Известия РАН. Физика атмосферы и океана, 2021, T. 57, № 5, стр. 539-554
Влияние направления ветра на распределение эоловых микрочастиц по размерам
Е. А. Малиновская a, *, О. Г. Чхетиани a, Л. О. Максименков a
a Институт физики атмосферы им. А.М. Обухова РАН
109017 Москва, Пыжевский пер., 3, Россия
* E-mail: elen_am@inbox.ru
Поступила в редакцию 10.05.2021
После доработки 06.06.2021
Принята к публикации 09.06.2021
Аннотация
По данным полевых измерений, полученных в летние сезоны 2010–2020 гг. в аридных условиях Прикаспийской низменности (Калмыкия, Россия), проанализированы распределения микрочастиц по размерам применительно к двум типам ветрового движения по отношению к преимущественному направлению дюнных гряд: лобового и касательного. Для лобового направления ветра отмечается меньшее число микрочастиц крупной фракции (2–5 мкм) и большее число мелкой фракции (0.2–2 мкм) в сравнении с данными в касательном направлении для подобных условий. При лобовом направлении ветра с увеличением динамической скорости снижается концентрация микрочастиц, а при касательном направлении ветра увеличивается. Генерация пылевого аэрозоля связана с перемещением крупных частиц у поверхности посредством сальтаций или перекатывания (перемещения у поверхности). Размеры генерируемых микрочастиц связаны с импульсом, передаваемым к частицам в слое. Концентрации мелкой фракции микрочастиц связываются с наличием на поверхности вторичных эоловых структур на наветренном склоне и относительного изменения его угла наклона при разных направлениях ветра. Ее генерация в результате стряхивания более вероятна при движении крупных частиц у поверхности. Концентрации крупной фракции определяются процессами откалывания в момент падения сальтирующей и сдуваемой с вершины дюны частицы на поверхность. При касательном направлении ветра, когда задействуются крупные частицы неправильной формы из зоны аккумуляции на подветренном склоне, ослабляется циркуляция воздуха над подветренным склоном, усиливаются процессы откалывания. Аналитический вывод для функции распределения микрочастиц по размерам и сравнение с данными полевых измерений позволяет оценить эффекты относительно изменения углов наклона поверхности эоловой структуры и скоростей частиц при изменении направления ветра.
ВВЕДЕНИЕ
Источниками пылевого аэрозоля (частицы размерами 0.1–5 мкм) в атмосфере являются аридные и субаридные территории [1]. Приземные аэрозоли могут служить индикатором современного опустынивания [2], что обусловлено уникальной совокупностью их свойств. Мелкодисперсные аэрозольные частицы активно участвуют в процессах конденсации влаги и облакообразования, массопереноса веществ твердой и жидкой фазы, изменения радиационного баланса Земли, оказывают значительное влияние на состояние экосистемы и климат [3]. В масштабах нескольких лет при анализе влияния различных факторов на процессы опустынивания и изменения исследуемой территории, как источника аэрозоля атмосферы при ветровом перевеивании песков, важно понимать механизм обновления состава подвижных частиц, благодаря которым возможен дальнейший рост ряби. При исследовании движении воздушного потока около эоловых форм рельефа выделяют зоны в приземном слое с различной динамикой [4]. Определяют их влияние на возникновение турбулентных структур [5], усиление эрозии [6], изменение вертикального профиля скорости ветра около препятствий [7], возникновение микрорельефа за счет неравномерности потока сальтации [8], разделение воздушного потока на вершине [9] и возникновение зоны рециркуляции на подветренном склоне [10].
Расстояние, пролетаемое частицей от вершины до момента падения на подветренной стороне дюны, и скорости осаждения частиц на подветренном склоне зависят от их размера [11]. Эоловый рельеф влияет на изменение массового потока [12], усиливается ближе к вершине на наветренном склоне [10], при удалении от вершины со стороны подветренного склона экспоненциально ослабляется [11]. Флуктуации давления в приповерхностном слое связаны с напряжением сдвига [13], которое максимально на вершине эоловых структур по отношению к другим точкам поверхности в окрестности. Изменение пульсационных составляющих скорости и величины напряжения сдвига связывается с кривизной обтекаемой поверхности [14]. Соответственно, при движении вверх по наветренному склону происходит возрастание пульсаций, а вблизи вершины уменьшение [12]. Увеличение размеров зоны рециркуляции в области аккумуляции частиц на подветренном склоне [15] запирает восходящие потоки на вершине [16]. Отмечается также изменение условий ветрового выноса в зависимости от времени суток, углов поворота дюны к потоку [17]. При движении вверх по наветренному склону уменьшается доля отрываемых частиц [18] вместе с динамической скоростью, так как поток сальтации влияет на профиль скорости ветра [19]. Срываемые с вершины частицы пролетают над подветренным склоном некоторое расстояние до падения. В результате образуется область аккумуляции частиц [11]. При ветровой эрозии частицы пыли выбрасываются из почвы в результате аэродинамического подъема [1], дезагрегации и сальтационной бомбардировки поверхности. Частицы песка при достижении некоторого критического (порогового) значения скорости ветра движутся в приповерхностном слое скачкообразно, ударившись о поверхность, могут отскочить вновь, перекатиться или выбить другие частицы. Такой процесс сальтации характерен для частиц размерами 70–300 мкм и наблюдается в слое высотой до 20 см [20].
Сальтационный поток частиц связан нелинейной зависимостью с динамической скоростью трения: ${{u}_{*}} = \sqrt {\tau \rho } $, где $\tau \approx K\rho \tfrac{{\partial \overline {{{U}_{x}}} \left( z \right)}}{{\partial z}}$ – напряжение сдвига ($K = \kappa u{\text{*}}z$ [21] – коэффициент турбулентной вязкости), $\rho $ – плотность воздуха. Средняя величина вертикального градиента горизонтальной составляющей скорости зависит от интенсивности потока сальтирующих частиц [22]: $\tfrac{{\partial {{U}_{x}}\left( z \right)}}{{\partial z}}$ = = $\tfrac{1}{{\kappa z}}\sqrt {u_{ * }^{2} - \tfrac{{{{\tau }_{p}}\left( z \right)}}{\rho }} $, где ${{\tau }_{p}}\left( z \right)$ = $\phi \left( z \right)\Delta {{v}_{x}}\left( z \right)$, $\phi \left( z \right)$ – массовый поток частиц на высоте z, $a{{v}_{x}}\left( z \right)$ – разница между средними скоростями нисходящих и восходящих частиц. Вынос частиц в установившемся режиме определяется разбрызгиванием с углами вылета, близкими к углу падения, а не аэродинамическим подъемом при превышении критической динамической скорости ${{u}_{*}}$ [23]. В результате контактного взаимодействия сальтирующих крупных частиц размерами от 70 до 300 мкм происходит откалывание (фрагментация) микрочастиц (микрометры и доли микрометров) [24].
Отмечается также квазипериодическое изменение со временем концентрации сальтирующих частиц [25], связанное, по всей видимости, с неоднородностями эолова (созданного ветром) микрорельефа.
Массовый поток [26] и энергия сальтирующих частиц [27] влияют на скорость абразии (стирания). Интенсивность процесса стирания частиц при ветровом воздействии с генерацией микроаэрозоля микронного размера зависит от типа почвы (песка) [27]. Для материала, продуваемого однонаправленным воздушным потоком, характерно измельчание размеров откалываемых частиц [28]. Интенсивность откалывания снижается при увеличении доли мелких частиц [29]. Скорость обновления состава слоя частиц, участвующих в перемещениях под влиянием ветра, влияет на генерацию крупной фракции аэрозоля при откалывании, так как задействуются более крупные частицы неправильной формы. Частицы микронного размера всегда присутствуют и возникают в сальтационном потоке [30].
Достаточно медленные процессы откалывания [31] следует рассматривать совместно с агрегацией [24]. Мелкие частицы удерживаются на поверхности более крупных частиц силами Ван-дер-Ваальса и электростатической природы [32], которые обратно пропорциональны величине зазора между поверхностями частиц и прямо пропорциональны их размеру [1]. Считается, что распределение микрочастиц по размерам на небольшой высоте в целом отражает соотношение долей генерируемой пыли по размерам [33].
Распределения по размерам для генерируемых микрочастиц зависят от скорости падения сальтирующих частиц [34] и направления воздушного потока [35].
Несмотря на известные проявления влияния эолова рельефа на процессы генерации минерального аэрозоля [35] в явном виде этот фактор не учитывается при оценках и моделировании пылевого выноса [36, 34 ]. В настоящей работе получены аналитические оценки условий генерации микрочастиц при разной ориентации дюн по отношению к ветру, сопоставляемые с эмпирическими данными, полученными в экспедиционных исследованиях ИФА им. А.М. Обухова РАН на территориях Прикаспийской низменности (Калмыкия) в период 2010–2020 гг.
В первом разделе приведено описание местности проведения измерений, используемая аппаратура и методика.
Во втором разделе приведено описание наблюдаемых на территории процессов ветрового переноса, связываемых с изменением направления ветра, приведены результаты анализа выбранных экспериментальных данных. Выделяется два типа распределения для касательного и лобового направления ветра по отношению к линии стыка наветренного и подветренного склонов эоловых структур типа дюн. Обсуждается связь направления ветра с сопротивлением поверхности и наличием эоловых структур второго рода.
В третьем разделе получены аналитические оценки наблюдаемого распределения аэрозоля по размерам. Описаны два возможных механизма генерации аэрозоля мелкой и крупной фракции в зависимости от размера подвижных частиц в слое.
В четвертом разделе получены аналитические кривые для распределений микрочастиц, учитывающие два возможные механизма генерации микроаэрозоля мелкой и крупной фракции. Параметры для кривых подобраны с учетом эффектов изменения направления ветра по отношению к эоловым структурам: изменение скоростей падения сальтирующих частиц и перемещения у поверхности крупных массивных частиц и эффект разбрызгивания при изменении угла наклона поверхности.
1. МЕТОДЫ НАБЛЮДЕНИЯ
Комплексные экспедиционные исследования процессов выноса минеральных аэрозолей в аридных и полуаридных условиях на территории республики Калмыкия начали проводиться ИФА им. А.М. Обухова РАН с конца 90-х гг. [37]. Сводный анализ результатов измерений приводится, в частности, в [38–41].
В целом, этот регион (Прикаспийская низменность) является полупустынной территорией с присутстсвием обширных участков песков со сформированным устойчивым дюнным рельефом. Встречаются большие высохшие соленые озера и солончаки. Выбранный для измерений (начиная с 2011 г.) дюнный участок, расположенный в 5 км к западу от пос. Нарын Худук, имеет примерно широтную протяженность около 1.5 км и ширину 200–250 (300) м (рис. 1). В разрезе песок дюны представлен горизонтальными и параллельно наклоненными слоями разной толщины 0.5–5 см. Горизонтальные слои появляются из-за чередования различных фракций при воздействии ветра на наветренный склон и процессов осыпания. Более тяжелые и крупные частицы дольше остаются в слое, не участвуют в пылении при формировании эоловых структур. Наклоненные слои возникают за счет процессов осыпания струями на подветренном склоне, которые несут более тяжелую укладку (круто падающая слоистость) [42].
Рис. 1.
Географическое расположение участка подвижных песков с ориентацией по сторонам света (верхний рисунок) и ориентация линий стыка наветренного и подветренного склонов.

Концентрация пылевого аэрозоля измерялась на двух уровнях (0.5 и 2.0 м) с помощью лазерного аэрозольного спектрометра (ЛАС-П, модель 9814.290.000, спроектированного и изготовленного в НИФХИ им. Л.Я. Карпова (Москва), 9 каналов 0.15–1.5 мкм) и оптического счетчика частиц Royco (модель 220, прибор Royco, Inc, Менло-Парк, Калифорния, 9 каналов 0.5–15 мкм). Аэрозольный спектрометр ЛАС-П позволяет определять распределение частиц по размерам в диапазоне от 0.15 до 1.5 мкм в средах, характеризующихся концентрациями частиц до 2 × 10–3 cм. Максимальные относительные погрешности определения объема проб воздуха и размера частиц и их концентрации составляют ±5 и ±10% соответственно. Многоканальное распределение размеров имело следующие диапазоны для ЛАС-П: 0.15–0.2, 0.2–0.25, 0.25–0.3, 0.3–0.4, 0.4–0.5, 0.5–0.7, 0.7–1.0, 1.0–1.5, >1.5 мкм. Счетчик аэрозолей ОЭАС-05 (также изготовленный в НИФХИ им. Л.Я. Карпова) позволяет определять распределение частиц по размерам в диапазоне от 0.2 до 5.0 мкм в среде, характеризующейся концентрациями частиц до 4 × 103 cм–3. Максимальные относительные погрешности определения объема проб воздуха и размера частиц и их концентрации составляют ±5 и ±10% соответственно. Многоканальное распределение размеров имело следующие диапазоны: 0.2–0.3, 0.3–0.4, 0.5–0.7, 0.7–1.0, 1.0–2.0, 2.0–3.0, 3.0–5.0, >5.0 мкм. Параллельно проводились сопутствующие измерения метеопараметров: температуры почвы; температуры воздуха и скорости ветра на уровнях 2 и 10 м, давления, влажности, падающей и отраженной радиации.
Рис. 2.
Распределение микрочастиц по размерам при лобовом (а) и касательном (б) направлениях потока.

Рассматриваемая территория песков локализована, структура рельефа имеет почти параллельные элементы (основные гребни дюн), эоловые структуры второго рода типа ряби и представляет собой практически идеальный природный полигон для исследований влияния изменения направления ветра на ветровой вынос и эмиссию пылевого аэрозоля.
2. ВЛИЯНИЕ ИЗМЕНЕНИЯ НАПРАВЛЕНИЯ ВЕТРА НА РАСПРЕДЕЛЕНИЕ КОНЦЕНТРАЦИЙ ЧАСТИЦ
Преобладающее восточное направление ветра, конечность размеров и формы позволяет использовать данные локальных измерений с расположением оборудования в центральной части для оценок общего вклада территориального комплекса в состав аэрозолей атмосферы. В западной части массива незакрепленных песков склоны менее пологие и больше перепад высот, чем на восточном. По снимку со спутника определены линии вершин хребтов. Плотность покрытия дюнами больше в центральной части, чем на восточном или западном краю массива. По краям массива имеются углубления по форме, напоминающей кратер. Дюнные гряды ассиметричны. У большинства из них западный склон более крутой, чем восточный. Эоловые структуры типа дюны высотой от 0.5 до 3 м и рябь высотой 1–5 см с расстояниями между гребнями 5–30 см в зависимости от места расположения на дюне и их высоты. На наветренном менее пологом склоне крупных эоловых структур высотой 0.5–3 м имеются множественные формы второго порядка.
В 2020 г. отмечались следующие метеоусловия. Наблюдался преимущественно умеренный ветер с малыми вариациями скорости. При незначительных относительных изменениях влажности, температуры и скорости ветра существенным образом отличались значения концентрации, что, вероятно, связано с изменением направления ветра. Если 25.07.20 и 26.07.20 направление было преобладающе ENE (восток–северо-восток), то 27.07.20 направление ветра менялось чаще на NE (северо-восток), что определяло близость линий движения ветра и линий хребтов песчаных цепей (30°).
Эмиссия пыли зависит от особенностей конвективных движений в летнее время [43, 36 ]. Соответственно, для определения влияния ветра на процесс ветрового выноса выбраны данные наблюдений в вечернее время, когда конвективные потоки ослабевают. Рассматривались дни с близкими значениями температуры воздуха (30–35°С) и скорости ветра (4.5–6.8 м/с) на многолетнем участке длиной около 1.5 км в ширину 200–300 м незакрепленных песков в 5 км к западу от пос. Нарын Худук (Россия, за 2010–2020 гг.).
Из данных измерений в вечернее время выделяется два типа распределений по размерам: когда преобладает одно направление ветра по отношению к линии стыка наветренного и подветренного склонов (рис. 1): при касательном движении потока (ENE – восток–северо-восток, SW – юго-запад) и при лобовом направлении потока (ESE – восток–юго-восток, E – восток, WSW – запад–юго-запад). Следует обратить внимание, что получаемое распределение частиц по размерам соответсвует случаю, когда материал, подверженный ветровому воздействию, обогащен мелкими частицами [34, 44, 27 ].
В табл. 1 приведены усредненные в интервале времени от 17:00 до 20:00 данные по выбранным дням с близкими значениями температуры и скорости ветра: процентное соотношение по времени наблюдаемого направления ветра, относительное к средней гребневой линии дюнного узора направление ветра, средняя температура воздуха, средняя скорость ветра, средняя суммарная массовая концентрация измеряемых микрочастиц PM 5.0 в мкг/м3 по всем каналам . Массовая концентрация определялась в предположении о сферической форме частиц для плотности ${{\rho }_{p}} = $ = 2.0 г/м3. Радиус частиц взят средний по диапазону размеров канала – соответственно: 0.175, 0.225, 0.275, 0.35, 0.45, 0.6, 0.8, 1.25 мкм для счетчика ЛАС и 0.25, 0.35, 0.6, 0.75, 1.5, 2.5, 4.0 мкм для ОЭАС-05.
Таблица 1.
Усредненные в интервале времени от 17:00 до 20:00 данные по выбранным дням с близкими значениями температуры и скорости ветра
| Дата | WD | WDrel, град | Tair, °C | V, м/с | PM 5.0 |
|---|---|---|---|---|---|
| 28.07.20 | 60% NE NE + ENE | 0–10 | 30.1 | 7.3 | 490.9 |
| 23.07.20 | 53% W, 27% WSW | 40–50 | 31.1 | 5.5 | 449.0 |
| 25.07.20 | 83% ENE от NE + ENE | 40–50 | 32.0 | 6.5 | 282.9 |
| 26.07.20 | 92% ENE от NE + ENE | 40–50 | 31.8 | 6.4 | 590.9 |
| 27.07.20 | 57% ENE от NE + ENE | 40–50 | 30.7 | 6.2 | 100.4 |
| 21.07.11 | 85% ESE от SE + ESE | 70–80 | 36.0 | 7.6 | 2275.3 |
| 21.07.11 | 74% ESE от SE + ESE | 70–80 | 30.5 | 7.3 | 2840.8 |
| 24.07.13 | 80% ESE от SE + ESE | 70–80 | 32.0 | 4.2 | 82.3 |
| 26.07.13 | 57% ESE от E + ESE | 70–80 | 25.2 | 7.3 | 32.0 |
| 24.07.20 | 56% ESE, 17% ENE | 70–80 | 31.5 | 3.7 | 67.6 |
| 30.07.20 | 81% ESE от E + ESE | 70–80 | 32.0 | 6.1 | 380.2 |
| 31.07.20 | 53% ESE от E + ESE | 70–80 | 30.3 | 6.8 | 269.1 |
Пояснения к таблице 1: WD – Направление ветра; ENE – восток–северо-восток, NE – северо-восток, E – восток, SE –юго-восток, ESE – восток–юго-восток; WDrel – направление ветра относительно средней линии гребня дюнных гряд (град); Tair – температура воздуха на высоте 2 м в °C; V – скорость ветра на высоте 2 м в м/с.
Суммарное число частиц при лобовом направлении потока в целом выше, чем при касательном (рис. 1). Наблюдается характерная степенная зависимость $N \sim {{d}^{\chi }}$, где $\chi $ при лобовом направлении –5.5, а при касательном –5.0 для микрочастиц, меньших 0.5–0.8 мкм (мелкая фракция) (см. также [45]). Для больших (крупная фракция) соответственно –1.4 и –0.9 19.07.2013, 20.07.2013, 21.07.2013, 30.07.20 и 31.07.20. Когда преобладающее направление ветра явно определить трудно, кривые можно отнести к обоим видам распределений (табл. 1), в связи с чем они отнесены к более подходящему по типу распределения.
Наблюдаемые различия в данных распределений микрочастиц по размерам при близких метеоусловиях и изменении направления ветра связаны, вероятнее всего, с влиянием рельефа на ветровой вынос и эмиссию микрочастиц.
Касательное движение потока ветра по более ровной поверхности вдоль склонов и элементов ряби происходит с меньшим сопротивлением. Уменьшается сдвиговая скорость и вероятность первоначальной ветровой инициации перемещения частиц. Из-за больших углов падения сальтирующих частиц для лобового направления ветра усиливается эффект разбрызгивания (вторичные подскоки частиц поверхности после падения другой). На перенос частиц при лобовом направлении в большей мере, нежели для касательного, расходуется энергия потока. Число генерируемых микрочастиц для чисто касательного направления ветра при 0° ниже, чем при меньшем ветре под углом 40°–50° (табл. 1).
На рис. 3 представлены зависимости динамической скорости, определяемой как ${{u}_{*}} = \sqrt {{\tau \mathord{\left/ {\vphantom {\tau \rho }} \right. \kern-0em} \rho }} $, от числа фиксируемых микрочастиц размерами 0.2–0.3 и 3–5 мкм при лобовом и касательном направлениях ветра. Данные получены для тех же дней, что и распределения по размерам, представленные на рис. 1. Каждая точка определена средним значением величины динамической скорости и концентраций частиц в указанном диапозоне размеров в вечернее время (с 17:00 до 21:00). С учетом связи потока сальтации с динамической скоростью получаем, что при лобовом направлении генерация мелкой и крупной фракций микрочастиц ослабляется с увеличением динамической скорости и потока сальтации, а при касательном – усиливается. Увеличение сопротивления поверхности при лобовом направлении за счет наличия на ней перпендикулярно расположенных элементов ряби приводит к усилению эффекта разбрызгивания и увеличению числа частиц, перемещающихся у поверхности. Энергия потока расходуется на захват частиц и микроциркуляции вблизи эоловых форм второго порядка. Равномерное и более упорядоченное движение потока сальтирующих частиц, как при меньших динамических скоростях при лобовом направлении и при касательном направлении, усиливает генерацию мелкой фракции микрочастиц.
3. ОТКАЛЫВАНИЕ ИЛИ СТРЯХИВАНИЕ МИКРОЧАСТИЦ ДЛЯ ДВУХ ВАРИАНТОВ ДИНАМИКИ ДВИЖЕНИЯ
Несмотря на то, что процессы абразии относительно медленные, скорость эмиссии микрочастиц в условиях умеренного и слабого ветра может способствовать их накоплению в слое перемещающихся песчаных частиц. Ниже мы приводим оценки для двух типов генерации свободных микрочастиц в воздухе: в результате стряхивания прилипших на поверхности и в результате откалывания. Рассмотрим влияние передвижения сальтирующих и перемещающихся частиц размерами 70–300 мкм у поверхности для оценки генерации микрочастиц размерами порядка микрометра (рис. 4). Отдельные микрочастицы, прикрепленные на поверхности крупных частиц, удерживаются силами Ван-дер-Ваальса и электростатической природы. Для них характерна обратная пропорциональность величине зазора между поверхностями частиц и прямая пропорциональность их радиусу частиц $r$ [1] $\tfrac{r}{\delta }$, определяется величиной силы Лондон-ван-дер-Ваальса ${{F}_{a}} = {{C}_{a}}r$ [46], где ${{C}_{a}} = 0.0024$ Н/м.
Генерация аэрозоля откалыванием при падении сальтирующих частиц на поверхность зависит от силы давления на поверхность ${{F}_{p}}$, определяемого изменением импульса [26]:
где $\delta $ – расстояние между поверхностями взаимодействующих частиц, $\rho $ – плотность воздуха, $u$ – скорость движения частиц, ${{\rho }_{p}}$ – плотность материала частиц. Передаваемый импульс от падающей частицы частице на поверхности происходит при нецентральном ударе. Частица массой ${{m}_{p}}$ движется под углом $\alpha $ (рис. 4), от которого зависит величина передаваемого импульса частицам на поверхности $\Delta ({{m}_{p}}{{{\mathbf{u}}}_{p}})$, определяемого разностью первоначального импульса до падения ${{m}_{p}}{{{\mathbf{u}}}_{p}}$ и импульса после касания с поверхностью ${{m}_{p}}{\mathbf{u}}_{p}^{'}$ за счет уменьшения скорости движения от ${{{\mathbf{u}}}_{p}}$ до ${\mathbf{u}}_{p}^{'}$ при ее отскакивании: ${{m}_{p}}{{{\mathbf{u}}}_{p}} = {{m}_{p}}{\mathbf{u}}_{p}^{'} + \Delta ({{m}_{p}}{{{\mathbf{u}}}_{p}})$. Сила давления максимальна для отвесного падения при $\alpha = $ 90°. Будем рассматривать плотноуложенный слой частиц. Тогда можно полагать, что импульс передается частицам главным образом за счет вертикальной составляющей скорости ${{u}_{{pz}}}$. Горизонтальная составляющая скорости определяет отскакивание частиц ${{u}_{{px}}}$ и не влияет на величину передаваемого импульса частицам на поверхности. Тогда величина модуля доли передаваемого импульса частицам на поверхности будет определяться разностью импульса падающей частицы, исключающей горизонтальное воздействие на слой: $\left( {1 - cos\alpha } \right)\Delta ({{m}_{p}}{{{\mathbf{u}}}_{p}})$. Доля импульса, передаваемого частицам на поверхности, зависит от угла падения частицы и минимальная для перемещающихся у поверхности или перекатывающихся частиц.Для аэрозоля, удерживаемого на поверхности частицы, доля импульса ${{\zeta }_{d}}$ передается ${{n}_{\mu }}$ песчинкам на поверхности, которые стряхиваются при выполнении условия баланса сил (давления и Ван-дер-Ваальса) (1) и ${{F}_{a}} = {{C}_{a}}{{r}_{\mu }}$ для микрочастиц радиусами ${{r}_{\mu }}$:
(2)
$\left( {1 - cos\alpha } \right){{\zeta }_{d}}\frac{{{{\rho }_{p}}\pi {{r}^{3}}{{u}^{2}}}}{\delta } = {{n}_{\mu }}{{C}_{a}}{{r}_{\mu }},$так как число микрочастиц на поверхности одной крупной частицы приближенно можно определить отношением площадей поверхности ${{n}_{{\mu 1}}} = \tfrac{{{{r}^{2}}}}{{r_{\mu }^{2}}}$, то (2) примет вид:
(3)
$\left( {1 - cos\alpha } \right){{\zeta }_{d}}\frac{{{{\rho }_{p}}\pi r{{u}^{2}}}}{\delta } = \frac{{{{C}_{a}}}}{{{{r}_{\mu }}}},$откуда
(4)
$r = \frac{1}{{{{r}_{\mu }}}}\frac{{\delta {{C}_{a}}}}{{{{\rho }_{p}}\pi {{u}^{2}}\left( {1 - cos\alpha } \right){{\zeta }_{d}}}}.$То есть размер стряхиваемых микрочастиц обратно пропорционален радиусу перемещающихся частиц ${{r}_{\mu }} \sim \tfrac{1}{r}$.
Для числа микрочастиц на поверхности, получаем
откуда
(5)
${{n}_{{\mu 1}}} = \mathop {\left[ {\frac{{\delta {{C}_{a}}}}{{{{\rho }_{p}}\pi r_{\mu }^{2}{{u}^{2}}\left( {1 - cos\alpha } \right){{\zeta }_{d}}}}} \right]}\nolimits^2 .$Число откалываемых микрочастиц обратно пропорционально их радиусу в степени 1/4: ${{n}_{\mu }} \sim \tfrac{1}{{{{{\left( {{{r}_{\mu }}} \right)}}^{4}}}}$.
Далее рассмотрим механизм генерации микрочастиц в результате откалывания от массивной частицы. Прочность материалов при различных воздействиях зависит от упругих свойств, то есть сила воздействия определяет размер откалываемых элементов. Так как величина предела прочности определяется отношением силы воздействия к площади: $W = \tfrac{F}{{{{s}_{\mu }}}}$ (${{s}_{\mu }}$ – площадь поверхности микрочастицы), а предел прочности для кварца $W$ – известная величина (4.8 МПа), при увеличении силы давления на поверхность при падении или проскальзывании частицы, размер откалываемых частиц пропорционален корню воздействующей силы: ${{r}_{\mu }} \sim \sqrt {{{F}_{P}}} $ [47]:
Подставляя выражение (1) в (5), получаем:
откуда
(7)
$r = \sqrt[3]{{\frac{{Wr_{\mu }^{2}}}{{\left( {1 - cos\alpha } \right){{\zeta }_{d}}}}\frac{\delta }{{{{\rho }_{p}}\pi {{u}^{2}}}}}}{\kern 1pt} .$Для процессов откалывания характерно соотношение для радиуса подвижных частиц и размера откалываемых фракций вида: $r \sim r_{\mu }^{{{2 \mathord{\left/ {\vphantom {2 3}} \right. \kern-0em} 3}}}$. Тогда для числа откалываемых частиц получаем:
(8)
${{n}_{{\mu 1}}} = \sqrt[3]{{\frac{W}{{\left( {1 - cos\alpha } \right){{\zeta }_{d}}r_{\mu }^{4}}}\frac{\delta }{{{{\rho }_{p}}\pi {{u}^{2}}}}}},$то есть обратно пропорционально их радиусу в степени 4/3: ${{n}_{\mu }} \sim \tfrac{1}{{{{r}_{\mu }}^{{4/3}}}}$.
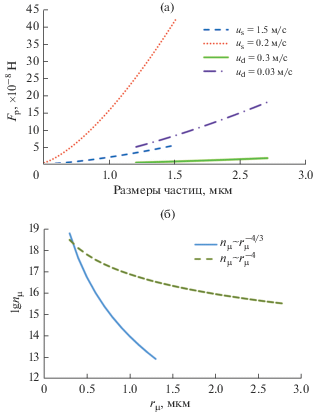
Из соотношения (5) оценки размеров откалываемых микрочастиц видно, что их генерация возможна при воздействии силы давления, превышающей ${{n}_{{\mu 1}}}{{C}_{a}}{{r}_{\mu }}$, что для частиц микронного размера близко к величине порядка $2 \times {{10}^{{ - 7}}}$ Н. Из рис. 5а видно, что откалывание возможно при движении сальтирующих частиц со скоростью ${{u}_{s}}$ радиусом больше 70 мкм. При перемещении крупных частиц по поверхности со скоростью ${{u}_{d}}$ откалывание маловероятно, однако возможно стряхивание прилипших к поверхности микрочастиц. Процесс генерации микроаэрозоля при откалывании более медленный, чем процесс стряхивания. При оценках числа откалываемых или стряхиваемых частиц учитывалось число касаний поверхности плотноуложенного слоя при движении понаветренному склону. Механизм стряхивания для указанных условий скоростей возможен в большей мере для относительно крупных, участвующих в движении частиц у поверхности, углы падения минимальны, удар при касании нецентральный. Сальтирующие частицы, падающие на поверхность с большими углами, оказывают воздействие на целостность структуры подвижных частиц, особенно при падении за подветренным склоном. Это в большей степени способствует откалыванию микрочастиц.
Рис. 5.
Зависимость силы давления частицы на поверхности при падении от размера в мкм (а) и зависимость числа генерируемых микрочастиц от радиуса (б).

На рис. 6 приводятся зависимости для двух вариантов генерации микрочастиц для первоначальных параметров типа “случай 1”: ${{u}_{s}} = 0.1$ м/с, ${{u}_{d}} = 0.01$ м/с, $\alpha = $ 30°. Кривые для случаев 2 и 3 соответсвуют значениям указанных параметров, увеличенных на 10–20% относительно случая 1. Так как $r\left( {{{r}_{\mu }}} \right)$ получено, исходя из уравнения баланса сил, область пересечения кривых (4) и (7) на рис. 6 при ${{r}_{{\mu 0}}}$ соответствует смешанному сценарию откалывания–стирания. С учетом соотношения сил получаем, что стряхивание (стирание) усиливается при $r - r\left( {{{r}_{\mu }}} \right) > 0$ для мелкой фракции микрочастиц ${{r}_{\mu }} < {{r}_{{\mu 0}}}$, а откалывание при $r - r\left( {{{r}_{\mu }}} \right) < 0$ для крупной фракции откалываемых частиц ${{r}_{\mu }} > {{r}_{{\mu 0}}}$. Пересечение и наклон кривых меняются в зависимости от угла падения частиц, от скоростей падения сальтирующих и скоростей перемещения массивных частиц. Это влияет на распределение по размерам для генерируемых микрочастиц. Чем больше давление, тем больше размер генерируемой микрочастицы. Более крупные микрочастицы будут генерироваться при падении сальтирующих частиц, особенно с высоты холма, когда скорость максимальна. Мелкие микрочастицы генерируются при перекатывании и перемещении у поверхности массивных частиц. Соотношения для размеров подвижных частиц и микрочастиц позволяют далее провести оценку распределения микрочастиц по размерам с учетом двух механизмов генерации из предыдущего раздела.
Рис. 6.
Соотношение между размерами микрочастиц и перемещающихся частиц для двух вариантов генерации микроаэрозоля по формулам (4) и (7). Cлучай 1: ${{u}_{d}} = $ 0.01 м/с, ${{u}_{s}} = $ 0.2 м/с, $\alpha = 30^\circ $; случай 2: ${{u}_{d}} = $ 0.011 м/с, ${{u}_{s}} = $ 0.2 м/с, $\alpha = 30^\circ $; случай 3: ${{u}_{d}} = $ 0.01 м/с, ${{u}_{s}} = $ 0.25 м/с, $\alpha = 30^\circ $; случай 4: ${{u}_{d}} = $ 0.01 м/с, ${{u}_{s}} = $ 0.2 м/с, $\alpha = 45^\circ .$

По оценкам из соотношений для сил Стокса и тяжести при условии, что частица замедляется в зоне рециркуляции над подветренным склоном (рис. 7a), скорость падения ${{u}_{s}}$ для характерной длины сальтации увеличивается на 25% для лобового направления по отношению к касательному. Предполагая, что в момент отрыва от вершины частица движется преимущественно горизонтально со скоростью ${{u}_{x}}$ = ${{u}_{{x0}}}$, под действием силы тяжести опускается и замедляется ее горизонтальная составляющая скорости под действием силы Стокса ${{F}_{C}} = 6\pi \mu ru$, попадая в центр области рециркуляции над подветренным склоном, где воздушные потоки имеют меньшие скорости. Происходит ее замедление в горизонтальном направлении и ускорение за счет силы тяжести в вертикальном от нулевой скорости до величины ${{u}_{z}}$ = ${{u}_{{zs}}}$. Рассматривая изменение горизонтальной и вертикальной составляющей скоростей отдельно, можно получить положение частицы в каждый каждый момент времени из уравнений:
откуда получаются координаты расположения падающей частицы:
Для характерных скоростей сальтирующих частиц оценка длины вылета $X = L$ до момента замедления при ${{u}_{x}} = 0$ соответсвует величине порядка 5–10 см, то есть для эоловых форм рельефа типа дюн, частицы, срываемые с вершины, падают на подветренный склон. Поэтому значение $L$ можно использовать для определения вертикальной составляющей скорости падающей частицы с высоты $Z$. Тогда
Для угла наклона подветренного склона ${\text{tg}}\beta = \tfrac{H}{L}$ находим точку падения частицы на поверхность. Отсюда
Относительное изменение угла наклона поверхности при смене направления ветра можно показать из соображений геометрии (рис. 7б). Длина наветренного склона $a$ увеличивается за счет изменения ориентации относительно перпендикулярной: $a{\kern 1pt} ' = \tfrac{a}{{\cos \gamma }}$, уменьшается угол наклона поверхности на величину $\beta - \beta {\kern 1pt} ' = arcsin\left( {\tfrac{h}{a}} \right) - arcsin\left( {\tfrac{h}{{a{\kern 1pt} '}}} \right)$.
Если угол наклона подветренного склона уменьшается, то зона рециркуляции отдаляется от вершины и уменьшается в размерах. В таком случае, в момент отрыва от вершины частица сохраняет величину горизонтальной составляющей скорости. Под действием силы тяжести увеличивается вертикальная составляющая скорости ${{u}_{z}} = - \tfrac{g}{{\tfrac{{{{u}_{{x0}}}}}{X} - \tfrac{{6\pi \mu r}}{{{{m}_{p}}}}}}$.
Количество перемещающихся у поверхности частиц увеличивается при наличии эффекта разбрызгивания. Так как угол наклона наветренного склона по отношению к горизонту больше при лобовом движения, чем при касательном, скорость ${{u}_{d}} = 0.01$ м/с будет выше. Угол падения частиц на поверхность $\alpha $ также связывается с изменением углов наклона поверхности эоловой структуры, что в пределе составляет около 10°. Движение сальтирующих и перемещающихся у поверхности более крупных частиц влияет на процесс генерации пылевого аэрозоля. Изменение направления ветра меняет условия выноса и осаждения частиц, что определяет соотношения по числу генерируемых микрочастиц. Изменение направления ветра с лобового на касательное из-за особенностей формы эоловых структур определяет возникновение следующих эффектов.
1. Увеличивается длительность перемещения частиц по наветренному склону.
2. Уменьшается относительная высота, с которой падают срываемые с вершины сальтирующие и перемещающиеся у поверхности частицы.
3. Возможно ускорение частиц, движущихся над подветренным склоном при отступе или смещении зоны рециркуляции относительно вершины.
4. Уменьшается ширина зоны аккумуляции. Задействуются крупные частицы неправильной формы.
5. Оказываются более пологими (уменьшаются) углы наветренного и подветренного склонов.
4. РАСПРЕДЕЛЕНИЕ ГЕНЕРИРУЕМЫХ МИКРОЧАСТИЦ ПО РАЗМЕРАМ
Характерный для размеров частиц пустынь логнормальный закон для распределения частиц поверхности по размерам для оценок возможного распределения микрочастиц по размерам [30]:
(9)
$f\left( x \right) = \frac{{0,43429}}{{{{\sigma }_{{lgx}}}x\sqrt {2\pi } }}exp\left[ { - \frac{{\mathop {\left( {lgx - lg{{x}_{0}}} \right)}\nolimits^2 }}{{2\sigma _{{lgx}}^{2}}}} \right],$С учетом (4) и (6), связывающих число частиц с радиусами микрочастиц, получаем для ${{n}_{\mu }}$ соотношения вида:
(10)
${{n}_{\mu }} = \left\{ \begin{gathered} {{A}_{1}}r_{\mu }^{{ - 4}}f\left( r \right),\,\,\,\,{{r}_{\mu }} < {{r}_{{\mu 0}}} \hfill \\ {{A}_{2}}r_{\mu }^{{ - 4/3}}f(r),\,\,\,{{r}_{\mu }} > {{r}_{{\mu 0}}} \hfill \\ \end{gathered} \right.,$Вид распределения (10) для числа стряхиваемых и откалываемых частиц меняется в зависимости от параметров: скорости перемещения по наветренному склону массивных частиц ${{u}_{d}}$, скорости осаждения сальтирующих частиц ${{u}_{s}}$, доли передаваемого микрочастицами импульса ${{\zeta }_{d}}$ при падении и прочих. Эти величины могут варьироваться в широких пределах и влияют на характер распределения. Приведенные оценки могут быть использованы для определения интенсивности генерации микроаэрозоля при изменении направления ветра.
Теоретически полученное соотношение распределения сравнено с данным измерений (рис. 8). Распределение определено кусочно-заданной функцией (10), определяющей наличие двух типов генерации микрочастиц: в результате стирания (${{f}_{1}} \sim r_{\mu }^{{1/4}}$) и в результате откалывания (${{f}_{2}} \sim r_{\mu }^{{4/3}}$).
Рис. 8.
Распределение микрочастиц по размерам для лобового (а) и касательного (б) направлений ветра, полученные из (4) в сравнении с данными наблюдений. Параметры для (а) ${{u}_{d}} = $ 0.013 м/с, ${{u}_{s}} = $ 0.8 м/с, $\alpha = 35^\circ $, для (б) ${{u}_{d}} = $ 0.02 м/с, ${{u}_{s}} = $ 0.07 м/с, $\alpha $ = 30°.

Параметры подобраны таким образом, чтобы наиболее близко соответвовать значениям данных наблюдений. Наклон кривой ${{f}_{1}}$ становится больше с увеличением параметра ${{u}_{d}}$. Для касательного направления оно взято большим в связи с ослаблением сопротивления в виде эоловых структур второго порядка. Поведение кривой ${{f}_{2}}$ существенным образом зависит от параметра ${{u}_{s}}$. Максимум функции при увеличении ${{u}_{s}}$ смещается в сторону больших радиусов микрочастиц. Увеличение скоростей падения сальтирующих частиц на поверхность на подветренный склон для касательного направления ветра по отношению к лобовому может быть связан с одной из следующих причин:
– сохранение горизонтальной составляющей скорости в отсутвие зоны рециркуляции потока над подветренным склоном и плавного огибания склона в отличие от варианта с лобовым направлением при торможении частиц в зоне рециркуляции после отрыва от вершины;
– изменение типа распределения подвижных частиц по размерам за счет захвата из зоны акумуляции более крупных частиц неправильной формы (меняется не скорость падения, а масса частиц);
– влияние эоловых форм второго порядка на общий поток сальтирующих и перекатывающихся частиц, уменьшение энергии потока за счет разбрызгивания и большего захвата частиц при лобовом движении воздуха.
Угол падения частиц для касательного направления может быть выбран меньше, чем для лобового, так как наветренные и подветренные склоны для касательного направления становятся более пологими, а относительная величина угла падения по отношению к наклоненной поверхности уменьшается для наветренного склона. Для подветренного склона изменение наклонов поверхности влияет противоположным образом. Влияние угла будет определяться соотношением долей частиц, участвующих в генерации частиц на наветренном и подветренном склонах.
При лобовом направлении ветра можно выделить два режима генерации крупной фракции микрочастиц: отскакивания или разбрызгивания. На наклон кривой распределения ${{f}_{1}}$ для мелкой фракции частиц влияет величина доли импульса ${{\zeta }_{d}}$, передаваемого песчинкам на поверхности. При касательном направлении ветра характерно отскакивание при взаимодействии меджду подвижными частицами в результате проскальзывания. При таком варианте в отличие от прямого падения передается большая доля импульса микрочастицам, возможно, это говорит об электростатической природе эффекта стряхивания. Именно поэтому была отмечена обратная зависимость числа микрочастиц от динамической скорости.
ЗАКЛЮЧЕНИЕ
Распределение взвешенных в воздухе микрочастиц по размерам при ветровом переносе пыли эолового происхождения зависит от комплекса метеоусловий, в частности, от направления ветра. Распределения микрочастиц по размерам, определяемые по данным измерений, соответсвуют случаю, когда эродируемый материал обогащен мелкими частицами [34, 44, 27 ]. Это связано с преобладанием на территории, где проводятся замеры, спокойной ветровой обстановки с относительно медленной эмиссией микрочастиц. Перегиб кривой получаемых по данным распределений микрочастиц по размерам [45, 39, 40 ], вероятно, свидетельствует о наличии двух механизмов генерации аэрозоля, отличающихся по скорости.
Отметим, что в 2020 г. отмечалось существенное различие концентраций взвешенного аэрозоля в разные дни при близких скоростях ветра и температуре воздуха. Это показывает, что направление ветра может заметно влиять на процесс генерации пылевого аэрозоля. Для сравнения данных распределений выделены два типа направлений ветра по отношению к линии стыка наветренного и подветренного склонов: лобовое и касательное.
Эмиссия связывается с интенсивностью потока сальтации [33, 36, 48, 34 ]. Отмечается также перемещение или перекатывание частиц у поверхности без подскоков. Оценки силы давления для двух вариантов движения частиц показали, что генерация крупной фракции микрочастиц вероятна при подскоках сальтирующих частиц. Их размер пропорционален силе воздействия, а скорости падения сальтирующих частиц больше, чем у перекатывающихся у поверхности. Мелкая фракция преимущественно генерируется при перемещениях массивных частиц у поверхности без подскоков. При таком движении происходит стряхивание электростатически прилипших микрочастиц к поверхности крупных.
Так как при лобовом направлении ветра происходит фильтрация частиц по размерам, то на наветренном склоне остаются более мелкие частицы. На подветренном склоне при этом накапливаются более крупные. Изменение направления ветра приводит к сужению зоны аккумуляции на подветренном склоне с выносом вовне крупных частиц. Это влияет на тип распределения микрочастиц по размерам, увеличивая долю крупной фракции аэрозоля по отношению к случаю лобового направления с близкими значениями скорости ветра и температуры.
Наиболее ярко отражают влияние направления ветра на процессы генерации характер зависимости числа микрочастиц от динамической скорости. Для лобового направления с увеличением динамической скорости число микрочастиц уменьшается, а для касательного увеличивается. Это связано с влиянием эоловых структур второго рода на сопротивление поверхности, энергию воздушного потока, зависящую от числа задействованных в движении сальтирующих и перемещающихся частиц, наличие или отсутвие зоны рециркуляции.
Сальтирующие частицы подают на поверхность фронтально, создавая эффект разбрызгивания, более крупные частицы движутся с меньшими углами с отскоками и проскальзыванием. При изменении ориентации эоловой структуры по отношению к потоку ветра с касательного на лобовое наклоненная поверхность у наветренного склона усиливает разбрызгивание, а у подветренного ослабляет. Для касательного направления ветра в условиях меньшего сопротивления от эоловых структур второго порядка типа ряби генерируется меньшее число мелкой фракции микрочастиц. По этой же причине падение частиц в зоне аккумуляции при касательном направлении ветра приводит усилению процессов отказывания микрочастиц крупной фракции, так как задействуются более крупные частицы неправильной формы.
Над подветренным склоном возникают циркулирующие потоки, которые могут замедлять попадающие туда срываемые с вершины частицы. Для касательного направления ветра зона рециркуляции уменьшается или может отсутвовать, поэтому срываемые с вершины частицы движутся с большими скоростями, что также усиливает генерацию крупной фракции микрочастиц.
Эмпирические данные сопоставляются с аналитическими оценками распределения числа микрочастиц по размерам, генерируемых при стряхивании и откалывании, полученными для числа подвижных частиц, исходя из соотношения превышения пороговых скоростей. Распределение микрочастиц по размерам определяется кусочно-заданной функцией с двумя максимумами. Диапазоны генерируемых микрочастиц мелкой и крупной фракций отличаются для касательного и лобового направления ветра. Для лобового направления ветра меньше скорость перемещающихся по склону крупных частиц, чем для касательного. А скорости падения частиц с вершины на поверхность для касательного направления выше на порядок, что связано с преобладанием процессов откалывания на подветренном склоне и дополнительным разгоном в потоке частиц над подветренным склоном. Эффект разбрызгивания определен через параметр, определяющий долю передаваемого импульса микрочастицам, также увеличивается для лобового направления по отношению к касательному. На наветренном склоне усиливается процесс перемещения частиц, более активны процессы вторичной генерации, задействовано больше слоев в процесс перемещения, больше разнообразия размеров генерируемых частиц. Процесс захвата и переноса замедляется элементами вторичных эоловых структур типа ряби.
Проведенное сравнение выполнено для того, чтобы построить методику оценки проявления эффектов изменения вида распределения микрочастиц по размерам в зависимости от внешних условий. Комплекс подобных оценок для других метеоусловий позволит рассматривать территорию как источник эоловой пыли, интенсивность пыления которого в разной степени зависит от изменения метеопараметров.
Авторы благодарят В.А. Лебедева, Ю.А. Обвинцева, А.А. Хапаева и Б.А. Харцхаева (Комсомольский, Калмыкия) за помощь в организации и проведении натурных измерений.
Исследование выполнено при поддержке проекта Российского Научного Фонда (РНФ) 20-17-00214.
Список литературы
Shao Y. Physics and modelling of wind erosion. n. Springer Science & Business Media, 2008. 452 p.
D’Odorico P. Global desertification: drivers and feedbacks. advances in water resources // Adv. Water Resour. 2013. V. 51. P. 326–344.
Maher B.A., Prospero J.M., Mackie D. et al. Global connections between aeolian dust, climate and ocean biogeochemistry at the present day and at the last glacial maximum // Earth-Sci. Rev. 2010. V. 99. № 1–2. P. 61–97.
Michelsen B., Strobl S., Parteli E.J.R., Poschel T. Two-dimensional airflow modeling underpredicts the wind velocity over dunes // Sci. Rep. 2015. V. 5. № 1. P. 16572.
Dey S., Paul P., Padhi E. Conditional spatially averaged turbulence and dispersion characteristics in flow over two-dimensional dunes // Phys. Fluids. 2020. V. 32. № 6. P. 065106.
Brito PM., Ferreira A.D., Thiis T., Sousa A.C.M. Prediction of erosion intermittency using large eddy simulation // Geomorphology. 2020. V. 364. P. 107179.
Dupont S., Bergametti G., Simoens S. Modelling aeolian erosion in presence of vegetation // Procedia IUTAM. 2015. V. 17. P. 91–100.
Duran O., Claudin P., Andreotti B. Direct numerical simulations of aeolian sand ripples // Proceedings of the National Academy of Sciences. 2014. V. 111. № 44. P. 15665–15668.
Bennet S.J., Best J.L. Mean flow and turbulence structure over fixed, two-dimensional dunes: implications for sediment transport and bedform stability // Sedimentology. 1995. V. 42. № 3. P. 491–513.
Faria R., Ferreira A. D., Sismeiro J.L. et al. Wind tunnel and computational study of the stoss slope effect on the aeolian erosion of transverse sand dunes // Aeolian Research. 2011. V. 3. № 3. P. 303–314.
Anderson R.S. The pattern of grainfall deposition in the lee of aeolian dunes // Sedimentology. 1988. V. 35. № 2. P. 175–188.
Dong Z., Lu P., Zhang Z., Lu J. Aeolian transport over a developing transverse dune // J. Arid Land. 2014. V. 6. № 3. P. 243–254.
Emmerling R. The instantaneous structure of the wall pressure under a turbulent boundary layer flow // Mitteilungen aus dem Max-Planck Institut fur Stromungsforschung. 1973. № 9. P. 1–25.
Wang C. Realistic dune field surface stress prediction (technical report) // arXiv preprint arXiv:2004.05136. 2020.
Siminovich A., Elperin T., Katra I. et al. Numerical study of shear stress distribution over sand ripples under terrestrial and martian conditions // J. Geophys. Res.: Planets. 2019. V. 124. № 1. P. 175–185.
Chapman C.A., Walker I.J., Hesp P.A. et al. Turbulent reynolds stress and quadrant event activity in wind flow over a coastal foredune // Geomorphology. 2012. V. 151–152. P. 1–12.
Turpin C., Harion J.-L. Numerical modeling of flow structures over various flat-topped stockpiles height: Implications on dust emissions // Atmos. Environ. 2009. V. 43. № 35. P. 5579–5587.
Малиновская Е.А. Модель установления наветренного склона эоловой формы рельефа // Изв. РАН. Физика атмосферы и океана. 2019. Т. 55. № 2. С. 86–95.
Huang N., Shi F., Pelt R.S.V. The effects of slope and slope position on local and upstream fluid threshold friction velocities. earth surface processes and landforms // The J. British Geomorphological Research Group. 2008. V. 33. № 12. P. 1814–1823.
Greeley R., Iversen D.J. Wind as a Geological Process on Earth, Mars, Venus and Titan. Cambridge University Press, 1985. 333 p.
Stull R. B. Mean Boundary Layer Characteristics // An Introduction to Boundary Layer Meteorology. Springer Netherlands, 1988. P. 1–27.
Lammel M., Rings D., Kroy K. A two-species continuum model for aeolian sand transport // New Journal of Physics. 2012. V. 14. № 9. P. 093037.
Pahtz T., Duran O. Unification of aeolian and fluvial sediment transport rate from granular physics // Phys. Rev. Lett. 2020. V. 124. № 16. P. 168001.
Tatarko J., Kucharski M., Li H., Li H. Pm2.5 and pm10 emissions by abrasion of agricultural soils // Soil Tillage Res. 2020. V. 200. P. 104601.
Горчаков Г.И., Карпов А.В., Кузнецов Г.А., Бунтов Д.В. Квазипериодическая сальтация в ветропесчаном потоке на опустыненной территории // Оптика атмосферы и океана. 2016. Т. 29. № 6. С. 472–477.
Liu Y., Fang H., Huang L., He G. Numerical simulation of the production of three-dimensional sediment dunes // Phys. Fluids. 2019. V. 31. № 9. P. 096603.
Alfaro S. C., Gaudichet A., Gomes L., Maille M. Modeling the size distribution of a soil aerosol produced by sandblasting // J. Geophys. Res.: Atmos. 1997. V. 102. № D10. P. 11239–11249.
Jerolmack D.J., Reitz M.D., Martin R.L. Sorting out abrasion in a gypsum dune field // J. Geophys. Res.: Earth Surf. 2011. V. 116. № F2. P. F02003.
Rice M.A., McEwan I.K. Crust strength: a wind tunnel study of the effect of impact by saltating particles on cohesive soil surfaces // Earth Surf. Processes and Landforms. 2001. V. 26. № 7. P. 721–733.
Семенов О.Е. Введение в экспериментальную метеорологию и климатологию песчаных бурь. Физматкнига, Москва, 2020. 448 c.
Swet N., Kok J.F., Huang Y. et al. Low dust generation potential from active sand grains by wind abrasion // J. Geophys. Res.: Earth Surf. 2020. V. 125. № 7. P. e2020JF00554.
Козлов А.С., Анкилов А.Н., Бакланов А.М. Исследование механических процессов образования субмикронного аэрозоля // Оптика атмосферы и океана. 2000. Т. 13. № 06–07. С. 664–666.
Shao Y., Zhang J., Ishizuka M. et al. Dependency of particle size distribution at dust emission on friction velocity and atmospheric boundary-layer stability // Atmos. Chem. Phys. 2020. V. 20. № 21. P. 12939–12953.
Fernandes R., Dupont S., Lamaud E. Investigating the role of deposition on the size distribution of near-surface dust flux during erosion events // Aeolian Research. 2019. V. 37. P. 32–43.
Shao Y., Nickling W., Bergametti G. et al. A tribute to Michael R. Raupach for contributions to aeolian fluid dynamics // Aeolian Research. 2015. V. 19. P. 37–54.
Zhang Jie, Teng Zhenjiao, Huang Ning et al. Surface renewal as a significant mechanism for dust emission // Atmos. Chem. Phys. 2016. V. 16. № 24. P. 15517–15528.
Golitsyn G.S., Granberg I.G., Aloyan A E. et al. Study of emissions and transport of dust aerosol in Kalmykia Black Lands // J. Aerosol. Sci. 1997. V. 28. P. S725–S726.
Голицын Г.С., Андронова А.В., Виноградов Б.В. и др. Вынос почвенных частиц в аридных регионах (Калмыкия, Приаралье) // Междунар. конф. “Физика атмосферного аэрозоля” к 85-летию со дня рождения Г.В. Розенберга, г. Москва,12–17 апреля 1999 г. М.: Диалог-МГУ, 1999. С. 127–138.
Chkhetiani O.G., Gledzer E.B., Artamonova M.S., Iordanskii M.A. Dust resuspension under weak wind conditions: direct observations and model // Atmos. Chem. Phys. 2012. V. 12. № 11. P. 5147–5162.
Губанова Д.П., Чхетиани О.Г., Кудерина Т М. и др. Экспериментальные исследования аэрозолейв атмосфере семиаридных ландшафтов Калмыкии 1. Микрофизические параметры и массовая концентрация аэрозольных частиц // Геофизические процессы и биосфера. 2018. Т. 17. № 1. С. 5–29.
Chkhetiani O.G., Vazaeva N.V., Chernokulsky A.V. et al. Mineral aerosol in the Caspian lowland desert: Analysis of characteristics based on data from 12 summered field campaigns // Atmosphere (submitted). 2021.
Добрин Л.Г. Образование и строение эоловой слоистости в барханных песках // Опыт работы Репетекской песчано-пустынной станции. Ашхабад: Издательство АН Туркменской ССР., 1963. С. 73–80.
Ju T., Li X., Zhang H. et al. Comparison of two different dust emission mechanisms over the Horqin Sandy Land area: Aerosols contribution and size distributions // Atmos. Environ. 2018. V. 176. P. 82–90.
Shao Y. A model for mineral dust emission // J. Geophys. Res.: Atmos. 2001. V. 106. № D17. P. 20239–20254.
Chkhetiani O.G., Gledzer E.B., Vazaeva N.V. Measurements and approximations for submicron-aerosol size distribution functions // Earth and Space Science. 2021. V. 8. P. e2020EA001616.
Corn M. The adhesion of solid particles to solid surfaces, I. a Review // J. Air Pollution Control Association. 1961. V. 11. № 11. P. 523–528.
Корнев В.М., Разворотнева Л.И. Сравнительные оценки прочности сухого и влажного кварца при измельчении // Прикладная механика и техническая физика. 1998. Т. 39. № 3. С. 173–178.
Li X.L., Klose M., Shao Y., Zhang H. S. Convective turbulent dust emission (CTDE) observed over Horqin Sandy Land area and validation of a CTDE scheme // J. Geophys. Res.: Atmos. 2014. V. 119. № 16. P. 9980–9992.
Дополнительные материалы отсутствуют.
Инструменты
Известия РАН. Физика атмосферы и океана





