе не остается серы, поскольку вся она расходуется на образование сульфидов. Полученные в настоящем экспериментальном исследовании данные свидетельствуют о том, что восстановительные серосодержащие агенты метасоматоза даже в минимальных концентрациях способны растворять и транспортировать компоненты мантийных силикатных фаз, а также играть значимую роль в сульфидном рудообразовании с участием мантийных флюидов, обогащенных серой.
Список литературы
O’Reilly S.Y., Griffin W.L. Mantle metasomatism. In: Harlov D.E., Austrheim H., editors. Metasomatism and the chemical transformation of rock: the role of fluids in terrestrial and extraterrestrial processes. Lecture notes in earth system sciences. London: Springer, Springer Nature; 2013. P. 471‒533.
Evans K.A. The redox budget of subduction zones // Earth–Science Reviews. 2012. V. 113. P. 11‒32.
Tomkins A., Evans K. Separate zones of sulfate and sulfide release from subducted mafic oceanic crust // Earth and Planetary Science Letters. 2015. V. 428. P. 73‒83.
Kullerud G., Yoder H.S., Jr. Sulfide–silicate relations // Carnegie Institution of Washington Year Book. 1963. V. 62. P. 215‒218.
Fleet M.E., MacRae N.D. Sulfidation of Mg-rich olivine and the stability of niningerite in enstatite chondrites // Geochimica et Cosmochimica Acta. 1987. V. 51. P. 1511‒1521.
Bataleva Yu.V., Palyanov Yu.N., Borzdov Yu.M., et al. Sulfidation of silicate mantle by reduced S–bearing metasomatic fluids and melts // Geology. 2016. V. 44. № 4. P. 271‒274.
Palyanov Y., Kupriyanov I., Khokhryakov A., Borzdov Y. High-pressure crystallization and properties of diamond from magnesium-based catalysts // CrystEngComm. 2017. № 19. P. 4459–4475.
Dasgupta R., Buono A., Whelan G., et al. High-pressure melting relations in Fe–C–S systems: implications for formation, evolution, and structure of metallic cores in planetary bodies // Geochimica et Cosmochimica Acta. 2009. V. 73. P. 6678–6691.
Palyanov Y.N., Borzdov Y.M., Bataleva Y.V., Sokol A.G., Palyanova G.A., Kupriyanov I.N. Reducing role of sulfides and diamond formation in the Earth’s mantle // Earth and Planetary Science Letters. 2007. № 260 (1‒2). P. 242‒256.
Bataleva Y.V., Novoselov I.D., Borzdov Y.M., et al. Experimental modeling of ankerite–pyrite interaction under lithospheric mantle P–T parameters: Implications for graphite formation as a result of ankerite sulfidation // Minerals. 2021. V. 11. Article № 1267.
Brazhkin V.V., Popova S.V., Voloshin R.N. Pressure-temperature phase diagram of molten elements: selenium, sulfur and iodine // Physica B, Condensed Matter. 1999. V. 265. P. 64‒71.
Eggler D.H., Lorand J.P. Mantle sulfide geobarometry // Geochimica et Cosmochimica Acta. 1993. V. 57. P. 2213‒2222.
Sharp W.E. Melting Curves of Sphalerite, Galena, and Pyrrhotite and the Decomposition Curve of Pyrite between 30 and 65 Kilobars // Journal of Geophysical Research. 1969. V. 74, P. 1645–1652.
Alard O., Lorand J.P., Reisberg L., et al. Volatile-rich metasomatism in Montferrier xenoliths (Southern France): Implications for the abundances of chalcophile and highly siderophile elements in the subcontinental mantle // Journal of Petrology. 2011. V. 52. № 10. P. 2009‒2045.
Papike J.J., Spilde M.N., Fowler G.W., et al. The Lodran primitive achondrite: Petrogenetic insights from electron and ion microprobe analysis of olivine and orthopyroxene // Geochimica et Cosmochimica Acta. 1995. V. 59. № 14. P. 3061‒3070.
Дополнительные материалы отсутствуют.
Инструменты
Доклады Российской академии наук. Науки о Земле


