Физика плазмы, 2021, T. 47, № 6, стр. 562-571
Исследования характеристик положительного столба тлеющего разряда постоянного тока в ксеноне
Г. М. Григорьян a, А. В. Демьянов b, *, Н. А. Дятко b, И. В. Кочетов b, c, **
a Санкт-Петербургский государственный университет
Санкт-Петербург, Россия
b ГНЦ РФ “Троицкий институт инновационных и термоядерных исследований”
Москва, Россия
c Физический институт им. П.Н. Лебедева РАН
Москва, Россия
* E-mail: demyanov@triniti.ru
** E-mail: kochet@triniti.ru
Поступила в редакцию 21.12.2020
После доработки 25.01.2021
Принята к публикации 26.01.2021
Аннотация
Выполнены экспериментальные и расчетно-теоретические исследования параметров плазмы положительного столба тлеющего разряда постоянного тока в ксеноне. В экспериментах использовалась разрядная трубка радиусом 2 см с расстоянием между электродами 56 см. Эксперименты проводились для давления газа 0.1 и 1 Торр, а величина разрядного тока варьировалась в диапазоне 10–50 мА. Измерена напряженность электрического поля в положительном столбе разряда и населенность нижнего метастабильного состояния 1s5 атома ксенона (населенность измерена только для давления 0.1 Торр) на оси разрядной трубки. Разработана самосогласованная 0-мерная кинетическая модель разряда в ксеноне и проведена ее верификация путем сравнения результатов расчетов с опубликованными в литературе данными. Расчеты, выполненные для указанных выше экспериментальных условий, показали, что теоретические значения напряженности электрического поля заметно отличаются от измеренных. Обсуждаются возможные причины этого отличия. Показано, в частности, что при значениях приведенного электрического поля, которые реализуются в плазме разряда при давлении 1 Торр, электрон-электронные соударения существенно влияют на вид функции распределения электронов по энергии и, соответственно, на скорость процессов образования и гибели электронов. Что касается населенности нижнего метастабильного уровня атома Xe, то расчетные значения хорошо согласуются с результатами измерений. В рамках разработанной модели разряда рассчитан также спектр излучения разрядной плазмы в диапазоне 119–3400 нм. Показано, что бóльшая часть энергии излучается в УФ-области на длине волны 147 нм.
1. ВВЕДЕНИЕ
В настоящее время ксенон широко используется в различных газоразрядных устройствах, таких как ультрафиолетовые лампы [1], плазменные дисплеи [2], лазеры [3], плазменные двигатели [4, 5] и др. Широкое практическое применение обуславливает интерес к фундаментальным экспериментальным и теоретическим исследованиям характеристик различных типов разряда в ксеноне и процессов, которые определяют свойства ксеноновой плазмы.
Например, в работе [6] для условий тлеющего разряда низкого давления с термоэмиссионным катодом выполнен расчет радиального распределения населенности метастабильного 1s5 и резонансного 1s4 состояний Xe в смеси 2% Xe–He с использованием различных приближенияй для описания переноса резонансного излучения. Показано, что традиционный метод описания переноса резонансного излучения, который использует приближение эффективного времени жизни, не позволяет воспроизвести измеренное пространственное распределение возбужденных атомов. Показано также, что возбужденные атомы появляются на периферии разряда в основном за счет переноса резонансного излучения. В работе [7] по измерению динамики населенности 6s уровней Xe в импульсном разряде, инициируемым пучком быстрых электронов, найдены константы скорости тушения этих уровней атомами гелия (в двухчастичных и трехчастичных столкновениях). Аналогичным методом в смеси Ar–Xe измерены константы скорости тушения 6s уровней Xe атомами аргона [8]. Константы скорости тушения указанных уровней Xe атомами Ne измерены в работе [9].
Что касается тлеющего разряда постоянного тока в чистом ксеноне, то количество работ, посвященных исследованию такого разряда, относительно невелико. Нам известны только работы [10–13]. В работе [10] приведены зависимости E/P от PR для различных значений разрядного тока (E – напряженность электрического поля, R – радиус трубки, P – давление газа). В работах [11–13] исследовался разряд в трубках малого радиуса: 0.32 см [11], 0.025 см и 0.04 см [12], 0.15 см [13]. В этих работах была измерена величина электрического поля в разряде. Кроме того, в [11] экспериментально определена концентрация метастабильных атомов ксенона Xe(1s5). В этой же работе предложены две модели для расчета параметров разряда при низких давлениях (для условий, когда длина пробега электронов значительно больше или значительно меньше радиуса трубки). Получено хорошее согласие расчетных и измеренных параметров разряда в диапазонах давлений 0.01–0.04 Торр и 0.1–0.15 Торр. В работе [13] измерена также концентрация электронов и их температура. Измерения проводились с использованием цилиндрических электростатических зондов. Концентрация и температура электронов определялись по ВАХ двойного зонда, по методикам, предложенным в работах [14] (для давлений Р < 1 Торр) и [15] (для Р > 1 Торр).
В настоящей работе выполнено экспериментальное и расчетно-теоретическое исследование параметров плазмы положительного столба тлеющего разряда постоянного тока в ксеноне: напряженности электрического поля и населенности нижнего метастабильного состояния Xe(1s5) на оси разрядной трубки, – в зависимости от давления газа и тока разряда. В экспериментах использовалась разрядная трубка радиусом 2 см. Давление газа варьировалось в диапазоне 0.1–1 Торр, а величина разрядного тока – в диапазоне 10–50 мА. Для расчета параметров плазмы в указанных условиях разработана самосогласованная 0-мерная кинетическая модель разряда в ксеноне.
2. ЭКСПЕРИМЕНТ
Разряд постоянного тока возбуждался в отпаянной разрядной трубке из молибденового стекла с внутренним диаметром 2R = 4 см и плоскими торцами. Цилиндрические электроды, вынесенные в вертикальные отростки трубки, были изготовлены из тантала. Длина зоны разряда составляла 56 см. Эксперименты проводились для давления ксенона 0.1 и 1 Торр, ток разряда изменялся в диапазоне 10–50 мА.
Населенность метастабильного состояния Xe(1s5) на оси трубки измерялась с использованием метода оптического поглощения, известного как метод двух идентичных трубок [16]. В этом методе в качестве источника излучения используется разряд в трубке, идентичной той (при таком же давлении и величине разрядного тока), в которой измеряется концентрация метастабильных атомов. Использование двух одинаковых трубок обеспечивает совпадение контуров линий излучения и поглощения. Для измерения концентрации атомов Xe(1s5) использовался переход 2p6–1s5, имеющий длину волны 823.16 нм. Детальное описание экспериментальной установки и методики измерений приведено, например, в [17]. Отметим только, что в отличие от работы [17], в настоящей работе разряд зажигался в отпаянных трубках. Измерения населенности метастабильного состояния Xe(1s5) на оси трубки выполнены только для давления 1 Торр.
Величина напряженности электрического поля в положительном столбе разряда оценивалась как E = (Ud – Uel)/Ld, где Ud – измеренное падение напряжения на разрядном промежутке, Uel – сумма катодного и анодного падений напряжения, Ld – длина зоны разряда. Величина Uel определялась в дополнительных экспериментах, в которых измерялось напряжение на электродах при разных межэлектродных расстояниях при фиксированных значениях давления газа и тока разряда. В этих экспериментах использовалась газоразрядная трубка с внутренним радиусом 2 см, которая имела несколько боковых отростков с установленными танталовыми электродами. Электроды были точно такими же, как и в трубках, использованных в экспериментах по определению концентрации метастабильных атомов. Длина зоны разряда Ld варьировалась путем подключения источника напряжения к разным электродам. Согласно измерениям, для рассмотренных в настоящей статье условий, величина Uel ≈ 115 В. Следует отметить, что в литературе практически отсутствуют данные по величине катодного падения в тлеющем разряде постоянного тока в ксеноне. Результаты измерений величины электрического поля и населенности метастабильного уровня 1s5 приведены в разд. 4.
По измеренным значениям разрядного тока и напряженности электрического поля мы оценили температуру газа на оси трубки с учетом выноса части энергии из объема за счет излучения. При этом предполагалось, что температура стенки трубки равна комнатной (20°С). Согласно оценкам, в зависимости от величины тока температура на оси трубки варьируется в пределах 300–320 K (для P = 0.1 Торр) и 305–335 K (для P = 1 Торр).
3. ТЕОРЕТИЧЕСКАЯ МОДЕЛЬ РАЗРЯДА В КСЕНОНЕ И ЕЕ ВЕРИФИКАЦИЯ
3.1. Описание модели
За основу используемой в настоящей работе кинетической модели была взята модель, разработанная в работе [18]. Модель [18] позволяет рассчитывать спектр излучения ксенона, возбуждаемого пучком быстрых электронов, для давлений газа выше 100 Торр. Модель включает систему балансных уравнений для населенностей электронных уровней атомов ксенона (14 уровней, 7 из которых являются эффективными, объединяющими несколько уровней с близкими энергиями), электронов, ионов (Xe+, ${\text{Xe}}_{2}^{ + }$, ${\text{Xe}}_{3}^{ + }$), эксимерных молекул, включая колебательно-возбужденные состояния с одним эффективным колебательным уровнем для каждого из эксимерных состояний (Xe2(1Σ), Xe2(3Σ), Xe2(1Σ, v) и Xe2(3Σ, v)) и локальное уравнение Больцмана для функции распределения электронов по энергии (ФРЭЭ) в двучленном приближении. В уравнении Больцмана учитываются упругие, неупругие, сверхупругие процессы рассеяния электронов на атомах ксенона и электрон-электронные соударения. В модель включены процессы с участием ионов и процессы радиационного и столкновительного тушения возбужденных атомов и молекул. Модель описывает излучение 30-ти наиболее интенсивных переходов. В том числе резонансное излучение Xe* (119, 125, 130 и 147 нм), эксимерное ${\text{Xe}}_{2}^{*}$ (150, 172 нм), а также излучение на переходах 6p(6p') → → 6s(6s') (764, 789, 826, 835, 890, 905, 916, 985 и 1080 нм) и 5d → 6p переходах (1.73, 2.03, 2.63, 2.65 и 3.37 мкм). Перенос резонансного излучения учитывается в приближении эффективного радиационного времени жизни.
В модели [18] были сделаны следующие изменения и дополнения. Включены процессы ухода электронов и ионов на стенки трубки за счет амбиполярной диффузии. Добавлено уравнение электрической цепи, включающей источник постоянного напряжения, балластное сопротивление и положительный столб разряда.
В кинетической модели [18] метастабильное 1s5 (в обозначениях Пашена) и резонансное состояния 1s4 Xe объединены в один эффективный уровень. В настоящей модели эти уровни учитываются отдельно. Список учитываемых в модели уровней показан в табл. 1.
Согласно рекомендациям [19], сечения возбуждения уровней Xe(1s5) и Xe(1s4) электронным ударом из основного состояния взяты из работы Nakazaki [20]. Зависимость от энергии сечений ступенчатой ионизации состояний Xe(1s5) и Xe(1s4) взята из [21], а их абсолютные величины увеличены в 1.88 раза, как предложено в [19]. В отличие от работы [19], где для процессов ступенчатого возбуждения из состояний Xe(1s5) и Xe(1s4) использовались эмпирические сечения [22], мы использовали сечения ступенчатого возбуждения из состояния Xe(1s5), измеренные в работе [23]. Сечение ступенчатого возбуждения из состояния Xe(1s4) взято таким же, как для Xe(1s5), но со сдвижкой на разницу в порогах возбуждения. Процессы, дополняющие модель [18], приведены в табл. 2.
Таблица 1.
Учитываемые в модели электронные уровни. Символом * обозначены эффективные уровни. Энергия, приписываемая эффективному уровню, показана жирным шрифтом
| Номер уров-ня | Электронные уровни в обозначениях Рака и Пашена | Статвес (суммарный для эффективных уровней) | Энергия уровня, эВ |
|---|---|---|---|
| 1 | 6s[3/2]2, 1s5 | 5 | 8.315 |
| 2 | 6s[3/2]1, 1s4 | 3 | 8.437 |
| 3* | 6s'[1/2]0, 1s3 | 4 | 9.447 |
| 6s'[1/2]1, 1s2 | 9.570 | ||
| 4 | 6p[1/2]1, 2p10 | 3 | 9.580 |
| 5 | 6p[5/2]2, 2p9 | 5 | 9.686 |
| 6 | 6p[5/2]3, 2p8 | 7 | 9.721 |
| 7 | 6p[3/2]1, 2p7 | 3 | 9.789 |
| 8 | 6p[3/2]2, 2p6 | 5 | 9.821 |
| 9 | 6p[1/2]0, 2p5 | 1 | 9.934 |
| 10* | 5d[1/2]0, 3d6 | 25 | 9.891 |
| 5d[1/2]1, 3d5 | 9.917 | ||
| 5d[7/2]4, 3$d_{4}^{'}$ | 9.943 | ||
| 5d[3/2]2, 3d3 | 9.959 | ||
| 5d[7/2]3, 3d4 | 10.039 | ||
| 11* | 5d[5/2]2, 3$d_{1}^{{''}}$ | 12 | 10.158 |
| 5d[5/2]3, 3$d_{1}^{'}$ | 10.220 | ||
| 12 | 5d[3/2]1, 3d2 | 3 | 10.401 |
| 13* | 7s[3/2]2, 2s5 | 8 | 10.562 |
| 7s[3/2]1, 2s4 | 10.593 | ||
| 14* | 7p[1/2]1, 3p10 | 65 | 10.902 |
| 7p[5/2]2, 3p9 | 10.954 | ||
| 6p'[3/2]1, 2p4 | 10.958 | ||
| 7p[5/2]3, 3p8 | 10.969 | ||
| 6d[1/2]0, 4d6 | 10.972 | ||
| 6d[1/2]1, 4d5 | 10.979 | ||
| 7p[3/2]2, 3p6 | 10.996 | ||
| 6d[3/2]2, 4d3 | 10.999 | ||
| 7p[3/2]1, 3p7 | 11.008 | ||
| 7p[1/2]0, 3p5 | 11.015 | ||
| 6d[7/2]4, 4$d_{4}^{'}$ | 11.024 | ||
| 6d[7/2]3, 4d4 | 11.038 | ||
| 6p'[3/2]2, 2p3 | 11.055 | ||
| 6d[5/2]2, 4$d_{1}^{{''}}$ | 11.065 | ||
| 6p'[1/2]1, 2p2 | 11.069 | ||
| 15* | 6d[5/2]3, 4$d_{1}^{'}$ | 21 | 11.101 |
| 6p'[1/2]0, 2p1 | 11.141 | ||
| 6d[3/2]1, 4d2 | 11.163 | ||
| 8s[3/2]2 | 11.259 | ||
| 9s[3/2]2 | 11.580 |
Таблица 2.
Процессы, включенные в модель дополнительно к процессам модели [18]
| Амбиполярная диффузия | |||
| 1 | е, Xe+, Xe2+, Xe3+ → стенка трубки | [24, 25] | |
| Возбуждение электронных состояний | |||
| 2 | Xe + e ↔ Xe(1s5) + e | ФРЭЭ б) | [14] |
| 3 | Xe + e ↔ Xe(1s4) + e | ФРЭЭ | [14] |
| 4 | Xe(1s5) + e ↔ Xe* а) + e | ФРЭЭ | [19] |
| 5 | Xe(1s4) + e ↔ Xe* а) + e | ФРЭЭ | [19], см. текст |
| Ступенчатая ионизация | |||
| 6 | Xe(1s5) + e → Xe+ + e + e | ФРЭЭ | [23], см. текст |
| 7 | Xe(1s4) + e → Xe+ + e + e | ФРЭЭ | [23], см. текст |
Для заданного значения напряжения источника питания, величины балластного сопротивления, давления газа и радиуса разрядной трубки модель позволяет самосогласованным образом рассчитать электрическое поле в положительном столбе разряда, ток разряда, концентрации электронов и ионов и населенности электронных уровней.
3.2. Верификация модели путем сравнения результатов расчетов с опубликованными в литературе экспериментальными данными
Так как в наших экспериментах измерялась населенность метастабильных уровней и напряженность электрического поля в положительном столбе разряда, то при верификации программы мы уделили основное внимание сравнению именно этих величин.
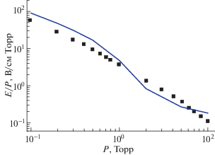
В работе [11] измерялись напряженность электрического поля на оси трубки и населенности метастабильного Xe(1s5) и резонансного Xe(1s4) состояний. Исследования проводились в разрядной трубке с внутренним радиусом 0.32 см в диапазоне давлений 0.01–0.15 Торр при фиксированном токе разряда 100 мА. На рис. 1а и 1б сравниваются измеренные [11] и расчетные величины приведенного электрического поля на оси трубки и населенностей метастабильного и резонансного состояний Xe в зависимости от давления в диапазоне 0.1–0.15 Торр. Как видно из рис. 1а, расчетные значения величины приведенного электрического поля E/P достаточно хорошо согласуются с измеренными. В то же время полученные в расчетах населенности 1s5 и 1s4 состояний оказываются заметно больше измеренных (рис. 1б). Путем варьирования величин используемых в расчетах сечений (в рамках имеющихся неопределенностей) нам не удалось добиться более хорошего согласия. Как уже было указано во Введении, в работе [11] также предложена модель разряда и выполнены расчеты для экспериментальных условий. И результаты расчетов достаточно хорошо согласуются с данными измерений. Следует отметить, что в модели [11] учитываются только три электронных уровня: 1s5, 1s4 и эффективный, объединяющий все вышележащие уровни. При этом возбуждение метастабильного уровня 1s5 электронным ударом описывается эффективным сечением возбуждения, учитывающим каскадное заселение с более высоких уровней. По-видимому, согласие с экспериментом удается получить путем соответствующего выбора величины этого сечения.
Рис. 1.
Измеренные (символы) [11] и расчетные (линии) зависимости от давления: а) – приведенного электрического поля на оси трубки; б) – населенностей метастабильного (1s5) и резонансного (1s4) уровней Xe. I = 100 мА, R = 0.32 см.

В экспериментах [13] использовались трубки с внутренним радиусом 0.025, 0.04 и 0.15 см. Давление газа менялось от 0.1 до 10 Торр, а ток поддерживался постоянным: для трубок радиуса 0.025 см – 20 мА, для трубок радиуса 0.04 см – 20 и 30 мА, а для трубок радиуса 0.15 см – 30 мА. Поле на оси трубки измерялось с использованием двух зондов. Мы провели расчеты для трубки наибольшего радиуса. На рис. 2 показано сравнение расчетных и экспериментальных [13] зависимостей приведенного электрического поля на оси трубки от давления газа для тока разряда 30 мА. Как видно из рисунка, расчетные значения E/P удовлетворительно согласуются с измеренными.
Рис. 2.
Измеренная (символы) [13] и расчетная (линия) зависимости приведенного электрического поля на оси трубки от давления. R = 0.15 см, I = 30 мА.

4. РЕЗУЛЬТАТЫ И ОБСУЖДЕНИЕ
4.1. Напряженность электрического поля в плазме
Результаты измерений напряженности электрического поля показаны на рис. 3. На этом же рисунке сплошными линиями показаны теоретические значения, рассчитанные по разработанной модели (в расчетах температура газа считалась равной 300 К).
Рис. 3.
Измеренные (символы) и расчетные (линии) зависимости напряженности электрического поля от тока разряда. Сплошные линии – результаты расчета по разработанной модели.

Как видно из рис. 3, при давлении газа 0.1 Торр расчетные значения электрического поля (сплошная линия) оказываются выше экспериментальных на ≈50%, но при этом в расчетах воспроизводится полученная в эксперименте слабая зависимость поля от тока разряда. Для давления 1 Торр измеренные значения напряженности поля оказываются несколько выше, чем в случае P = 0.1 Торр, а зависимость поля от тока такая же слабая, как и для P = 0.1 Торр. Расчетная зависимость напряженности электрического поля от тока (сплошная линия) для давления 1 Торр более резко уменьшается при увеличении тока разряда. Причем при I ≤ 12.5 мА расчетные значения оказываются больше экспериментальных, а при I ≥ ≥ 12.5 мА – меньше. При I ~ 50 мА расчетные значения оказываются приблизительно на 50% меньше экспериментальных.
Для наглядности, в табл. 3 для двух (крайних) значений разрядного тока, I = 10 мА и I = 50 мА, приведены экспериментальные и расчетные значения Е и E/N, а также расчетные значения концентрации электронов, степени ионизации и средней энергии электронов. Согласно расчетам, для всех рассмотренных случаев основным каналом ионизации является ступенчатая ионизация с нижнего метастабильного состояния Xe(1s5). Причем скорость рождения электронов составляет приблизительно 30% от скорости возбуждения этого состояния электронным ударом из основного состояния. Основным каналом гибели электронов является амбиполярная диффузия на стенки трубки, а основным ионом является ион Xe+.
Таблица 3.
Экспериментальные и расчетные значения напряженности электрического поля Е и приведенного поля E/N, а также расчетные значения концентрации электронов ne, степени ионизации ne/N и средней энергии электронов um
| Р, Торр | I, мА | E, В/см, экспер. | E/N, Тд, экспер. | E, В/см, расчет. | E/N, Тд, расчет. | ne, cм−3 расчет. | ne/N, расчет. | um, эВ, расчет. |
|---|---|---|---|---|---|---|---|---|
| 0.1 | 10 | 0.57 | 18 | 0.87 | 27 | 6.5 × 109 | 2.0 × 10–6 | 3.76 |
| 50 | 0.48 | 15 | 0.78 | 24 | 3.5 × 1010 | 1.1 × 10–5 | 3.62 | |
| 1 | 10 | 0.69 | 2.2 | 0.78 | 2.4 | 3.2 × 109 | 1.0 × 10–7 | 2.61 |
| 50 | 0.59 | 1.8 | 0.25 | 0.8 | 1.1 × 1011 | 2.2 × 10–6 | 1.94 |
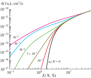
Хорошо известно, что при относительно низких значениях E/N константы скоростей процессов с высоким порогом сильно зависят от степени ионизации плазмы (вследствие влияния электрон-электронных соударений на ФРЭЭ) [26]. На рис. 4 показана зависимость константы скорости возбуждения нижнего метастабильного уровня ксенона Xe(1s5) от E/N, рассчитанная для различных значений степени ионизации плазмы ne/N.
Рис. 4.
Зависимость константы скорости возбуждения нижнего метастабильного уровня ксенона Xe(1s5) от E/N, рассчитанная для различных значений степени ионизации плазмы ne/N.

Значения E/N, которые реализуются в разряде при давлении 0.1 Торр, составляют 15–18 Тд (эксперимент) и 24–27 Тд (расчет), см. табл. 3. Как следует из рис. 4, при таких значениях E/N константа скорости возбуждения Xe(1s5) практически не зависит от степени ионизации. В случае P = 1 Торр значения E/N существенно меньше: 1.8–2.2 Тд (эксперимент) и 0.8–2.4 Тд (расчет), см. табл. 3. При таких значениях E/N константа скорости возбуждения резко возрастает при увеличении степени ионизации в диапазоне 10–7–10–5 (см. рис. 4). Анализ расчетных данных показал, что именно этот эффект приводит к значительному снижению E/N с ростом тока (ростом концентрации электронов и, соответственно, ростом степени ионизации). Заметим, что в тлеющем разряде в аргоне (в трубке такого же радиуса) при P = 1 Торр значения E/N приблизительно равны 6 Тд (измеренные) и 9 Тд (расчетные) [17]. При таких значениях E/N константа скорости возбуждения нижнего метастабильного уровня атома аргона относительно слабо зависит от степени ионизации [26], и расчетное значение E/N почти не зависит от тока разряда.
Как было отмечено выше, расчетные значения напряженности электрического поля достаточно заметно отличаются от полученных в эксперименте. Причем варьированием (в пределах существующих неопределенностей) таких параметров, как сечения возбуждения электронных уровней, сечение ступенчатой ионизации и сечения ступенчатого возбуждения, не удается получить лучшего согласия расчетных данных с экспериментальными во всем диапазоне рассматриваемых условий.
Следует отметить, что в нашей модели уравнение Больцмана для функции распределения электронов по энергии решается в локальном приближении, применимость которого в рассматриваемых условиях не очень обоснована. Корректный критерий применимости можно получить только путем сравнения решений, полученных в локальном и нелокальном приближениях. Для разряда в аргоне таким способом был получен критерий PR > (5–10) см ⋅ Торр [27]. Насколько нам известно, для разряда в ксеноне такие сравнительные расчеты отсутствуют. Приближенным критерием применимости локального приближения может служить соотношение Lu < R, где Lu – характерная длина установления функции распределения. Величину Lu можно определить как расстояние, на котором электрон (дрейфующий в электрическом поле) рассеивает энергию, равную средней энергии электронов [24]: Lu = um/(eE), где um – средняя энергия электронов, а е – заряд электрона. Для рассматриваемых в настоящей работе условий расчетные значения Lu составляют (3.3–7.7) см (значения um и E приведены в табл. 3), т.е. Lu > R.
С уверенностью сказать, как повлияет учет нелокальности ФРЭЭ на результаты расчетов, не представляется возможным. Более того, не очень понятно, как вообще учитывать нелокальные эффекты в рамках 0-мерной модели. Если говорить о том, что известно в этом отношении из литературы, то есть несколько работ, в которых сравниваются результаты расчетов параметров разряда (в рамках 1-мерной модели по радиусу трубки), полученные с учетом нелокальности ФРЭЭ и в приближении локальной ФРЭЭ (см., например, [28, 29] и приведенные там ссылки). Например, для разряда в аргоне (R = 1 см, PR = 0.28 Торр ⋅ см и PR = 0.85 Торр ⋅ см) учет нелокальности приводит к некоторому уменьшению величины продольного электрического поля [28]. А для разряда в неоне (R = 1 см, PR = 0.1 Торр · см), наоборот, к небольшому росту электрического поля [28]. В работе [29] для разряда в аргоне (R = 1 см, PR = = 6 Торр ⋅ см, I = 3 мА) показано, что учет нелокальности приводит к снижению концентрации электронов и населенности нижнего метастабильного уровня на оси трубки. Аналогичные данные по разряду в ксеноне отсутствуют.
Отметим также еще один момент, связанный с методом определения напряженности электрического поля в эксперименте. При межэлектродном расстоянии в 56 см падение напряжения на положительном столбе разряда существенно меньше, чем приэлектродное падение напряжения. В этом случае даже незначительное изменение в величине приэлектродного падения напряжения будет приводить к заметному изменению рассчитанного значения Е. Например, если изменить величину приэлектродного падения напряжения на 5 В (т. е. приблизительно на 4% по отношению к использованному значению 115 В), то рассчитанная величина Е изменится приблизительно на 0.1 В/см, что составляет 15–20% по отношению к значениям Е, указанным в табл. 3. Как было отмечено выше, величина приэлектродного падения измерялась в отдельной (специальной) разрядной трубке с несколькими боковыми отростками с установленными электродами. Нельзя исключать, что в экспериментах с обычной трубкой (хотя и такого же диаметра и с такими же электродами) приэлектродное падение напряжения было несколько другим.
4.2. Населенность нижнего метастабильного состояния на оси трубки
Как было отмечено в разд. 2, измерение населенности нижнего метастабильного уровня Xe(1s5) на оси трубки было выполнено только для давления 0.1 Торр. Сравнение измеренных и рассчитанных значений населенности в зависимости от величины разрядного тока показано на рис. 5. Как видно из рисунка, при токах разряда ≥20 мА расчетные значения практически совпадают с измеренными. При этом населенность слабо изменяется с ростом тока и приблизительно равна 4.1 × 1011 см–3. При токе разряда 10 мА в расчете получаются несколько меньшие значения населенности, чем в эксперименте. Для давления Р = 1 Торр расчетные значения населенности уровня Xe(1s5) оказываются меньше (приблизительно в 7 раз), чем при давлении Р = 0.1 Торр. Заметим, что аналогичная зависимость населенности метастабильного уровня от давления имеет место и в разряде в аргоне [30].
Рис. 5.
Измеренные (символы) и рассчитанные (линия) значения населенности метастабильного уровня Xe(1s5) на оси трубки в зависимости от величины разрядного тока для давления газа 0.1 и 1 Торр.

Согласно расчетам, основным каналом заселения уровня Xe(1s5) является возбуждение электронным ударом из основного состояния, а расселение происходит частично за счет процесса ступенчатой ионизации и в большей степени за счет ступенчатого возбуждения более высоких уровней. В свою очередь, тушение более высоких уровней (радиационные переходы, столкновительное тушение) приводит, в частности, к заселению резонансного состояния Xe(1s4). Так как скорости возбуждения и гибели уровня Xe(1s5) пропорциональны концентрации электронов, то его населенность слабо зависит от тока разряда.
4.3. Расчетные значения населенности всех учитываемых в модели электронных уровней
На рис. 6а и 6б представлена расчетная населенность электронных уровней, деленная на статистический вес этих уровней как функция энергии уровней. Согласно расчетам, при P = 0.1 Торр (рис. 6а) населенность электронных уровней (за исключением нижнего метастабильного уровня, см. выше) возрастает приблизительно пропорционально величине тока. Это связано с тем, что скорость возбуждения электронных уровней пропорциональна концентрации электронов (и, соответственно, величине тока, так как E/N почти не зависит от тока), а девозбуждение определяется в основном радиационными процессами. В этом случае значение населенности конкретного уровня зависит, в том числе, и от его радиационного времени жизни. В частности, радиационные времена жизни уровней Xe(2p10–2p5) заметно меньше, чем радиационные времена жизни других высоко лежащих уровней [18], что обуславливает относительно низкую населенность Xe(2p10–2p5) состояний (рис. 6а).
Рис. 6.
Приведенные значения населенности электронных уровней Xe в зависимости от энергии уровня, рассчитанные для различных давлений и разрядных токов. а) – Р = 0.1 Торр, I = 11, 22 и 56 мА; б) – Р = = 1 Торр, I = 8, 24 и 50 мА. Эффективные уровни обозначены номерами, соответствующими их номерам в табл. 1: 3* (1s2,1s3), 10* (3d6, 3d5, 3d$_{4}^{'}$, 3d3, 3d4), 11* (3d$_{1}^{{''}}$, 3d$_{1}^{'}$); 13* (2s5, 2s4); 14* (3p10, 3p9, 2p4, 3p8, 4d6, 4d5, 3p6, 4d3, 3p7, 3p5, 4d$_{4}^{'}$, 4d4, 2p3, 4d$_{1}^{{''}}$, 2p2) и 15* (4d$_{1}^{'}$, 2p1, 4d2, 8s[3/2]2, 9s[3/2]2).

Для давления 1 Торр (рис. 6б) рассчитанные населенности электронных уровней незначительно увеличиваются с ростом тока. Исключение составляет самый верхний из учитываемых уровней (эффективный уровень 15*, табл. 1), заселение которого происходит в процессе диссоциативной рекомбинации ${\text{Xe}}_{2}^{ + }$ с электроном. В отличие от случая Р = 0.1 Торр, в случае Р = 1 Торр расчетные значения напряженности электрического поля заметно уменьшаются с ростом тока (рис. 3). Потому энерговклад в разряд хотя и увеличивается с ростом тока, но в меньшей степени, чем в случае Р = 0.1 Торр. Соответственно, скорость заселения электронных уровней и их населенности увеличиваются с ростом тока разряда незначительно. Отметим также, что c увеличением давления возрастает роль процессов тушения возбужденных состояний в столкновениях с атомами. Согласно расчетам, именно эти процессы приводят к тому, что для 1 Торр (рис. 6б) зависимость населенностей от энергии уровней не такая изрезанная, как для 0.1 Торр (рис. 6а).
Для давления 1 Торр значения приведенных населенности уровней от 1s4 до 10* эфф. лежат приблизительно на одной прямой. Это означает, что населенности этих уровней описываются распределением Больцмана с некоторой “локальной” температурой. Приблизительное значение “локальной температуры равно 0.18 эВ. Эта величина значительно больше газовой температуры (0.0258 эВ) и значительно меньше температуры электронов (1.22–1.76 эВ).
4.4 Рассчитанные спектры излучения
Определим энергетическую эффективность (далее просто эффективность) радиационного перехода с уровня i на уровень j как отношение мощности излучения на этом переходе из единицы объема к удельной мощности разряда:
(1)
${{\eta }_{{ij}}} = \frac{{\left( {\frac{{{{N}_{i}}{{\Delta }_{{ij}}}}}{{{{\tau }_{{ij}}}}}} \right)}}{{JE}},$На рис. 7а–в приведены эффективности излучения отдельных линий для давлений 0.1 и 1 Торр, рассчитанные для близких значений разрядных токов: 56 и 50 мА, соответственно. Как следует из расчетов, при давлении 0.1 Торр суммарно в излучение идет ≈45% вкладываемой в плазму энергии, а при 1 Торр – приблизительно 23%. Уменьшение доли энергии, идущей на излучение, при увеличении давления обусловлено следующими причинами. При P = 0.1 Торр и I = 56 мА расчетное значение E/N достаточно велико: ≈24 Тд. Согласно проведенному анализу, при таком значении E/N почти вся энергия, получаемая электронами от электрического поля, расходуется в неупругих процессах (возбуждение электронных уровней и ионизация из основного состояния, ступенчатое возбуждение и ступенчатая ионизация). Доля потерь энергии электронов в упругих соударениях с атомами ксенона составляет всего ~2%. Бóльшая часть вложенной энергии уходит из разрядной плазмы в виде излучения (~45%) и уносится электронами и ионами на стенки трубки в процессе амбиполярной диффузии. При P = 1 Торр и I = 50 мА расчетное значение E/N мало: ≈0.8 Тд. В этом случае доля энергии, расходуемая электронами в упругих соударениях с атомами ксенона, составляет ~60%, и только ~40% энергии расходуется на возбуждение и ионизацию атомов. Далее, 23% (из 40%) энергии уходят из плазмы в виде излучения, а оставшиеся 17% энергии уносятся электронами и ионами на стенку трубки или идут на нагрев газа за счет процессов тушения возбужденных состояний атомами ксенона.
Рис. 7.
Расчетные эффективности излучения отдельных линий для Р = 0.1 Торр, I = 56 мА и Р = 1 Торр, I = 50 мА: а) – в УФ ; б) и в) – в ИК-области спектра. Для каждой длины волны указан соответствующий радиационный переход.

Как видно из рис. 7а, основная доля излучаемой энергии приходится на УФ-излучение с длиной волны 147 нм (переход 1s4–1S0): 39% из 45% для 0.1 Торр и 21% из 23% для 1 Торр. Эффективность резонансного излучения на других переходах (длины волн 119, 125 и 130 нм, см. рис. 7а) намного меньше и очень сильно уменьшается при увеличении давления. Эффективность эксимерного излучения ${\text{Xe}}_{2}^{*}$ (150, 172 нм) растет с увеличением давления (рис. 7а), так как эксимерные молекулы образуются в тройных столкновениях. Но при рассматриваемых давлениях эффективность эксимерного излучения остается незначительной. Эффективность отдельных линий ИК-излучения (рис. 7б) на переходах 6p(6p') → 6s(6s') (764, 789, 826, 835, 890, 905, 916, 985 и 1080 нм) достигает 1%. В целом, эффективность ИK-линий уменьшается с ростом давления, но степень уменьшения для разных линий существенно различна. Эффективность излучения на переходах 5d → 6p переходов (1.73, 2.03, 2.63, 2.65 и 3.37 мкм) (рис. 7в) мала и значительно уменьшается с ростом давления.
5. ЗАКЛЮЧЕНИЕ
В работе выполнены экспериментальное и расчетно-теоретическое исследования характеристик плазмы положительного столба тлеющего разряда постоянного тока в ксеноне. Эксперименты проводились в трубке с внутренним диаметром 4 см и плоскими торцами. Цилиндрические электроды были установлены в боковых отростках трубки, межэлектродное расстояние равнялось 56 см. Исследования выполнены для давлений 0.1 Торр и 1 Торр, разрядный ток варьировался в пределах 10–50 мА. По измеренному напряжению на электродах, известному межэлектродному расстоянию и величине приэлектродного падения напряжения (115 В, определено в специальных экспериментах) оценивалась напряженность электрического поля в положительном столбе разряда. Для давления 0.1 Торр значение Е уменьшается с ростом тока с 0.57 В/см (при 10 мА) до 0.48 В/см (при 50 мА). При давлении 1 Торр значения Е несколько выше: 0.69 В/см (при 10 мА) и 0.59 В/см (при 50 мА). Для давления 0.1 Торр методом оптического поглощения измерена населенность метастабильного состояния Xe(1s5) на оси трубки. Полученное значение населенности возрастает с ростом тока разряда с 3.5 × 1011 см–3 (при I = 10 мА) до 4.8 × 1011 см–3 (при I = 40 мА).
Для расчета параметров плазмы тлеющего разряда постоянного тока в ксеноне разработана 0‑мерная модель разряда. Верификация модели выполнена путем сравнения результатов расчетов с опубликованными в литературе экспериментальными данными. С использованием разработанной модели выполнены расчеты для экспериментальных условий. Для давления Р = 0.1 Торр рассчитанные значения Е незначительно уменьшаются с ростом тока разряда (как и в эксперименте), но оказываются приблизительно на 50% больше измеренных. При этом рассчитанная населенность нижнего метастабильного уровня хорошо согласуется с измеренной. Для давления Р = 1 Торр вид рассчитанной зависимости E(I) значительно отличается от экспериментальной. В отличие от измеренной, рассчитанная величина E значительно уменьшается с ростом тока: c 0.78 В/см (при I = 10 мА) до 0.25 В/см (при I = = 50 мА). Как показал проведенный анализ, причиной такой резкой зависимости E(I) является то, что при низких значениях E/N имеет место резкая зависимость констант скорости возбуждения электронных уровней от степени ионизации (тока разряда) вследствие влияния электрон-электронных соударений на ФРЭЭ.
Для экспериментальных условий рассчитаны также населенности всех учитываемых в модели электронных уровней атома ксенона и энергетическая эффективность всех учитываемых радиационных переходов. Показано, что при токе разряда ~50 мА энергия, уносимая из плазмы излучением, составляет 45% (для P = 0.1 Торр) и 23% (для P = 1 Торр) по отношению к вкладываемой в плазму энергии. При этом большая часть энергии излучается в УФ-области на длине волны 147 нм (переход 1s4–1S0).
Работа поддержана РФФИ, проект № 20-02-00270.
Список литературы
Uhrlandt D., Bussiahn R., Gorchakov S., Lange H., Loffhagen D., Nötzold D. // J. Phys. D. 2005. V. 38. P. 3318.
Hayashi D., Heusler G., Hagelaar G., Kroesen G. // J. Appl. Phys. 2004. V. 95. P. 1656.
Demyanov A.V., Kochetov I.V., Mikheyev P.A., Azya-zov V.N., Heaven M.C. // J. Phys. D: Appl. Phys. 2018. V. 51. 045201.
Chiu Y., Austin B.L., Williams S., Dressler R.A., Karabadzhak G.F. // J. Appl. Phys. 2006. V. 99. 113304.
Karabadzhak G.F., Chiu Y., Dressler R.A. // J. Appl. Phys. 2006. V. 99. 113305.
Golubovskii Yu.B., Gorchakov S., Lange H., Timofeev A., Uhrlandt D., Winter J. // Phys. D: Appl. Phys. 2012. V. 45. 055205.
Заярный Д.А., Семенова Л.В., Устиновский Н.Н., Холин И.В., Чугунов А.Ю. // Квантовая электроника. 1998. Т. 25. С. 229.
Семенова Л.В., Устиновский Н.Н., Холин И.В. // Квантовая электроника. 2004. Т. 34. С. 189.
Wieme W., Lenaerts J. // J. Chem. Phys. 1980. V. 72. P. 2708.
Engel A. Ionized Gases. Clarendon, Oxford, 1965.
Egorov V.S., Golubovski Yu.B., Kindel E., Mekhov I.B., Schimke C. // Phys. Rev. E. 1999. V. 60. P. 5971.
Kaneda T., Kubota T., Chang J.-S. // Japan J. Appl. Phys. 1989. V. 28. P. 947.
Kaneda T., Kubota T., Chang J. // J. Phys. D: Appl. Phys. 1990. V. 23. P. 500.
Dote T.A. // Japan. J. Appl. Phys. 1968. V. 7. P. 964.
Chang J.S., Laframboise J.G. // 1976 J. Phys. D: Appl. Phys. 1976. V. 9. P. 1699.
Фриш С.Э. Спектроскопия газоразрядной плазмы. Л.: Наука, 1970.
Grigorian G.M., Dyatko N.A., Kochetov I.V. // J. Phys. D: Appl. Phys. 2015. V. 48. 445201.
Бабичев В.Н., Демьянов А.В., Дятко Н.А., Паль А.Ф., Старостин А.Н., Филиппов А.В. // Физика плазмы. 2017. Т. 43. С. 421.
Gortchakov S., Lange H., Uhrlandt D. // J. Appl. Phys. 2003. V. 93. P. 9508.
Nakazaki S., Berrington K.A., Eissner W.B., Itikawa Y. // J. Phys. B: At. Mol. Opt. Phys. 1997. V. 30. P. 5805.
Deutsch H., Becker K., Matt S., Märk T.D. // J. Phys. B: At. Mol. Opt. Phys. 1999. V. 32. P. 4249.
Vriens L., Smeets A.H.M. // Phys. Rev. A. 1980. V. 22. P. 940.
Jung R.O., Boffard John B., Anderson L.W., Lin Chun C. // Phys. Rev. A. 2005. V. 72. 022723.
Райзер Ю.П. Физика газового разряда. М.: Наука, 1992.
Biondi M.A., Chanin L.M. // Phys. Rev. 1954. V. 94. P. 910.
Dyatko N.A., Kochetov I.V., Napartovich A.P. // Plasma Sources Sci. Technol. 2014. V. 23. 043001.
Богданов Е.А., Кудрявцев А.А., Цендин Л.Д., Арсланбеков Р.Р., Колобов В.И., Кудрявцев В.В. // ЖТФ. 2004. Т. 74. С. 35.
Ingold J. H. DC Positive Column in the Nonlocal Regime. In: Kortshagen U., Tsendin L.D. (eds) Electron Kinetics and Applications of Glow Discharges. NATO Science Series: B (Advanced Science Institutes Series), vol. 367. Springer, Boston, MA. 2002.
Богданов Е.А., Кудрявцев А.А., Цендин Л.Д., Арсланбеков Р.Р., Колобов В.И. // ЖТФ. 2004. Т. 74. С. 44.
Григорьян Г.М., Дятко Н.А., Кочетов И.В. // Физика плазмы. 2015. Т. 41. С. 471.
Дополнительные материалы отсутствуют.


