Физика плазмы, 2022, T. 48, № 11, стр. 1115-1129
Локальные параметры плазмы, концентрации атомов и абсолютные интенсивности свечения в разряде, поддерживаемом полым катодом
С. Н. Андреев a, А. В. Бернацкий a, *, И. И. Драганов a, b, И. В. Кочетов a, c, **, В. Н. Очкин a, ***
a Физический институт им. П.Н. Лебедева РАН
Москва, Россия
b Московский физико-технический институт (национальный исследовательский университет)
Долгопрудный, Московская область, Россия
c Государственный научный центр РФ “Троицкий институт инновационных и термоядерных исследований”
Москва, Россия
* E-mail: bernatskiyav@lebedev.ru
** E-mail: kochet@triniti.ru
*** E-mail: ochkin@sci.lebedev.ru
Поступила в редакцию 02.08.2022
После доработки 02.09.2022
Принята к публикации 03.09.2022
- EDN: JINUOS
- DOI: 10.31857/S0367292122601096
Аннотация
Проведены локальные измерения параметров электронной компоненты, потенциала пространства и абсолютных светимостей неравновесной плазмы разряда во влажном гелии пониженного давления, поддерживаемого полым катодом. Определение концентраций атомов гелия и водорода в основных состояниях осуществлялось по интенсивностям линий переходов между возбужденными уровнями с привлечением корональной модели (КМ), с учетом ветвления электронных переходов с уровней возбуждения атомов и конечной оптической плотности плазмы. Показано, что в этих условиях предложенное уточнение КМ позволяет выбрать ряд спектральных линий, позволяющий определять концентрации атомов гелия в основном состоянии по измерениям абсолютных интенсивностей излучения электронных переходов. Рассмотрена возможность использования корреляций расчетной температуры электронов с эффективными температурами заселения и распределения возбужденных атомов.
1. ВВЕДЕНИЕ
В последние годы проблемы мониторинга состава пристеночной низкотемпературной плазмы мощных энергетических реакторов с секционированными первыми стенками вакуумных камер мотивировали развитие методов спектральной диагностики плазмы разрядов в газах на основе гелия и его смесей [1, 2]. Их обоснование и количественная интерпретация результатов в неравновесных условиях, в свою очередь, потребовали разработки схем экспериментального лабораторного моделирования условий строящихся плазменных установок, усовершенствования техники спектральных и зондовых измерений, а также плазмохимических расчетов [3, 4]. В связи с важностью проблемы контроля за натеканием молекул воды из контура теплоносителя в областях стыков бланкета реактора особое внимание уделяется детектированию таких частиц, как молекулы H2O, H2, O2, радикалы OH, атомы O, H, D, и изучению реакций с их участием.
Были предложены и развиты новые мультиспектральные версии оптической актинометрии высокой чувствительности [4–6], обеспечившие контроль за соблюдением жестких требований к содержанию частиц, не превышающих допустимые для безаварийной работы реактора типа И-ТЭР. В модельных экспериментах с разрядами, поддерживаемыми полым катодом, молекулы воды детектировались на уровне 1010 см−3 [4]. Разработан метод учета возмущений плазмы, вносимых зондом Ленгмюра за счет стока медленных электронов на его поверхность [7], развита техника комбинированных форм напряжений на зонде [8, 9], что позволило реализовать динамический диапазон измерений функции распределения по энергиям не менее 4 порядков величины. С практической точки зрения такие методы отвечают требованиям к контролю работы конкретного реактора ИТЭР. При этом ряд вопросов физического характера остается.
В данной работе мы акцентируем внимание на двух проблемах:
1) Метод актинометрии предполагает, что для определения концентраций искомых частиц плазмообразующий газ должен содержать частицы-актинометры. Как правило, это атомы инертных газов. Для всех других частиц атомы газа-носителя гелия не являются хорошей актинометрической парой, поскольку группа его излучающих состояний имеет энергии, значительно превышающие энергии излучающих уровней других частиц. В мультиспектральной версии [4, 6] возможно в качестве вторичных актинометров использовать и нестабильные промежуточные частицы, что может дать некоторые преимущества. Однако основные актинометры (обычно это аргон, ксенон или их смесь), должны добавляться в плазмообразующий газ, что не всегда согласуется с условиями функционирования плазменной установки. В настоящей работе делается альтернативная попытка применить метод абсолютных интенсивностей в спектрах плазмы. В принципе, такая возможность обсуждается давно (см., напр., [10]), но при реализации встречает трудности, связанные с необходимостью детального учета баланса процессов возбуждения и дезактивации излучающих состояний, и такой подход считается мало надежным [11]. В данной работе используются достижения последних лет по измерениям функций распределения электронов по энергиям (ФРЭЭ) в широкой области энергий, их концентраций и современные базы данных для кинетики атомов на выделенных уровнях.
2) В упомянутых актинометрических методах результаты измерений усреднены по объему разряда. В данном случае спектральные измерения проводятся с пространственным разрешением, что позволяет соотнести результаты оптических измерений с результатами локальных зондовых измерений параметров электронной компоненты плазмы.
В качестве плазмообразующего газа используется гелий с добавками паров воды при пониженных давлениях. Измеряются концентрации атомов гелия и образующихся атомов водорода.
2. ЭКСПЕРИМЕНТ И МЕТОДИКИ ИЗМЕРЕНИЙ
Установка “Течь” описана в работах [1, 3, 4] и содержит вакуумную камеру объемом 22 литра. Остаточное давление составляет 5 × 10−7 мбар. Контроль давления в разных диапазонах осуществляется датчиками: Pfeiffer TPR280, Thyracont VSH89DL, Pfeiffer CMR363, Atovac ACM200. Камера имеет несколько каналов напуска газов, систему прогрева стенок. В данных экспериментах давление смеси Не–Н2О варьируется в пределах единиц или долей mbar. Схема основных систем установки представлена на рис. 1. Разрядное устройство внутри камеры 1 содержит медный прямоугольный (100 × 50 × 10 мм3) полый катод 2 с внешним изолятором из тефлона 3. Катод изображен в сечении 50 × 10 мм2. Одна сторона катода, обращенная к аноду, не имеет стенки. Анод 4 представляет собой стальную прямоугольную (размер 100 × 10 мм2) сетку, при этом площадь поверхности металла сетки, обращенная к катоду, составляла 650 мм2. Расстояние между срезом катода и анодом 30 мм. Разряд поддерживался источником стабилизированного напряжения Sh0105 (0−2 кВ) при электрическом токе до 500 мA, который определялся внешним охлаждаемым балластным сопротивлением в цепи 1 kΩ .
Рис. 1.
Схема измерений: 1 – вакуумная камера; 2 – медный катод; 3 – тефлоновый изолятор катода; 4 – сетчатый анод; 5 – зонд; 6 – фланцы с кварцевыми окнами; 7 – осветительная система; 8 – монохроматор МДР-204. I и II направления световых потоков из области зондов и открытой стороны катода.

Измерения функции f(u) распределения электронов по энергиям u (ФРЭЭ) и концентрации электронов Ne проводились одиночными зондами Ленгмюра [8, 9, 12]. Опорным электродом был заземленный анод. Использовался зонд из вольфрамовой проволоки (диаметр 0.1 мм, открытая длина 2 мм) с керамическим изолятором с внешним диаметром 2 мм. Открытая часть зонда размещалась напротив геометрического центра открытой стороны катода в промежутке между анодом и катодом на расстояниях 3, 11, 19, 27 мм от катода (направление х по оси катода на рис. 1).
Для корректных измерений необходимо избежать деградации поверхности зонда в результате загрязнений [13]. Этому способствует периодическая очистка его поверхности, что может делаться разными способами. В работе [14] на зонд подается положительный потенциал, и за счет большого электронного тока из плазмы на зонд очистка происходит посредством нагрева. Возможна подача на зонд отрицательного потенциала, в таком случае очистка идет за счет ионной бомбардировки [15]. Наш опыт показал, что оптимальным является совместное применение двух способов очистки зонда, − как током электронов, так и током ионов [16]. В режиме очистки мы подаем на зонд напряжение в виде периодического пилообразного сигнала в диапазоне напряжений от −230 В до +230 В в течение около 60 секунд. Очистка проводилась после каждого измерения ФРЭЭ, которое в интересах статистики включало серию из 256 записей вольт-амперных характеристик (ВАХ) зонда и занимало около 20 с. Воспроизводимость ВАХ обеспечивалась в течение 10−15 минут экспозиции зонда в плазме после очистки.
Для нахождения ФРЭЭ использовался недавно разработанный подход [7–9, 17, 18], при котором ВАХ зондовой цепи формируется при подаче напряжения в виде комбинации шумовых и периодических сигналов. При этом удается значительно уменьшить ошибки в определении ФРЭЭ по сравнению с традиционным только периодическим сигналом (например, пилообразным или синусоидальным). Изменяя соотношение величин шумового и периодического сигналов, можно оптимизировать точность измерений в более подробно интересующей области энергий ФРЭЭ.
Спектральные измерения проводились в положениях I и II оптической системы. В положении I оптическая ось смещалась в направлении х на расстояния 3 мм, 11 мм и 19 мм от среза катода, соответствующих локализации зондовых измерений. Эти измерения проводились отдельно в отсутствие зонда. Пространственное разрешение в направлении х в области плазмы около 3 мм. В положении II регистрировалось излучение вдоль направления у одновременно из зоны между катодом и анодом с разрешением около 3 мм и зоны внутри катода со средним вдоль луча разрешением в направлениях y и z около 4 мм.
Для измерений абсолютных интенсивностей в различных спектральных линиях использовалась калибровка с помощью вольфрамовой банд-лампы СИ8-200у [1]. При измерении в положении II учитывалось пропускание сетки анода. Подробности калибровки и оптические параметры установки “Течь” описаны в работе [1].
3. РЕЗУЛЬТАТЫ ИЗМЕРЕНИЙ И ИХ ОБСУЖДЕНИЕ
3.1. Распределения электронов по энергиям
Измерения проводились в разрядах в гелии (Не) при концентрации 5.4 × 1016 см−3 и в его смесях с парами воды (H2O) при концентрациях паров 4.1 × 1015 см−3 и 1.4 × 1016 см−3. Ток разряда во всех случаях стабилизирован при значении i = 150 мА. Выбор величины тока связан с наиболее стабильным горением разряда. Для разных газовых смесей этому соответствовали напряжения на разрядном промежутке 350 В (${{N}_{{{{{\text{H}}}_{{\text{2}}}}{\text{O}}}}}$ = 0 см−3), 400 В (${{N}_{{{{{\text{H}}}_{{\text{2}}}}{\text{O}}}}}$ = 4.1 × 1015 см−3) и 450 В (${{N}_{{{{{\text{H}}}_{{\text{2}}}}{\text{O}}}}}$ = 1.4 × × 1016 см−3).
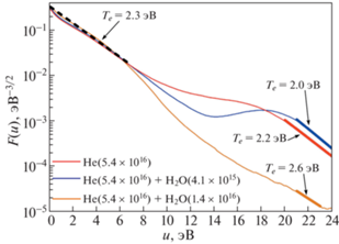
ФРЭЭ на расстоянии 3 мм от катода приведены на рис. 2 в двух часто используемых нормировках с аббревиатурами: EEDF (electron energy distribution function F(u) при $\int {F(u){\text{d}}u = 1} $, [эВ−1], рис. 2a) и EEPF (electron energy probability function $f(u) = {{u}^{{ - 1/2}}}F(u)$ при $\int {{{u}^{{1/2}}}f(u){\text{d}}u} = 1$, [эВ−3/2], рис. 2б). Ожидаемой особенностью прямых контактных зондовых измерений является искажение ФРЭЭ в области малых энергий. Оно связано с эффектом “стока” электронов на зонд Ленгмюра, и это объясняется тем, что, при определенных условиях, скорость диффузии “медленных” электронов не достаточна для обеспечения их прихода из плазмы в ту область, из которой они попадают на зонд уже без столкновений [7, 12]. Впервые эффект стока электронов для сферических зондов был рассмотрен в [19], для цилиндрических [20]. В работе [7] приведены формулы для параметра “стока”, используемые разными авторами для цилиндрического зонда, предложен метод коррекции, измеренной зондом ФРЭЭ, учитывающий искажения, вносимые эффектом “стока” электронов. Результаты в основных полях рис. 2a, б получены с его использованием. На вставках рис. 2a, б показаны результаты традиционных прямых измерений, не скорректированные на “сток”. Видно, что учет “стока” приводит к изменениям ФРЭЭ в области не только малых, но и высоких энергий, что следует принимать во внимание при анализе условий возбуждения спектральных линий [7].
Рис. 2.
Измеренные ФРЭЭ (зонд в 3 мм от среза катода) при разных концентрациях молекул воды. На врезках – распределения без коррекции на “сток”. a – формат EEDF, б – формат EEPF (см. текст).

Сток электронов, возможно, не единственная причина погрешности зондовых ФРЭЭ в низкоэнергетической части. В областях плазмы вблизи анода ФРЭЭ может обедняться медленными электронами из-за их поглощения анодом [21]. Область этого возмущения может заметно превышать толщину анодного слоя, достигая нескольких миллиметров и даже сантиметров. В “длинных” разрядах этот факт экспериментально был ранее зафиксирован в единичных работах [22] и не привлек внимания. В рассматриваемых нами “коротких” разрядах он может играть существенную роль, когда на измеряемые ФРЭЭ влияют два механизма: один связан с близостью анода, другой искажает ФРЭЭ за счет эффекта стока электронов. Возмущения анодом являются естественной составляющей общего физического механизма горения разряда. Соотношение вкладов этих эффектов в вид ФРЭЭ зависит от давления газовой смеси, ее состава и расстояния до анода. Этот вопрос находится в самом начале исследований, например, в работе [21] методами прямого численного моделирования Монте-Карло показано, что возмущения анодом вблизи него могут превышать аппаратные возмущения, связанные с эффектом стока на зонд. Можно также отметить влияние конечного сопротивления плазмы [23, 24] и зондовой цепи на вид ФРЭЭ в области низких энергий [14, 23, 24]. Однако в рамках данной работы эти эффекты не рассматриваются.
В недавних работах [25, 26] методами прямого численного моделирования показано, что в промежутке с постоянным электрическим полем энергии электронов могут осциллировать в пространстве, что связано с нелокальностью электронной кинетики. При этом ФРЭЭ может иметь несколько максимумов. Такая ситуация подтверждается в наших экспериментах и иллюстрируется на рис. 3 в нормировке EEDF. В направлении от катода (первичный источник электронов) к аноду ФРЭЭ трансформируется, и имеется избыток быстрых (в интервале 7−22 эВ) электронов, который утрачивается по мере удаления от катода тем быстрее, чем больше концентрация молекул воды. Это связано с потерями энергии электронов при диссоциации молекул Н2О (сечение диссоциации σ ~ 10−17 см2), ионизации (σ ~ 10−16 см2) и др. Пороги сечений этих процессов находятся в области энергий 7 и 12.6 эВ, соответственно [27]. Такое поведение ФРЭЭ при добавлении паров воды может быть так же связано с тем, что в разряде молекулы воды диссоциируют, в результате рекомбинационных процессов образуются молекулы водорода H2 и кислорода О2 [4], при этом потери энергии электронов могут происходить также и при столкновении электронов с ними.
Рис. 3.
Измеренные ФРЭЭ на разном расстоянии от катода при разных концентрациях молекул воды (концентрация He – 5.4 × 1016 см−3): a – 0 см−3; б – 4.1 × 1015 см−3; в – 1.4 × 1016 см−3. На вставках показано детальное поведение ФРЭЭ при больших энергиях электронов.

На рис. 4 более подробно показан вид ФРЭЭ в формате EEPF для трех смесей плазмообразующих газов на расстоянии 3 мм от среза катода. Там же отрезками прямых линий показана линейная аппроксимация функций, что соответствует эффективным парциальным “температурам” в различных областях энергий. Отметим, что, как в области низких (0−6) эВ, так и в области высоких (20−24) эВ энергий, температуры сопоставимы (2.0−2.6) эВ, в то время как в промежуточной области (8−16) эВ понятие температуры распределения ввести проблематично. Такое поведение вряд ли можно связать с обменом энергией между свободными и связанными электронами, диссоциацией, ионизацией (большие энергии) или электронами с колебаниями или вращениями молекул (малые энергии), поскольку соотношение групп зависит от места измерения (рис. 3). По-видимому, оно связано с упомянутым выше нелокальным процессом “перетекания” электронов быстрой группы, формируемой в полом катоде, в область малых энергий, характерных для положительного столба разряда. Как видно из рис. 2 и 3 процесс установления пространственных осцилляций энергии оказывается тем быстрее, чем больше содержание молекул воды.
3.2. Концентрации электронов
Измерения концентраций электронов Ne проводились зондовым методом с использованием формулы [8, 9]
Здесь ip – величина тока в цепи зонда при напряжении на зонде, равном потенциалу плазмы (потенциал плазмы определялся по нулю второй производной ВАХ зонда), $v$ – средняя скорость электронов, вычисляемая из измеренных ФРЭЭ, S – площадь зонда. Формула (1) не учитывает эффект стока электронов на зонд, поскольку расчеты, выполненные в работе [7], показывают, что, в отличие от влияния на ФРЭЭ, поправки к концентрациям на явление “стока” слабо зависят от напряженности электрического поля в плазме, − в условиях данной работы при давлениях газа p ≤ 3 mbar эти поправки не превышают 10%. Результаты измерений показаны на рис. 5, и дополнительно были произведены измерения на расстоянии от катода при x = 27 мм. Видно, что в направлении от катода к аноду концентрации электронов падают. Это особенно выражено для разряда в смесях с добавками к концентрации молекул воды. В этих случаях, в зависимости от величины добавки, падение концентрации электронов составляет от 10 до 50 раз. По нашим оценкам, за такое поведение концентрации электронов в пространстве можно указать на два механизма. Первый из них относится к случаям с добавками молекул воды и связан с диссоциативным прилипанием. В результате плазмохимических превращений молекул воды образуются различные частицы, среди которых, кроме молекул Н2О наиболее представлены молекулы О2 и Н2 [5]. При столкновениях с электронами они, в свою очередь, диссоциируют с образованием ионов H− и О−. В области энергий электронов (4–15) эВ, с учетом характерного вида ФРЭЭ, в наших условиях наибольший вклад в потери электронов дают молекулы О2, соответствующие сечению σatt процесса прилипания электрона О2 + е → О + О− составляют σatt ~ (5 × 10−20–10−18) см2 в области энергий электронов (4–10) эВ [28]. Константы скорости прилипания Katt получаются интегрированием σatt по энергиям с ФРЭЭ, полученной из зондовых измерений. Скорость дрейфа электронов вычислялась как Vd = Eμ, при этом напряженность поля Е берется из эксперимента, подвижность электронов μ также находится по измеренной ФРЭЭ. Скорость дрейфа электронов определяется так
(2)
${{V}_{d}} = - \sqrt {\frac{{2e}}{m}} \frac{1}{3}\frac{E}{N}\int\limits_0^\infty {\frac{u}{{\sum\nolimits_j {{{y}_{j}}{{Q}_{{mj}}}(u)} }}\frac{{df(u)}}{{du}}du} ,$(3)
$\frac{{d{{N}_{e}}}}{{dx}} = \frac{N}{{{{V}_{d}}}}\left( {{{K}_{{ion}}} - {{K}_{{att}}}} \right){{N}_{e}} = - \alpha {{N}_{e}},$Рис. 5.
Экспериментальные зависимости концентрации электронов в разряде от расстояния для разных газовых смесей. Штрихпунктирные линии – аппроксимация экспериментальных результатов экспоненциальным законом спада Ne = Ae−αx.

Сопоставление сечений процесса прилипания электронов к основным молекулам показывает, что вкладом молекул Н2 в этот суммарный процесс можно пренебречь. В табл. 1 приведены расчетные отношения констант скоростей прилипания и ионизации для молекул О2 и Н2О на различных расстояниях х от катода. Во всем разрядном промежутке скорости потерь превышают скорости ионизации, что обеспечивает спад Nе в разрядном промежутке от катода к аноду. Видно, что характер поведения соотношения скоростей прилипания и рождения электронов в промежутке для этих молекул схож. В условиях настоящей работы прямых измерений концентраций Н2О и О2 в плазме не проводилось, поэтому на рис. 5 мы приводим аппроксимацию экспериментальных данных по соотношению 3 с эмпирическими значениями потерь α. Спад концентраций электронов близок к экспоненциальному. Увеличение α с увеличением добавок паров воды в плазмообразующем газе объясняется тем, что, как показывают результаты измерений в работе [5, 6] в иных, но аналогичных условиях, концентрации молекул Н2О и О2 также увеличиваются.
Таблица 1.
Отношение констант скоростей диссоциативного прилипания электронов к молекулам кислорода к константам скоростей их ионизации Katt/Kion (О2) и воды Katt/Kion (Н2О). Разрядные условия: E = = 2.3 В/см, начальная смесь He(5.4 × 1016 см−3) + + H2O(1.4 × 1016 см−3)
| Х, мм | 3 | 11 | 19 | 27 |
|---|---|---|---|---|
| Katt /Kion (О2) | 1.5 | 2.4 | 5.8 | 2.2 |
| Katt/Kion (Н2О) | 1.7 | 2.6 | 5.7 | 3.2 |
Из рис. 5 видно, что в разряде в чистом гелии концентрации Nе неоднородны. При этом оснований отнести это к влиянию механизма прилипания не имеется, что указывает на протекание и другого механизма. По нашему мнению, он может быть связан с изменением подвижности электронов μ. В условиях эксперимента ток разряда задан. Если допустить, что конфигурация линий тока в промежутке между срезом катода и сеткой анода неизменна и плотность тока j также задана, то j = eNeEμ. Расчеты подвижности по измеренным ФРЭЭ вдоль оси симметрии разряда в чистом гелии в условиях рис. 5 (измеренная напряженность поля Е = 0.23 В/см) показывают, что величина μ заметно меняется от 8.7 × 104 cм2/В/с (х = 3 мм) до 3.7 × 105 cм2/В/с (х = 27 мм). Это должно было бы привести к падению Ne между катодом в 2.35 раза, тогда как измерения дают падение около 4.5 раза. Надо заметить, однако, что в эксперименте падение не экспоненциально, его темп возрастает вблизи анода. Можно допустить, что это связано с отмеченными выше и мало пока изученными особенностями формирования Ф-РЭЭ в этой области [21, 22]. Разумеется, эффект возникновения градиента Ne за счет уменьшения подвижности имеет место и при разряде в гелии с добавками молекул, но, как видно из рисунка 5, этот эффект маскируется механизмом потерь из-за диссоциативного прилипания электронов.
3.3. Интенсивности свечения
По измеренным распределениям электронов по энергиям ФРЭЭ и концентрациям Ne можно рассчитать абсолютную интенсивность I излучения на выбранных длинах волн λ частиц, проявляющихся в спектре свечения разряда. Для ФРЭЭ в нормировке EEDF
(4)
$I = Nhc{{\lambda }^{{ - 1}}}{{N}_{e}}\sqrt {\frac{{2e}}{m}} \,\int\limits_0^\infty {\sigma (u)F(u)\sqrt u du} .$Здесь N – концентрация частиц в основном состоянии; h – постоянная Планка; c – скорость света; σ – сечение возбуждения излучающего уровня из основного состояния прямым электронным ударом; m, e – масса и заряд электрона. Интенсивность излучения в нашем случае имеет размерность фотон/см3/с. Формула (4) предполагает, что частицы возбуждаются из основного состояния в излучающее состояние прямым электронным ударом, а его дезактивация происходит при спонтанном излучении – корональная модель (КМ) [10]. Для неравновесной плазмы с ее развитыми механизмами взаимодействия частиц между собой и с излучением, КМ хотя и является простейшей из известных, широко используется для оценок плотностей возбужденных частиц. В нашем случае есть возможность проверить ее на некоторых конкретных примерах, поскольку все величины в формуле (4) известны или измеряются локально. При этом надо учитывать следующие обстоятельства:
– В формуле (4) σ(u) = σGk(u) – сечение возбуждения уровня k из основного состояния G. Уровень k является верхним для наблюдаемого в эксперименте оптического перехода k–l. С этого же верхнего уровня k могут происходить переходы на несколько других нижних уровней j (j ≠ l). Если формула КМ (4) используется для нахождения концентрации частиц N в основном состоянии, то кроме интенсивности I (соответствующей переходу k–l) в правую часть формулы (4) будут входить и интенсивности, соответствующие другим переходам, куда будет идти часть энергии возбуждения. Поэтому измеренную величину I на длине волны перехода k–l нужно делить на фактор ветвления Br, определяемый как
где A – коэффициенты спонтанного излучения (коэффициенты Эйнштейна).– Для некоторых переходов оптическая плотность может быть конечна или даже велика, если они заканчиваются на уровнях l основного состояния, метастабильных или резонансных уровнях, и возникает “пленение” излучения [10]. Для рассматриваемых нами условий пониженной плотности газа уширение линий допплеровское. Если длина волны λ измеряется в нанометрах, концентрации N в см−3, то показатель поглощения (в см−1) в центре контура линии
(6)
${{\kappa }_{0}} = 1.23 \times {{10}^{{ - 33}}}\frac{{{{g}_{k}}}}{{{{g}_{l}}}}\lambda _{{kl}}^{4}\tfrac{{{{A}_{{kl}}}}}{{\Delta {{\lambda }_{D}}}}{{N}_{l}},$Если верхний и/или нижний уровни вырождены, и тонкая структура спектрального мультиплета не разрешается, вводятся усредненные коэффициенты Эйнштейна
(9)
${{A}_{{{{n}_{k}}{{n}_{l}}}}} = {{\left( {\sum\limits_{k = 1}^{{{n}_{k}}} {{{g}_{k}}} } \right)}^{{ - 1}}}\left( {\sum\limits_{k = 1}^{{{n}_{k}}} {\sum\limits_{l = 1}^{{{n}_{l}}} {{{g}_{k}}{{A}_{{kl}}}} } } \right).$Очевидно, в исследуемой нами геометрии разряда для оценки пленения следует брать наименьший размер плазмы d ≈ 1 см.
3.3.1. Интенсивности свечения линий атома He. Гелий практически не подвержен превращениям, его содержание в плазме определяется исходным составом, и этот газ является удобным объектом для анализа применимости КМ при определении его концентрации и роли в изучаемых процессах.
Измерялись абсолютные интенсивности 14 линий гелия (Не) в разряде в области в интервале длин волн 320–730 нм на различных расстояниях от катода. Длины волн указаны в табл. 2 и приведены на схеме термов гелия на рис. 6. Ряд из них представляют собой мультиплеты со структурой уже, чем 10−2 нм, не разрешаемые в условиях измерений. Использовалась текущая редакция базы данных NIST [29]. В табл. 2 приведены экспериментальные значения абсолютных интенсивностей и расчетные данные, выполненные в рамках КМ (4). Для вычисления констант скоростей возбуждения электронных уровней атома гелия из основного состояния по формуле (4) и скорости дрейфа электронов с использованием измеренных ФРЭЭ по формуле (2) использовались сечения возбуждения и транспортное сечение, предложенные Biagi v8.97 и приведенные в базе данных [30]. При расчетах предполагалось, что концентрация атомов He однородна в промежутке анод-катод и, с учетом теплового вытеснения (температура 330 К), их концентрация составляет 5.4 × 1016 см−3. Для расчета скорости возбуждения верхних уровней переходов прямым электронным ударом из основного состояния использовались экспериментальные данные по ФРЭЭ и Ne, коэффициенты Эйнштейна Akl, суммированные по компонентам неразрешенной структуры мультиплетов. По данным [29] общее число радиационных переходов с участием верхнего и нижнего уровней для 14 регистрируемых в эксперименте мультиплетов составляет 1219 из общего числа 1529 в широком интервале длин волн от ВУФ до средней ИК-области, причем коэффициенты Akl для многих из них сопоставимы. Значения коэффициентов Эйнштейна Akl в зависимости от длины волны приведены на рис. 7. За исключением ВУФ-переходов в основное состояние, которые практически полностью пленены, все они учитывались при расчете факторов ветвления Br, также приведенных в табл. 2.
Таблица 2.
Сравнение измеренных (exp) и расчетных (calc) абсолютных интенсивностей излучения линий, данных об энергии верхнего возбужденного уровня, числа линий в мультиплете и фактора ветвления Br на разном расстоянии от полого катода (3 мм, 11 мм, 19 мм), измеренные интенсивности линий из катодной области. Измерения выполнены в гелии He при концентрации атомов 5.4 × 1016 см−3
| λ, нм | Энергия верхнего уровня, эВ | Число линий в мультиплете | Фактор ветвления Br | Интенсивность, 1013 с−1 · см−3 | |||||
|---|---|---|---|---|---|---|---|---|---|
| 3 мм | 11 мм | 19 мм | |||||||
| calc | exp | calc | exp | calc | exp | ||||
| 318.77 | 23.71 | 3 | 0.81 | 21.5 | 5.7 | 5.6 | 2.4 | 1.9 | |
| 381.96 | 24.20 | 6 | 0.67 | 1.5 | 1.9 | 0.4 | 0.1 | 0.2 | 0.13 |
| 388.86 | 23.01 | 3 | 0.90 | 94.5 | 60.4 | 23.1 | 12.9 | 8.6 | 7.7 |
| 396.47 | 23.74 | 1 | 0.80 | 17.4 | 3.6 | 4.6 | 1.2 | 2.0 | 1.6 |
| 402.61 | 24.04 | 6 | 0.71 | 2.98 | 8.8 | 0.78 | 1.9 | 0.4 | 2.8 |
| 412.08 | 23.97 | 3 | 0.48 | 9.0 | 1.1 | 2.3 | 1.7 | 0.8 | |
| 438.79 | 24.04 | 1 | 0.65 | 4.3 | 2.8 | 1.1 | 0.4 | 0.6 | 0.39 |
| 447.14 | 23.74 | 6 | 0.79 | 7.3 | 26.2 | 1.9 | 7.4 | 0.8 | 0.6 |
| 471.31 | 23.59 | 3 | 0.33 | 13.9 | 6.4 | 3.5 | 1.0 | 3.6 | 1.2 |
| 492.19 | 23.74 | 1 | 0.74 | 10.8 | 12.1 | 2.7 | 3.5 | 1.3 | 0.96 |
| 501.56 | 23.09 | 1 | 0.98 | 70.7 | 75.5 | 17.8 | 25.4 | 6.3 | 6.1 |
| 587.56 | 23.07 | 6 | 0.99 | 25.2 | 42.5 | 6.1 | 8.5 | 2.1 | 2.07 |
| 667.81 | 23.07 | 1 | 1.0 | 39.5 | 66.1 | 9.6 | 8.1 | 3.2 | 3.2 |
| 728.13 | 22.92 | 1 | 1.0 | 10.0 | 9.7 | 24.2 | 1.4 | 8.0 | 8.0 |
Рис. 6.
Схема термов гелия, принимающих участие в формировании спектра, регистрируемого в эксперименте.

Рис. 7.
Значения коэффициентов Эйнштейна Aki в зависимости от длины волны перехода в He (из базы данных [29]).

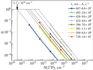
Был проведен анализ возможного влияния пленения излучения на наблюдающихся в эксперименте переходах, у которых нижние уровни являются метастабильными 23S, 23P или резонансными 21S, 21P. Заселенности уровней, переходы с которых в основное синглетное состояние пленены (при концентрации гелия в условиях измерений факторы ускользания Θ < 10−3), могут быть сопоставимы с заселенностями триплетных метастабильных уровней. Пример такого анализа показан на рис. 8 для переходов, завершающихся на уровне 21P, где показаны величины фактора ускользания Θ-излучения в зависимости от заселенности этого уровня. При заселенности 3.7 × × 1010 см−3 и менее плазма прозрачна для всех переходов. Наиболее проблематичен случай для перехода с длиной волны 667 нм и максимальным коэффициентом Эйнштейна. Для него величина Θ близка к 10−1 достигается уже при концентрации атомов на резонансном уровне около 5 × × 1011 см−3. Такой же результат получается и для перехода 587 нм с нижним уровнем 23P. Во всех остальных случаях (эти рисунки мы не приводим) результаты не сильно отличаются, – заметное пленение достигается при заселенностях резонансных и метастабильных уровней более 1012 см−3. Плазма прозрачна (при Θ ≈ 1) при их заселенностях менее 3 × 1011 см−3 (501 нм), 5 × × 1011 см−3 (587 нм) и 9 × 1011 см−3 (389 нм). По нашим оценкам и измерениям [31] заселенности в разных условиях в разрядах в газах, содержащих гелий, как правило, меньше, − и пленение можно не учитывать.
В табл. 2 приведены данные для интенсивностей в разряде в гелии с концентрацией He (5.4 × × 1016 см−3). Аналогичные измерения и расчеты проведены в различных областях разрядов в смесях He (5.4 × 1016 см−3) + H2O (1.4 × 1016 см−3) и He (5.4 × 1016 см−3) + H2O (4.1 × 1015 см−3), при этом общие тенденции во всех случаях сохраняются:
А. В спектрах можно выделить несколько переходов (389, 492, 502, 588, 668 нм), абсолютные интенсивности которых при расчете по корональной модели (КМ) и при использовании экспериментальных ФРЭЭ, Ne и учете ветвления согласуются с измеренными значениями с точностью лучше фактора 2. Эти переходы могут использоваться для диагностики состояния плазмы и процессов в ней в рамках КМ.
Б. Для других исследованных переходов (табл. 2) расхождения расчетов и прямых измерений интенсивностей значительно больше, и могут достигать величин 3–8 раз.
В случае А переходы могут использоваться для диагностики плазмы в рамках КМ. Из абсолютных интенсивностей линий могут быть оценены с приемлемой погрешностью концентрации атомов в основных состояниях. Такой результат подтверждает, в частности, наши оценки и возможности пренебрежения пленением излучения.
В случае Б, очевидно, за баланс заселенностей различных излучающих уровней в неравновесной плазме ответственны механизмы, существенно дополняющие прямое электронное возбуждение и радиационный распад. Это могут быть процессы, приводящие и к заселению (радиационные и столкновительные каскады, электрон-ионная рекомбинация), и к тушению (обмен энергией между частицами, инициирование, при наличии молекул, химических превращений и хемоионизация). Если говорить об измерении концентраций частиц в основных состояниях, то первая группа механизмов приведет к недооценке концентраций, вычисленных из измеренных интенсивностей по КМ, вторая, напротив, к переоценке. Последовательно учесть эти и иные механизмы в настоящее время вряд ли возможно, в первую очередь, из-за недостаточности сведений об элементарных процессах с участием частиц в выделенных энергетических состояниях. Можно допустить, однако, что именно благодаря множественности таких реакций, приводящих как к рождению, так и к разрушению частиц в различных состояниях, использование большого числа оптических переходов приведет к статистическому уравновешиванию вкладов с разным знаком в баланс заселенностей всей группы возбужденных частиц, формирующих эти переходы. Важную роль в интерпретации расхождений измеренных и рассчитанных в рамках КМ интенсивностей излучения и переходов, могут играть неточности в различных оригинальных источниках и базах данных по сечениям возбуждения электронных уровней из основного состояния.
На рис. 9 показаны результаты использования КМ для определения концентрации атомов гелия из измеренных абсолютных интенсивностей с поправками на ветвление для всей совокупности регистрируемых переходов для пространственных областей разряда, удаленных от катода на расстояния 3, 11 и 19 мм. Ввиду сказанного выше большая дисперсия результатов вполне ожидаема. Однако усредненные по всем 14 наблюдаемым переходам (верхним излучающим уровням) приводит к значению концентрации гелия 〈N〉 = = (5.5 ± 0.2) × 1016 см−3, совпадающему с реальной концентрацией N = 5.4 × 1016 см−3. Следует отметить, что такой результат получается не только в чистом гелии, но и в его смеси с молекулами воды, когда локальные параметры плазмы (-ФРЭЭ, потенциал, концентрации электронов) также меняются. В последнем случае из-за усложнения химического состава плазмы следует предположить также увеличение числа процессов заселения и тушения излучающих уровней. Совпадение средних значений концентрации атомов, получаемых в эксперименте, по-видимому, вновь следует связать с разнонаправленностью их влияния и статистическому уравновешиванию значений.
Рис. 9.
Результаты применения модели КМ для восстановления усредненных концентраций 〈N〉 атомов гелия в различных областях разряда из абсолютных интенсивностей 14 мультиплетов. Случай разряда в гелии (He) и смеси гелия с молекулами воды (He + + H2O).

Обсудим еще один параметр, также имеющий статистический смысл. Несмотря на то, что в отсутствие термодинамического равновесия понятие температуры не определено, часто вводят “эффективные температуры” [10], о чем уже упоминалось в разделе 3.1. Это дает определенные удобства при описании неравновесной системы за счет уменьшения числа параметров. В ряде случаев это физически оправдано, если распределение частиц по состояниям энергии рассматриваемого ансамбля может быть описано с помощью формулы Больцмана (колебательные, поступательные, вращательные “температуры”). По сложившейся терминологии, если рассматриваются заселенности возбужденных уровней по отношению к основному состоянию, такой параметр называют “температура возбуждения” Texc. Если речь идет об относительных заселенностях в группе возбужденных состояний, используется понятие “температура распределения” Tp. Часто такие “температуры” в системе электронных уровней атома или молекулы отождествляют с температурой электронов, хотя так определяемая температура имеет ограниченный смысл.
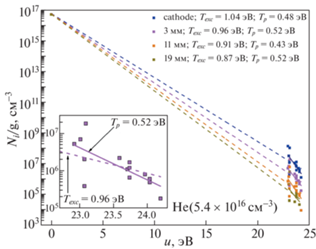
Поскольку в данной работе одновременно измеряются заселенности основного и возбужденных состояний и ФРЭЭ, можно проиллюстрировать условность таких соотнесений. На рис. 10 показаны распределения атомов по уровням основного и возбужденных состояний в разряде в гелии, измеренные на разных расстояниях от катода при наблюдении в геометрии лучей I (рис. 1). Для сравнения приведены распределения внутри катода на его оси, полученные при измерении в геометрии II. По заселенности возбужденных уровней относительно заселенности основного состояния введены “температуры возбуждения” Texc, по относительным заселенностям внутри групп возбужденных уровней, – “температуры распределения” Tp. Если сравнить эти распределения с распределениями электронов по энергиям (рис. 4) с их условными “максвелловскими температурами”, можно видеть, что определенных корреляций между ними не имеется. Количественные расхождения слишком велики, чтобы говорить даже о приближенных измерениях Ф-РЭЭ по спектрам электронных переходов.
Рис. 10.
Распределения атомов по уровням основного и возбужденных (интервал энергий 23–24 эВ) состояний. Указаны “температуры” возбуждения Texc и заселения Tp на разных расстояниях от катода и внутри катода.

3.3.2. Интенсивности свечения линий атома водорода. В измерениях использовались линии атомарного водорода серии Бальмера Hα(656.28 нм) и Hβ(486.14 нм), и регистрировались суммарные интенсивности мультиплетов для переходов между уровнями с главными квантовыми числами n = 3(gk = 18) → n = 2(gl = 8) и n = 4(gk = 32) → n = = 2(gl = 8), соответственно. Для проверки исходного предположения о применимости КМ при описании процесса заселения излучающих состояний с n = 3 и n = 4 нами были проанализированы результаты ряда опубликованных работ по возбуждению атомов водорода электронами плазмы. Использовались данные по сечениям наиболее вероятных реакций, и проводился расчет скоростей этих процессов в условиях наших экспериментов с использованием определенных из эксперимента ФРЭЭ и концентрации электронов. Данные для процессов прямого электронного возбуждения атомов из основного состояния и диссоциативного возбуждения молекул приведены в табл. 3.
Таблица 3.
Константы скорости возбуждения верхних уровней атомов водорода с n = 3 и n = 4 переходов для линий Hα и Hβ, рассчитанные по измеренной ФРЭЭ (после коррекции) для разрядов в начальной газовой смеси гелия с молекулами воды: He (5.4 × 1016 см−3) + H2O(1.4 × 1016 см−3). Расстояние от среза катода x = 3 мм
| № | Процесс | Константа, см3/с | Ссылка на используемое сечение | |
|---|---|---|---|---|
| Случай 1 | Случай 2 | |||
| 1 | H2 + e → Hα + H + e | 7.9 × 10−14 | 3.7 × 10−14 | [32] |
| 2 | H + e → Hα + e | 4.1 × 10−12 | 3.5 × 10−12 | [32] |
| 3 | H + e → Hα + e | 6.2 × 10−12 | [33] | |
| 4 | H + e → Hα + e | 1.5 × 10−11 | [34] | |
| 5 | H2 + e → Hβ + H + e | 9.1 × 10−15 | 8.0 × 10−16 | [32] |
| 6 | H + e → Hβ + e | 9.9 × 10−13 | 7.3 × 10−13 | [32] |
| 7 | H + e → Hβ + e | 2.0 × 10−12 | [33] | |
| 8 | H + e → Hβ + e | 4.3 × 10−12 | [34] | |
В работе [32] изучались два случая: 1 – измерения со скрещенными электронно-молекулярными пучками (низкая плотность газа, заселенности уровней тонкой структуры формируются индивидуально в соответствии с их парциальными сечениями возбуждения) и 2 – эксперименты в плазме (более высокая плотность, уровни тонкой структуры перемешиваются и образуют ансамбль с некоторой эффективной температурой распределения). Из представленных данных табл. 3 видно, что результаты зависят от выбора сечений, но константы скорости возбуждения из основного состояния на 2–3 порядка выше для возбуждения атомов Н по сравнению с диссоциативным возбуждением молекул Н2. Для того, чтобы скорости возбуждения по этим каналам были сопоставимы, нужно, чтобы степень диссоциации Н2 была менее 1% для n = 3 и менее 0.1% для n = 4. Плазмохимические расчеты, выполненные в работах [4, 5] для условий, близких к условиям настоящих экспериментов, показывают, однако, что эта величина составляет 10% и более.
Помимо указанных двух процессов возбуждения линий серии Бальмера в литературе обсуждается возможность селективного по атомным уровням возбуждения в результате диссоциативной рекомбинации молекулярных ионов. Так, в работах [35, 36] рассматривается образование возбужденных атомов при рекомбинации ионов молекулы водорода с электроном с образованием двух атомов водорода, один мз которых в возбужденном состоянии ${\text{Н}}_{2}^{ + }$ + е → Н + Н* (n > 1). При этом, однако, абсолютные сечения σ процесса не известны, хотя в работе [35] численно промоделирована зависимость от концентрации n их относительных значений, что может быть аппроксимировано как σ(n) ~ n−3. Наши измерения абсолютных интенсивностей такой зависимости не подтверждают. С нашей точки зрения отсутствие вклада этого рекомбинационного процесса связано с тем, что основными молекулярными ионами в наших условиях являются H3O+ или более сложные гидратированные ионы [37]. В пользу H3O+ говорит существование быстрой реакции H2O+ + H2O → H3O+ + OH (константа скорости 1.7 × 10−9 см3/с) [38]. Эта двухчастичная реакция может протекать при пониженных давлениях и подавлять механизм рекомбинационного возбуждения линий серии Бальмера с участием ${\text{Н}}_{2}^{ + }$. Таким образом, основным механизмом возбуждения линий Бальмера является прямое электронное возбуждение атома водорода.
Для анализа радиационных процессов использовалась наиболее полная база NIST [29]. Выбирались оптические переходы, так или иначе влияющие на заселенности излучающих уровней n = 3 и n = 4. Их меньше, чем в случае с гелием. Рассмотрено более 50 радиационных переходов от ВУФ до средней ИК-области. Среди них отбирались те, для которых усредненные по тонкой структуре коэффициенты Эйнштейна Ank и Anl сопоставимы с A32, A42. Их включение в дополнение к КМ позволяло учитывать факторы Θ ускользания фотонов из плазмы, факторы Br(n) ветвления переходов с уровня n на ниже лежащие уровни. Такие переходы показаны на рис. 11.
Рис. 11.
Оптические переходы, учитываемые при анализе интенсивностей линий Бальмера с указанием длины волны излучения, в скобках соответствующие величины коэффициентов Эйнштейна A.

Помимо используемых в измерениях линий Hα и Hβ для учета ветвления переходов следует учитывать ВУФ-линии Лаймана Lβ и Lγ с большой оптической плотностью и ИК-линию из серии Пашена (переход с n = 4 на n = 3), дающую, помимо Hβ, Lα и Lβ, вклад в ветвление переходов с уровня n = 4. На рис. 11 указаны также длины волн переходов, коэффициенты Эйнштейна А и статистические веса g уровней n.
Для выяснения влияния факторов ветвления, пленения и каскадных переходов на результаты расчетов концентраций атомов N ≈ N1 использовались три схемы:
1) Корональная модель КМ (4) без учета каскадов и пленения излучения. Концентрации находились по вычисленным локальным константам скоростей K13, K14 возбуждения электронных уровней водорода с n = 3 и n = 4 из основного состояния с использованием определенных из зондовых измерений ФРЭЭ, а также из измеренных концентраций электронов и абсолютных интенсивностям линий ${{{\text{H}}}_{\alpha }}(I_{{32}}^{{{\text{H}}\alpha }})$ и ${{{\text{H}}}_{\beta }}(I_{{42}}^{{{\text{H}}\beta }})$
(10)
$N_{1}^{{{\text{H}}\alpha }} = \frac{{I_{{32}}^{{{\text{H}}\alpha }}}}{{{{K}_{{13}}}{{n}_{e}}}},\quad N_{1}^{{{\text{H}}\beta }} = \frac{{I_{{42}}^{{{\text{H}}\beta }}}}{{{{K}_{{14}}}{{n}_{e}}}}.$2) КМ с добавлением ИК-каскада с n = 4 на n = 3 (в уравнениях учтено, что A43 ≈ A42)
(11)
${{K}_{{13}}}{{n}_{e}}N_{1}^{{{\text{H}}\alpha }} + \frac{1}{2}{{K}_{{14}}}{{n}_{e}}N_{1}^{{{\text{H}}\beta }} \approx {{A}_{{32}}}{{N}_{3}} = I_{{32}}^{{{\text{H}}\alpha }},$(12)
${{K}_{{13}}}{{n}_{e}}N_{1}^{{{\text{H}}\alpha }} + \frac{1}{2}{{K}_{{14}}}{{n}_{e}}\frac{{2I_{{42}}^{{{\text{H}}\beta }}}}{{{{K}_{{14}}}{{n}_{e}}}} \approx {{A}_{{32}}}{{N}_{3}} = I_{{32}}^{{{\text{H}}\alpha }},$(13)
$N_{1}^{{{\text{H}}\alpha }} \approx \frac{{I_{{32}}^{{{\text{H}}\alpha }} - I_{{42}}^{{{\text{H}}\beta }}}}{{{{K}_{{13}}}{{n}_{e}}}}.$3) КМ с добавлением ИК-каскада с n = 4 на n = 3, ветвления и пленения Hα, Hβ, Lβ и Lγ
(14)
$\begin{gathered} {{K}_{{14}}}{{n}_{e}}N_{1}^{{{\text{H}}\beta }} = ({{\Theta }_{{H\alpha }}}{{A}_{{42}}} + {{A}_{{43}}} + {{\Theta }_{{L\gamma }}}{{A}_{{31}}}){{N}_{4}} = \\ \, = I_{{42}}^{{{\text{H}}\beta }} + {{I}_{{43}}} + I_{{41}}^{{{\text{L}}\gamma }}, \\ \end{gathered} $(15)
$\begin{gathered} {{K}_{{13}}}{{n}_{e}}N_{1}^{{{\text{H}}\alpha }} + \frac{{{{A}_{{43}}}}}{{{{A}_{{43}}} + {{\Theta }_{{H\alpha }}}{{A}_{{42}}} + {{\Theta }_{{L\gamma }}}{{A}_{{31}}}}}{{K}_{{14}}}{{n}_{e}}N_{1}^{{{\text{H}}\beta }} = \\ \, = ({{A}_{{32}}} + {{\Theta }_{{L\beta }}}{{A}_{{31}}}){{N}_{3}} = I_{{32}}^{{{\text{H}}\alpha }} + I_{{31}}^{{{\text{L}}\beta }}. \\ \end{gathered} $Из табл. 4 видно, что схемы 1 ) и 2) приводят к различным результатам при измерениях по линиям Hα и Hβ, причем результаты измерений по Hα занижены по сравнению с таковыми при измерениях по Hβ. Анализ показал, что это связано с ниже следующими причинами.
Таблица 4.
Концентрации атомов водорода в основном состоянии N ≈ N1 ≡ NH(n= 1), определенные по линиям Hα ($I_{{exp}}^{{{\text{H}}\alpha }}$ = 1.4 × 1013 с−1 см−3) и Hβ ($I_{{exp}}^{{{\text{H}}\beta }}$ = 0.7 × 1013 с−1 см−3). Θ – факторы ускользания. Случай * – для КМ добавлен процесс ветвления; ** – добавлен процесс ветвления и пленения линий Hα, Hβ, Lβ и Lγ . Смесь гелия с молекулами воды: He(5.4 × 1016 см−3) + H2O(1.4 × 1016 см−3), расстояние от среза катода 3 мм
| Вариант | $N_{1}^{{{\text{H}}\alpha }}$, см−3 | $N_{1}^{{{\text{H}}\beta }}$, см−3 | ΘHα | ΘHβ | ΘLβ | ΘLγ |
|---|---|---|---|---|---|---|
| 1 | 7.8 × 1013 | 19 × 1013 | – | – | – | – |
| 2 | 3.9 × 1013 | 38 × 1013 | – | – | – | – |
| 3а*, N2 = 5.2 × 1011 см−3 | 39 × 1013 | 38 × 1013 | 0.1 | 1 | – | – |
| 3б**, N2 = 5.2 × 1011 см−3 | 39 × 1013 | 38 × 1013 | 0.1 | 1 | 2 × 10−3 | 10−2 |
Во-первых, наличие сильной линии Пашена (переход 4 → 3) создает дополнительный канал заселения уровня n = 3 и уменьшает время жизни уровня n = 4 за счет ветвления. В отсутствие пленения этот фактор определяется соотношением коэффициентов Эйнштейна. Во-вторых, уровень n = 2 является резонансным и переход с n = 2 → → n = 1 соответствует линии с конечной оптической плотностью. Для вычисления концентрации атомов водорода в состоянии n = 2NH(n= 2) с эффективным временем жизни, превышающем радиационное, требуется учет многих процессов, включая тушение тяжелыми частицами, удары 2 рода с электронами и диффузию. По этим причинам в ряде работ проводились измерения NH(n= 2) методами спектроскопии высокой чувствительности в широком диапазоне значений параметров плазмы. Типичные значения концентраций находились в интервале (1010−1012) см−3. Примеры приведены в табл. 5.
Таблица 5.
Примеры результатов измерений концентраций атомов водорода H(n = 2) в разрядах различного типа. Методы: DLS – диодная лазерная спектроскопия, CRDS – затухания света в резонаторе
| Тип разряда | Метод | Газ наполнения, давление |
|---|---|---|
| ВЧ 13.56MHz, трубкa D = 16 мм, (1–3) кВт, 350 Гс | DLS | H2 (30–110) мТорр; 656 нм; NH(n= 2) ~ (0.3–4) × 1010 см−3 [39, 40] |
| Микроволновый 2.45 ГГц, (150–700)Вт, длительность импульса 2.7 мс, трубка D = 16 мм | DLS | (1–3)Торр H2:O2(99:1); NH(n= 2) ~ (1–20) × 1010 см−3 [41] |
| ВЧ 13.56 МГц, Мощность 22кВт, D = 40 мм | CRDS | H2 6 Торр, 60 мм от катушки; Нβ 486.1 нм NH(n= 2) ~ 1010–1011 см−3 [42] |
В таком диапазоне заселенностей резонансного уровня следует учитывать и возможное пленение излучения линий Hα и Hβ. Для линии Hα коэффициент Эйнштейна примерно в 5 раз выше, чем для Hβ (рис. 11), что занижает истинную (первичную) интенсивность Hα. При использовании схемы 3 ) для учета пленения геометрическая длина оптического пути принималась равной наименьшему размеру разряда 1 см (рис. 1). Взаимное согласование результатов при этом достигается при заселенности уровня NH(n= 2) = 5.2 × × 1011 см−3. Заметим, что основное влияние оказывает различие в пленении Hα и Hβ. Пленение линий Lβ и Lγ, заканчивающихся на уровне основного состояния водорода, хотя и различно, но велико и практически не влияет на измерения по линиям Hα и Hβ, что видно из сопоставления результатов обработки измерения по схемам 3 а и 3б в табл. 4.
4. ЗАКЛЮЧЕНИЕ
На примерах атомов водорода и гелия рассмотрена возможность применения корональной модели (КМ) для диагностики неравновесной плазмы на уровне современных достижений в технике измерений и полноты существующих баз данных по спектральным характеристикам атомов и элементарным процессам. В условиях разряда во влажном гелии пониженного давления, поддерживаемого полым катодом, проведены локальные измерения концентраций электронов Ne, их распределений по энергиям (ФРЭЭ) и потенциалов плазмы. Эти данные использованы для интерпретации локальных абсолютных интенсивностей спектральных линий, часто привлекаемых для диагностики плазмы. В качестве контрольного рассмотрен вопрос о возможности установления концентрации атомов в основном состоянии по интенсивностям линий при переходах между возбужденными уровнями.
Показано, что решение этого вопроса возможно, если КМ дополняется учетом ветвления и пленения не только для наблюдаемых, но и для иных переходов, имеющих общие с ними уровни. При заселении и дезактивации индивидуальных излучающих уровней типична ситуация, когда в этом участвуют и иные трудно идентифицируемые процессы помимо прямого электронного возбуждения и излучения. Пример развитого спектра атома гелия показывает, что в таких условиях отступления от результатов по КМ наблюдаются как в сторону переоценки абсолютных интенсивностей, так и в сторону их недооценки. Если, однако, регистрируется спектр переходов с участием большого числа уровней, статистическое усреднение, несмотря на большую дисперсию, приводит к результатам, соответствующим условиям экспериментов и совпадающим с таковыми по КМ.
Продемонстрировано хорошее согласие по определению концентрации атомов водорода по абсолютным интенсивностям линий Hα и Hβ. Показано, что в условиях эксперимента при использовании КМ надо учитывать процессы ветвления и пленение излучения первым возбужденным уровнем.
Наблюдаемые распределения атомов гелия по возбужденным состояниям и детальные зондовые измерения ФРЭЭ не подтверждают часто допускаемую в литературе по диагностике плазмы возможность измерений энергий электронов с помощью введения парциальных “температур возбуждения и распределения”, определяемых по спектрам атомов.
Авторы благодарны Н.А. Дятко и В.В. Лагунову за помощь при проведении исследований и участии в обсуждении результатов.
Работа выполнена за счет средств Российского научного фонда, проект № 19-12-00310.
Список литературы
Bernatskiy A.V., Ochkin V.N., Afonin O.N., Antipen-kov A.B. // Plasma Physics Reports. 2015. V. 41. P. 705. https://doi.org/10.1134/S1063780X15090032
Афонин О.Н., Очкин В.Н., Савинов С.Ю., Цхай С.Н. Электроразрядный способ обнаружения микротечей паров воды. Патент на изобретение № 2494362. Рег. 27 сентября 2013 года.
Bernatskiy A.V., Kochetov I.V., Ochkin V.N. // Plasma Physics Reports. 2020. V. 46. P. 874. https://doi.org/10.1134/S1063780X20090020
Bernatskiy A.V., Kochetov I.V., Ochkin V.N. // Plasma Sources Science and Technology. 2019. V. 28. 105002. https://doi.org/10.1088/1361-6595/ab4301
Bernatskiy A.V., Kochetov I.V., Ochkin V.N. // Journal of Physics D: Applied Physics. 2016. V. 49. 395204. https://doi.org/10.1088/0022-3727/49/39/395204
Bernatskiy A.V., Ochkin V.N. // Plasma Sources Science and Technology. 2017. V. 26. 015002. https://doi.org/10.1088/0963-0252/26/1/015002
Andreev S.N., Bernatskiy A.V., Dyatko N.A., Koche-tov I.V., Ochkin V.N. // Plasma Sources Science and Technology. 2021. V. 30. 095004. https://doi.org/10.1088/1361-6595/ac1ee2
Andreev S.N., Bernatskiy A.V., Ochkin V.N. // Vacuum. 2020. V. 180. 109616. https://doi.org/10.1016/j.vacuum.2020.109616
Andreev S.N., Bernatskiy A.V., Ochkin V.N. // Plasma Chemistry and Plasma Processing. 2021. V. 41. P. 659. https://doi.org/10.1007/s11090-020-10137-4
Очкин В.Н. Спектроскопия низкотемпературной плазмы. М.: Физматлит, 2010. [Ochkin V.N. Spectroscopy of Low-Temperature Plasma. New York: -WILEY-VCH, 2009] https://doi.org/10.1002/9783527627509
Peverall R., Ritchie G.A.D. // Plasma Sources Science and Technology. 2019. V. 28. 073002. https://doi.org/10.1088/1361-6595/ab2956
Demidov V.I., Koepke M.E., Kurlyandskaya I.P., Mal-kov M.A. // Physics of Plasmas. 2020. V. 27. 020501. https://doi.org/10.1063/1.5127749
Godyak V.A., Alexandrovich B.M. // Journal of Applied Physics. 2015. V. 118. 233302. https://doi.org/10.1063/1.4937446
Godyak V.A., Demidov V.I. // Journal of Physics D: -Applied Physics. 2011. V. 44. 233001. https://doi.org/10.1088/0022-3727/44/23/233001
Rudenko K.V., Myakon’kikh A.V., Orlikovsky A.A., Pustovit A.N. // Russian Microelectronics. 2007. V. 36. P. 14. https://doi.org/10.1134/S1063739707010027
Andreev S.N., Bernatskiy A.V., Ochkin. V.N. // Vacuum. 2022. V. 206. 111514. https://doi.org/10.1016/j.vacuum.2022.111514
Andreev S.N., Bernatskiy A.V., Ochkin V.N. // Journal of Applied Spectroscopy. 2021. V. 88. P. 289. https://doi.org/10.1007/s10812-021-01171-x
Andreev S.N., Bernatskiy A.V., Ochkin V.N. // Physics of Atomic Nuclei. 2021. V. 84. P. 1757. https://doi.org/10.1134/S1063778821090039
Swift J.D. // Proceedings of the Physical Society. 1962. V. 79. P. 697. https://doi.org/10.1088/0370-1328/79/4/303
Lukovnikov A.I., Novgorodov M.Z. // Soviet Physics – Lebedev Institute Reports. 1971. V. 1. P. 27.
Andreev S.N., Bernatskiy A.V., Dyatko N.A., Koche-tov I.V., Ochkin V.N. // Plasma Sources Science and Technology. 2022. V. 31. P. 105016. https://doi.org/10.1088/1361-6595/ac9750
Golubovskii Y.B., Al Hawat S.H. // Soviet Physics-Technical Physics. 1987. V. 32. P. 25. http://mi.mathnet.ru/jtf510
Иванов Ю.А., Лебедев Ю.А., Полак Л.С. Методы контактной диагностики в неравновесной плазмохимии. М.: Наука, 1981.
Демидов В.И., Колоколов Н.Б., Кудрявцев А.А. Зондовые методы исследования низкотемпературной плазмы. М.: Энергоатомиздат, 1996.
Dyatko N.A., Kochetov I.V., Ochkin V.N. // Plasma Sources Science and Technology. 2020. V. 29. 125007. https://doi.org/10.1088/1361-6595/abc412
Dyatko N.A., Kochetov I.V., Ochkin V.N. // Physical Review E. 2021. V. 104. 065204. https://doi.org/10.1103/PhysRevE.104.065204
Itikawa Y., Mason N. // Journal of Physical and Chemical Reference Data. 2005. V. 34. P. 1. https://doi.org/10.1063/1.1799251
Rapp D., Englander-Golden P. // The Journal of Chemical Physics. 1965. V. 43. P. 1464. https://doi.org/10.1063/1.1696957
NIST Atomic Spectra Database Lines Data https://physics.nist.gov/PhysRefData/ASD/lines_form.html
Biagi (transcription of data from SF Biagi’s Fortran code, Magboltz) www.lxcat.net/Biagi
Ochkin V.N. // Physics-Uspekhi https://doi.org/10.3367/UFNe.2021.07.039026
Lavrov B.P., Pipa A.V. // Optics and Spectroscopy. 2002. V. 92. P. 647. https://doi.org/10.1134/1.1481126
Drawin H.W. Report EUR-CEA-FC-383, Fontenay-aux-Roses. 1967. www.lxcat.net
Вайнштейн Л.А., Собельман И.И., Юков Е.А. Возбуждение атомов и уширение спектральных линий. М.: Наука, 1979.
Zhdanov V.P., Chibisov M.I. // Sov. Phys. JETP. 1978. V. 47. P. 38.
Wünderlich D., Fantz U. // Atoms. 2016. V. 4. P. 26. https://doi.org/10.3390/atoms4040026
Liu D.X., Bruggeman P., Iza F., Rong M.Z., Kong M.G. // Plasma Sources Science and Technology 2010. V. 19. 025018. https://doi.org/10.1088/0963-0252/19/2/025018
Мак-Ивен М., Филипс Л. Химия атмосферы. М.: Мир, 1978.
Baev V.M., Latz T., Toshek P.E. // Applied Physics B. 1999. V. 69. P. 171. https://doi.org/10.1007/s003400050793
Aramaki M., Okumura Y., Goto M., Muto S., Morita S., Sasaki K. // Japanese Journal of Applied Physics. 2005. V. 44. P. 6759. https://doi.org/10.1143/JJAP.44.6759
Rousseau A., Teboul E., Sadeghi N. // Plasma Sources Science and Technology. 2004. V. 13. P. 166. https://doi.org/10.1088/0963-0252/13/1/022
Wu S., Inoue H., Kambara M., Yoshida T. // Japanese Journal of Applied Physics. 2013. V. 52. 071301. https://doi.org/10.7567/JJAP.52.071301
Дополнительные материалы отсутствуют.




