Физика плазмы, 2023, T. 49, № 9, стр. 831-884
Газодинамическая многопробочная ловушка ГДМЛ
Д. И. Сковородин a, b, *, И. С. Черноштанов a, b, **, В. Х. Амиров a, В. Т. Астрелин a, b, П. А. Багрянский a, А. Д. Беклемишев a, b, А. В. Бурдаков a, c, А. И. Горбовский a, И. А. Котельников a, Э. М. Магоммедов d, С. В. Полосаткин a, b, c, В. В. Поступаев a, b, В. В. Приходько a, b, В. Я. Савкин a, Е. И. Солдаткина a, b, А. Л. Соломахин a, А. В. Сорокин a, А. В. Судников a, b, М. С. Христо a, b, С. В. Шиянков a, Д. В. Яковлев a, В. И. Щербаков d
a Институт ядерной физики им. Г.И. Будкера Сибирского отделения РАН
Новосибирск, Россия
b Новосибирский национальный исследовательский государственный университет
Новосибирск, Россия
c Новосибирский государственный технический университет
Новосибирск, Россия
d ЗАО “СуперОкс”
Москва, Россия
* E-mail: D.I.Skovorodin@inp.nsk.su
** E-mail: I.S.Chernoshtanov@inp.nsk.su
Поступила в редакцию 24.03.2023
После доработки 30.05.2023
Принята к публикации 24.06.2023
- EDN: QDUIUX
- DOI: 10.31857/S0367292123600322
Аннотация
Посвящено предложенному в ИЯФ СО РАН проекту открытой ловушки нового поколения – Газодинамической многопробочной ловушки (ГДМЛ). Целью проекта является обоснование возможности применения открытых ловушек в качестве термоядерных систем: источника нейтронов и, в перспективе, термоядерного реактора. Основные задачи проекта заключаются в разработке технологий длительного поддержания плазмы в открытой ловушке, оптимизации параметров источника нейтронов на основе газодинамической ловушки и демонстрации методов улучшения удержания плазмы. Магнитовакуумная система установки будет состоять из центральной ловушки, многопробочных секций, улучшающих продольное удержание плазмы, и расширителей, предназначенных для размещения приемников плазменного потока. Установка будет сооружаться в несколько этапов. Стартовая конфигурация в общих чертах повторяет схему установки ГДЛ и будет включать в себя центральную ловушку с сильными магнитными пробками и расширителями. Она позволит решить две основные задачи: оптимизировать параметры источника нейтронов на основе газодинамической ловушки и исследовать физику перехода к конфигурации диамагнитной ловушки с высоким относительным давлением β ≈ 1, что позволит существенно увеличить эффективность системы. В данной статье описан технический облик стартовой конфигурации установки и изложены физические принципы, на которых основан проект ГДМЛ.
1. ВВЕДЕНИЕ
Открытые ловушки [1–4] являлись важным направлением раннего этапа исследований по физике магнитного удержания высокотемпературной плазмы. Вдохновляющий рост параметров плазмы, продемонстрированный на нескольких поколениях сменяющих друг друга токамаков, сделал токамаки основным направлением в термоядерных исследованиях. Физика и техника открытых ловушек продолжали развиваться в качестве альтернативного направления исследований. Продолжение работ по открытым ловушкам было мотивировано потенциальными физическими и инженерными достоинствами линейных магнитных систем для удержания плазмы, которые требовалось доказать в реальном эксперименте. Принципиально, открытые магнитные ловушки являются стационарными, позволяют достичь высокого относительного давления плазмы в области удержания ${{\beta }} = 8{{\pi }}{{p}_{ \bot }}{\text{/}}B_{{v}}^{2} \approx 1$ (где ${{p}_{ \bot }}$ – поперечное давление плазмы, ${{B}_{{v}}}$ – вакуумное магнитное поле, создаваемое катушками) и, в случае осесимметричных конфигураций, в определенных условиях могут иметь коэффициенты поперечной диффузии в десятки раз меньше, чем у тороидальных систем [5]. Мы кратко упомянем возможность максимально эффективного использования современных магнитных технологий, поскольку магнитное поле на оси плазмы лишь незначительно меньше поля на проводниках; существенно менее напряженные условия работы для поверхностей, контактирующих с плазмой; модульность установок, которая делает их ремонтопригодными даже для реакторных масштабов. К настоящему времени направление открытых ловушек подошло к важному логическому этапу своего развития. Основные физические проблемы, выявленные на ранних этапах исследований линейных магнитных систем (МГД-устойчивость, аномальные потери из-за развития микронеустойчивостей), были успешно решены.
В этой статье мы обсуждаем проект открытой магнитной ловушки следующего поколения, которая должна продемонстрировать возможность получения и квазистационарного удержания плазмы с субреакторными параметрами. Представленный проект является определенным компромиссом, в котором длительность существования плазмы была ограничена несколькими секундами, что позволило значительно упростить конструкцию приемников плазмы и лимитеров, магнитную систему и системы нагрева плазмы. При успехе представленной научной программы, данный компромисс может быть снят путем постепенной модернизации отдельных модулей и систем установки.
Газодинамическая многопробочная ловушка (ГДМЛ) – это открытая ловушка нового поколения для удержания горячей плазмы, концепция которой развивается в ИЯФ СО РАН [6, 7]. Целью проекта является обоснование возможности создания термоядерной системы на основе открытой магнитной ловушки: источника нейтронов и, в перспективе, термоядерного реактора. Кроме физических принципов, проверенных на установках предыдущего поколения, проект Г-ДМЛ должен позволить изучить новые методы удержания плазмы и продемонстрировать существенное увеличение эффективности открытой ловушки [8]. В качестве методов подавления потерь из ловушки рассматриваются диамагнитное удержание плазмы с относительным давлением β ≈ 1 [9, 10], а также использование многопробочных [11, 12] и геликоидальных секций [13, 14].
Источник нейтронов на основе газодинамической ловушки [15–18], по-видимому, может рассматриваться как наиболее близкая к практической реализации термоядерная система открытого типа. Основной целью такого источника является испытание материалов будущего термоядерного реактора в потоке быстрых нейтронов. Плазма в источнике нейтронов удерживается в осесимметричном соленоиде, магнитное поле которого усиливается на концах. Основным методом нагрева плазмы в ловушке является наклонная инжекция мощных пучков нейтральных частиц (также называемых атомарными пучками), которые ионизуются в плазме и захватываются в ловушке в виде ионов с большой энергией. В результате в плазме формируются две ионные компоненты: теплые ионы мишенной плазмы и анизотропная популяция быстрых ионов. Именно быстрые ионы обеспечивают протекание термоядерных реакций в плазме. Пикировка плотности быстрых ионов вблизи точек остановки позволяет управлять профилем выделения нейтронов вдоль установки, создавая компактные зоны с высоким потоком нейтронов. Энергетическая эффективность генерации нейтронов определяется временем удержания частиц и энергии в ловушке. В базовом варианте для ограничения их потерь используется технология газодинамического удержания мишенной плазмы, основанная на использовании областей с сильным магнитным полем – магнитных пробок – на торцах ловушки и расширителей за ними. Расчеты показывают, что эта технология позволяет получить ~1018 нейтронов в секунду в реакции D–T-синтеза при мощности нагрева плазмы ~50 МВт [18]. Улучшение продольного удержания плазмы позволит расширить спектр его практического применения. Рассматриваются такие задачи, как дожигание минорных актинидов, наработка ценных изотопов, либо создание гибридного реактора деления с термоядерным драйвером [19, 20].
Для проверки физических основ нейтронного источника на основе газодинамической ловушки в ИЯФ СО РАН была создана и эксплуатируется установка ГДЛ [21]. На ней было продемонстрировано устойчивое удержание плазмы с популяцией быстрых ионов со средней энергией частиц порядка 10 кэВ, при этом давление плазмы достигает половины от давления магнитного поля [22]. В подобных системах с двухкомпонентной плазмой время торможения анизотропной популяции быстрых ионов определяется их столкновениями с электронами. Поэтому для увеличения времени жизни быстрых ионов и, тем самым, для увеличения эффективности открытой ловушки как термоядерной системы, ключевой задачей является увеличение электронной температуры. На ГДЛ впервые в открытых системах была получена температура электронов плазмы ~1 кэВ в квазистационарных условиях [23–25], ранее достигавшаяся только в коротких импульсах в многопробочной ловушке ГОЛ-3 [26]. В последние годы в мире были предложены проекты ALIANCE [18, 27] и WHAM Neutron Source [28], которые предполагают строительство серии плазменных установок, конечной целью которых является создание источника термоядерных нейтронов. Проект ГДМЛ позволит не только решить аналогичные задачи, но и развивать физику и технологии улучшения продольного удержания плазмы в открытых ловушках.
В настоящее время основным каналом потерь энергии плазмы и частиц из ловушки ГДЛ считаются продольные потери, на снижение которых направлено основное внимание в проекте ГДМЛ. Вместе с тем, турбулентность плазмы из-за развития разного рода неустойчивостей, потери быстрых ионов в результате перезарядки, рециклинг в пристеночной области также являются важными факторами деградации удержания плазменной энергии. Эти проблемы эффективно решаются в установке ГДЛ, но могут стать существенными при изменении конструкции установки и параметров плазмы. Например, в амбиполярных ловушках (GAMMA-10, TMX-U) с подавленными продольными потерями наблюдалась интенсивная дрейфовая турбулентность и существенный турбулентный перенос плазмы поперек магнитного поля. В базовом режиме ГДМЛ, аналогичном ГДЛ, проблема дрейфовой турбулентности ожидается не столь острой, но новые режимы удержания определенно нуждаются в экспериментальной верификации в части подавления турбулентных переносов.
Подавление потерь плазмы позволяет в перспективе рассматривать открытые ловушки в качестве энергетического реактора термоядерного синтеза. Кроме сравнительной технической простоты, открытая ловушка имеет несколько привлекательных достоинств: отличное удержание быстрых ионов в аксиально-симметричном магнитном поле и возможность достижения высокого относительного давления плазмы β. Аксиально-симметричная ловушка с большим давлением плазмы имеет много общих черт с конфигурацией с обращенным магнитным полем (field reversed configuration, FRC) [29] и наряду с ней имеет принципиальную возможность использования альтернативных бестритиевых топлив, которые недоступны тороидальным системам. Для достижения этой цели требуется совершить большой скачок, как по параметрам плазмы, так и по времени ее удержания. Одним из таких шагов может быть переход к режиму диамагнитного удержания [9]. Вытеснение магнитного поля плазмой высокого давления приводит к увеличению пробочного отношения и уменьшению газодинамических потерь через пробку. Идея метода диамагнитного удержания заключается в достижении предельно большого значения относительного давления β ≈ 1, при котором магнитное поле практически полностью вытеснено из плазмы. Время жизни плазмы в этом режиме должно определяться поперечной диффузией плазмы из зоны удержания [10] и бесстолкновительными потерями, вызванными нарушением адиабатичности движения частиц [30]. Изучение возможности формирования такого состояния плазмы в ловушке, его устойчивости, особенностей равновесия и скейлингов времени жизни является частью физической программы установки ГДМЛ.
В качестве дополнительного метода подавления продольных потерь, который совместим как с газодинамическим, так и диамагнитным режимами удержания, в проекте ГДМЛ предусмотрено применение специальных многопробочных (либо более сложных геликоидальных [13, 14]) секций. Эти секции будут использоваться вместо одиночных магнитных пробок – для ограничения потока плазмы из ловушки вдоль магнитного поля. Магнитное поле в многопробочных секциях образует последовательность пробочных ловушек. Если длина свободного пробега частиц сравнима с расстоянием между пробками, течение плазмы приобретает диффузионный характер [11]. При термоядерных температурах парные столкновения могут обеспечить требуемый темп рассеяния только при высокой плотности n = = 1016–1018 см−3, поэтому долгое время многопробочный реактор считался принципиально импульсным устройством. Однако в экспериментах на многопробочной ловушке ГОЛ-3 было показано, что коллективное рассеяние ионов может обеспечивать оптимальные условия для удержания плазмы при умеренной плотности [31, 32]. При длине ловушки 12 метров энергетическое время жизни плазмы с температурой ионов 1–3 кэВ и плотностью порядка 1015 см−3 достигло 1 мс, что почти на 2 порядка превышает классические оценки. Многопробочная система длиной порядка 10–20 метров, по-видимому, может на порядок увеличить энергетическую эффективность источника нейтронов на основе газодинамической ловушки, позволив достичь коэффициента термоядерного усиления мощности Q ~ 0.5. Поэтому изучение работы многопробочных секций в стационарном режиме является важной частью программы исследований на установке ГДМЛ.
Установка ГДМЛ будет иметь модульную структуру, поэтому физические задачи проекта могут решаться на разных этапах ее строительства. В стартовой конфигурации магнито-вакуумная система установки будет включать в себя центральную секцию с сильными магнитными пробками и расширители за пробками, предназначенные для размещения приемников плазмы. Нагрев плазмы будет осуществляться за счет наклонной инжекции мощных пучков нейтральных частиц и дополнительного введения СВЧ-мощности. Основной физической задачей стартовой конфигурации является моделирование физических процессов в нейтронном источнике на основе газодинамической ловушки. Магнитная система стартовой конфигурации установки ГДМЛ проектируется таким образом, чтобы обеспечить гибкость в проведении экспериментов. Важной задачей является существенное увеличение длительности существования горячей плазмы по сравнению с экспериментами на установке ГДЛ. Кроме демонстрации установившихся параметров плазмы, установка должна позволить перейти к изучению технологий длительного поддержания разряда. Эффективность ловушки в базовом газодинамическом режиме работы определяется величиной магнитного поля в пробке (при условии подавления поперечных потерь), поэтому для достижения наилучших параметров плазмы при длительности разряда порядка секунды целесообразно использовать сверхпроводники для создания пробочных катушек. Для упрощения конструкции установки в настоящее время предполагается использование медных катушек для создания центрального соленоида в комбинации со сверхпроводящими пробками.
В разд. 2 описана конструкция стартовой конфигурации установки ГДМЛ, ее магнитной системы и системы нагрева плазмы. Раздел 3 посвящен вопросам удержания, нагрева и обеспечения устойчивости плазмы в стартовой конфигурации установки. Приводятся результаты численного моделирования для выбранной конструкции и параметров установки ГДМЛ. В разд. 4 обсуждаются дополнительные методы улучшения удержания горячей плазмы в ловушке.
2. ОПИСАНИЕ СТАРТОВОЙ КОНФИГУРАЦИИ УСТАНОВКИ ГДМЛ
Научная программа проекта ГДМЛ интегрирует в себя идеи и технологии, появившиеся в ходе развития нескольких направлений исследований по открытым ловушкам. Часть задач может быть выполнена на ограниченной конфигурации установки, которую мы будем далее называть стартовой конфигурацией ГДМЛ. Выделение стартовой конфигурации позволит сократить сроки от решения о начале реализации проекта до получения первых значимых научных результатов. Стартовая конфигурация установки ГДМЛ в общих чертах повторяет конфигурацию действующей в настоящее время в ИЯФ СО РАН установки ГДЛ [33]. Плазма в установке создается и удерживается в осесимметричном магнитном соленоиде с концевыми секциями, служащими для подавления ее потерь вдоль силовых линий магнитного поля. В стартовой конфигурации установки такими секциями являются компактные соленоиды с высоким (магнитная индукция более 10 Тл) магнитным полем – магнитные пробки. Экспериментальная программа ГДМЛ предполагает исследования как в ловушке с одиночными магнитными пробками, так и в полной конфигурации установки с более сложными концевыми секциями, при помощи которых будут исследоваться перспективные схемы подавления продольных потерь: многопробочное [34] и винтовое [35] удержание плазмы.
Важной особенностью установки станет достижение квазистационарного режима, при котором потери энергии и частиц плазмы компенсируются системами нагрева и подпитки веществом. Длительность работы большинства систем в стартовой конфигурации ГДМЛ выбрана равной двум секундам, а длительность работы системы нейтральной инжекции (пучки атомов водорода) на начальном этапе работ составит 0.3 с. Выбранное время эксперимента превышает характерное время установления равновесных потоков энергии между компонентами плазмы, составляющее по порядку величины 50 мс (разд. 3.2). Ограничение длительности импульса двумя секундами существенно упрощает конструкцию электродов систем нагрева и стабилизации плазмы за счет возможности работы в переходных тепловых режимах, позволяет использовать накопительные источники питания соленоида и систем нагрева, а также упрощает вакуумную систему за счет возможности использования методов откачки, требующих регенерации. В то же время, экспериментальный комплекс допускает увеличение длительности разряда вплоть до полностью стационарного режима при замене импульсных элементов магнитного соленоида на сверхпроводящие и соответствующей модернизации систем нагрева плазмы.
Поддержание разряда с высокотемпературной плазмой длительностью 0.3–2 с происходит за счет инжекции пучков быстрых нейтралов с суммарной мощностью до 24 МВт и энергией атомов водорода 30 кэВ, а также инжекции в плазму СВЧ-излучения мощностью до 6 МВт (разд. 2.2). При этом ожидаются следующие средние по сечению параметры плазмы: температура электронов порядка 1 кэВ, температура теплых ионов 1–2 кэВ, плотности теплых и быстрых ионов порядка 5 × 1013 см−3 (разд. 3.2). Система нейтральной инжекции включает в себя восемь инжекторов нейтральных пучков, разбитых на две группы, расположенные по обеим сторонам установки (рис. 1). Группа из четырех инжекторов подключается к общей вакуумной камере прямоугольного сечения (камера нейтральной инжекции), в которой расположены элементы пучкового тракта: газовая мишень нейтрализации, отклоняющий магнит, калориметр и титановые сорбционные насосы. Размеры камеры нейтральной инжекции определяются, в значительной степени, требованиями к скорости откачки водорода, который сопутствует пучкам быстрых нейтралов. Средний угол инжекции пучков составляет 50.9° по отношению к оси установки.
Рис. 1.
Общий вид стартовой конфигурации установки ГДМЛ. 1 – инжектор атомарного пучка, 2 – соленоид и вакуумная камера центральной секции, 3 – криостат модуля магнитной пробки, 4 – камера нейтральной инжекции, 5 – камера и катушки расширительной секции.

В процессе разряда устанавливается стационарный поток частиц вдоль силовых линий магнитного поля, который переносит большую часть мощности, затраченной на нагрев плазмы. Магнитное поле создается системой медных и сверхпроводящих катушек (разд. 2.1), имеющих круглую форму. Центры катушек расположены на оси, совпадающей с осью вакуумной камеры. Пробочные катушки, создающие магнитное поле величиной до 20 Тл, служат для многократного снижения стационарного продольного потока частиц, что обеспечивает требуемое время удержания теплой компоненты плазмы. После выхода из магнитной пробки поток плазмы расширяется в убывающем по величине магнитном поле и поглощается на приемнике плазмы в торцевой вакуумной камере (рис. 2). В радиальном направлении разряд ограничивается электродами-лимитерами (разд. 2.3), расположенными в центральной вакуумной камере. При помощи подачи потенциала на лимитер осуществляется управление профилем вращения плазмы в скрещенных полях, реализующее схему “вихревого удержания” плазмы (разд. 3.4) с подавленными поперечными магнитогидродинамическими (МГД) потерями [36]. Для дополнительного управления распределением потенциала в плазме используется подача потенциала на секции приемника плазмы в торцевой камере, представляющего из себя систему изолированных электродов, полностью перехватывающую поток плазмы [37].
Рис. 2.
Вакуумная камера и магнитная система стартовой конфигурации установки ГДМЛ в разрезе. 1 – вакуумная камера расширительной секции, 2 – модуль магнитной пробки, 3 – вакуумная камера центральной секции, 4 – порты ввода атомарных пучков, 5 – центральная секция соленоида, 6 – порты ввода СВЧ-излучения.

2.1. Магнитная система и вакуумная камера
В стартовой конфигурации магнитный соленоид установки ГДМЛ состоит из медных катушек центральной секции (рис. 2), сверхпроводящих катушек, расположенных в криостате магнитной пробки (модуль магнитной пробки) и медных катушек расширительной секции.
Катушки центральной секции создают протяженную область удержания с однородным (рис. 3 (1)) или плавно изменяющимся (рис. 3 (2)) вдоль оси установки магнитным полем. В первом случае магнитная система обеспечивает максимальное отклонение поля от среднего значения по области однородности R < 300 мм, zmin < z < zmax не более 1.5%, где zmin и zmax – продольные границы однородного участка. Область удержания заканчивается магнитными пробками. Для монотонного увеличения магнитного поля от области удержания к магнитной пробке и согласования магнитного потока в соленоид включены переходные катушки, являющиеся частью криостата магнитной пробки. Максимальная длина области удержания быстрых ионов достигается в режиме с однородным полем и может составлять до 6 м. Важной особенностью конструкции соленоида ГДМЛ является возможность изменения длины области удержания как путем наращивания числа секций соленоида, так и за счет изменения профиля магнитного поля. Ввиду этого, одним из основных требований к магнитной системе центральной секции является возможность перестройки распределения магнитного поля, которая обеспечивается за счет независимого питания всех катушек соленоида. Возможность перестройки профиля позволяет проводить различные эксперименты с изменяемым в широких пределах пространственным распределением плотности быстрых ионов.
Рис. 3.
Распределение магнитного поля вдоль оси установки. 1 – однородное распределение со значением магнитной индукции В = 1.5 Тл для экспериментов с высоким относительным давлением плазмы, 2 – распределение с плавно нарастающим полем.

Максимальное значение магнитного поля в центральной секции составляет 1.5 Тл. Система питания соленоида позволяет реализовывать два типа временных зависимостей магнитного поля, показанные на рис. 4. В режиме “плато” (рис. 4, сверху) в катушках предварительно создается распределение токов, обеспечивающее магнитное поле с заданным пространственным профилем, после чего происходит переход в режим стабилизации тока, в котором проводится эксперимент длительностью до 2 с. Второй режим (рис. 4, снизу) включает в себя две стадии “плато” и предназначен для экспериментов по изучению диамагнитного удержания плазмы (разд. 4.1). Предполагается, что переход в диамагнитный режим будет производиться в относительно слабом магнитном поле, после чего может быть произведен подъем магнитного поля. На всех стадиях этого эксперимента требуется сохранение однородности магнитного поля, что достигается за счет реализации запрограммированной временной зависимости токов в катушках, а также использования системы обратных связей.
Рис. 4.
Временные зависимости магнитного поля в центральной секции соленоида: стандартный режим “плато” (сверху), специальный режим “ступенчатого” подъема поля (снизу). Штриховкой показаны периоды времени, в которые проводится плазменный эксперимент.

Помимо обеспечения требуемой однородности магнитного поля, сечения обмоток и внутренний диаметр катушек определяются необходимостью размещения внутри соленоида вакуумной камеры и расположения портов для диагностик и систем нагрева плазмы. В табл. 1 приведены параметры обсуждаемого варианта обмоток центральной секции. Катушки изготавливаются из полого медного проводника квадратного сечения, а их конструкция является аналогичной недавно примененной в обмотках тороидального поля токамака Т-15МД [38]. Общие параметры центральной секции магнитной системы приведены в табл. 2.
Таблица 1.
Параметры обмоток центральной секции и источников питания на основе суперконденсаторов
| Катушка | Zцентр, мм | ΔZ × ΔR, мм | Rвнутр, мм | N | Imax, кА | R, мОм | С, Ф | U, В |
|---|---|---|---|---|---|---|---|---|
| C1 | 430 | 250 × 300 | 1100 | 120 | 12.5 | 32.6 | 100 | 1000 |
| C2 | 1200 | 200 × 250 | 700 | 80 | 10.5 | 14.2 | 80 | 750 |
| C3 | 1875 | 200 × 250 | 700 | 80 | 10.5 | 14.2 | 80 | 750 |
| C4 | 2550 | 200 × 250 | 700 | 80 | 13.75 | 14.2 | 110 | 750 |
| C5 | 3225 | 200 × 250 | 700 | 80 | 13.75 | 14.2 | 110 | 750 |
Таблица 2.
Параметры центральной секции магнитной системы и накопительных источников питания
| Энергия магнитного поля, МДж | 27.5 |
| Энергия в накопителях, МДж | 314 |
| Масса меди, т | 24 |
| Температура проводника, °C | <60 |
| Период повторения, мин | 10 |
| Активная мощность, МВт | 27 |
Система питания катушек соленоида построена на базе суперконденсаторных накопителей энергии. Каждая катушка подключена к индивидуальному накопителю с IGBT-ключом, работающим в режиме ШИМ-модуляции и реализующим запрограммированную временную зависимость токового импульса.
Катушки расширительной секции (рис. 2) работают в постоянном режиме и предназначены для корректировки магнитного поля в зоне расширения плазменного потока после выхода из магнитной пробки. При помощи катушек можно изменять кривизну силовых линий для улучшения МГД-устойчивости плазмы, а также варьировать размер потока плазмы, попадающего на торцевую систему электродов. Дополнительной функцией катушек является экранировка поля магнитной пробки, необходимая для работы дуговых испарителей титана (см. далее).
Как будет показано в разд. 3.1, эффективность удержания плазмы в линейных системах существенно зависит от величины магнитного поля в пробке, поэтому пробочная катушка должна создавать максимальное технически достижимое магнитное поле. Недавний прогресс в области высокотемпературных сверхпроводников (ВТСП) [39–42] позволяют рассчитывать на получение в рамках данного проекта магнитного поля до 20 Тл в катушках на основе ВТСП-ленты. Разработка подобных соленоидов для приложений УТС и получение опыта их эксплуатации является важной частью программы исследований на установке ГДМЛ. Принимая во внимание риски, связанные с созданием пробочных катушек с полем на оси в 20 Тл и относительно большой внутренней апертурой соленоида, предусматривается резервный вариант: проработка и изготовление пробочной катушки на основе низкотемпературного сверхпроводника (НТСП) с магнитным полем на оси 12 Тл. Как в ВТСП-, так и в НТСП-варианте соленоид магнитной пробки (рис. 5, “МС”) будет обладать значительной индуктивностью, что накладывает ограничения на скорость изменения магнитного потока вблизи обмотки. Ввиду этого, ближайшие к магнитной пробке катушки должны работать в непрерывном режиме и, в случае переходных катушек, они также должны быть сверхпроводящими. Переходные катушки (рис. 5, “С6”, “С7”) обеспечивают монотонное увеличение магнитного поля от центральной секции к магнитной пробке, частично экранируют ее от наводок, возникающих при импульсе центральной секции, а также создают область постоянного поля величиной 3 Тл для ЭЦР-нагрева плазмы. Требования к магнитному полю в области переходных катушек позволяют рассматривать для их изготовления кабель на основе сплава ниобий-титан NbTi, допускающий подстройку тока на величину до 20% во время нарастания магнитного поля в центральной секции.
Рис. 5.
Криостат и катушки модуля магнитной пробки. 1 – силовая линия магнитного поля, 2 – переходная катушка, 3 – порт ввода СВЧ-пучка, 4 – вакуумная камера криостата, 5 – тепловой экран криостата, 6 – соленоид магнитной пробки на основе ВТСП.

Исходным проводником для намотки соленоида магнитной пробки является лента с высокотемпературным сверхпроводником 2-го поколения (REBCO) шириной 12 мм, разработанная и выпускаемая ЗАО “СуперОкс” [41]. Подобно другим соленоидам с высоким полем на основе ВТСП [40, 42], соленоид магнитной пробки изготавливается по технологии галетной намотки, обеспечивающей ее максимальную прочность. Для дополнительного увеличения механической прочности используется усиленный проводник, получаемый напайкой лент из сплава Hastelloy C276 на обе стороны исходной ВТСП-ленты. В настоящее время, наиболее перспективной представляется намотка галет с межвитковой полимерной изоляцией, а также частичной изоляцией торцевой поверхности, находящейся в контакте с медными тепловыми мостами, расположенными внутри двойных галет. Обмотка пробочного узла имеет Т-образное сечение, которое может быть получено как сборкой двойных галет с переменным внутренним диаметром, так и разделением обмотки на два независимых соленоида. Все двойные галеты соединены друг с другом последовательно при помощи спаев на внешних витках.
Разработка ВТСП-соленоида магнитной пробки требует проведения отдельных НИОКР для снижения рисков, связанных с высокими требованиями к соленоиду и особенностей работы в условиях ГДМЛ. В частности, ключевыми вопросами являются способ охлаждения соленоида, его устойчивость к срывам сверхпроводимости и требования к соответствующим системам защиты, а также значительные ЭДС на обмотке за счет потокосцепления с импульсными катушками соленоида ГДМЛ. Ввиду этого, в рамках эскизного проекта также ведется проработка варианта соленоида магнитной пробки, изготовленного из НТСП на основе сплава ниобия и олова (Nb3Sn). Предлагаемая конструкция такого соленоида основана на многожильном кабеле из НТСП-жил [43]. Магнитное поле в центре соленоида составляет 12 Тл, а магнитный поток равен потоку ВТСП-соленоида. Рассматривается обмотка Т‑образной формы с градацией тока, представляющей из себя внутренний и внешний соленоид, послойно намотанные на единую бобину двумя разными типами кабеля и соединенные последовательно. Параметры НТСП-соленоида приведены в табл. 3.
Таблица 3.
Параметры соленоида магнитной пробки ГДМЛ. *Ic – критический ток, вычисляющийся вдоль нагрузочной прямой соленоида при температуре 4.2 К с учетом анизотропных свойств сверхпроводника
| ВТСП; Т‑образная | ВТСП; 2‑секции | НТСП | |
|---|---|---|---|
| Длина обмотки, мм | 504 | 504 | 493 |
| Внутренний диаметр обмотки, мм | 240 | 240 | 283 |
| Число витков (внут./внеш. секция) | 12 132 | 5000/7200 | 2427 |
| Рабочий ток (I), А | 716 | 515/887.4 | 2385 |
| Запас по току (I / Ic)* | 0.8 | 0.55/0.62 | 0.8 |
| Рабочая температура, К | <4.5 | <15 | <4.5 |
| Индуктивность, Гн | 26.1 | 4.26/12 | 1.24 |
| Запасенная энергия, МДж | 6.7 | 7.3 | 3.5 |
| Магнитное поле в центре, Тл | 20 | 20 | 12 |
| Макс. магнитное поле на проводнике, Тл | 21.6 | 21.5 | 12.8 |
Вакуумная камера центральной секции имеет основной диаметр 1200 мм, который увеличивается до 2000 мм в зоне инжекции нейтральных пучков. Камера набирается из секций цилиндрической и конической формы, уплотнение между которыми выполняется из эластомеров. Внутренняя стенка криостата, который присоединяется к камере центральной секции, выполняет роль первой стенки для плазменного разряда, а также предоставляет пространство для размещения электродов-лимитеров, систем подпитки плазмы и различного диагностического оборудования. В промежутке между сверхпроводящими переходными катушками располагаются порты, предназначенные для ввода СВЧ-пучков в плазму перпендикулярно оси. Вакуумная камера расширительной секции имеет диаметр 2500 мм и присоединяется к криостату магнитной пробки через вакуумный затвор диаметром 900 мм. Помимо различных диагностик, в вакуумной камере располагается секционированный приемник плазмы (разд. 2.3), а также титановый сорбционный насос. Основная откачка центральной камеры происходит через патрубки нейтральной инжекции (разд. 2.2), в которых также устанавливаются сорбционные насосы.
Вакуумная система установки состоит из стандартных высоковакуумных насосов, обеспечивающих откачку до рабочего вакуума перед началом эксперимента, и системы высокопроизводительной откачки, позволяющей поддерживать допустимую концентрацию нейтрального водорода в ловушке во время эксперимента. Высокопроизводительные системы вакуумной откачки водорода установки ГДМЛ построены на базе сорбционных насосов с распыляемым титановым геттером. На рис. 6 показан такой насос, установленный в камере нейтральной инжекции (разд. 2.2); насосы аналогичной конструкции располагаются в камере приемника пучков и камере расширительной секции. В отличие от прототипа данного насоса на установке ASDEX-U [44], основанного на термическом испарении титана, в ГДМЛ планируется применять дуговые испарители для обновления титановой пленки, которые нашли широкое применение на экспериментальных установках в ИЯФ СО РАН [45, 46] и других плазменных установках [47]. Для периодического нанесения нового слоя титана на откачивающие панели 1, происходит зажигание дугового разряда между титановым стержнем 2 и окружающими поверхностями, которое приводит к равномерному распылению тела стержня за счет ретроградного движения катодных пятен. Алюминиевые откачивающие панели рис. 6 – 1 имеют гофрированную S-образную поверхность с дополнительно увеличенной шероховатостью за счет пескоструйной обработки.
В табл. 4 приведены значения потоков водорода в различные части вакуумной камеры при импульсе работы установки в условиях захвата 75% мощности нейтральных пучков в плазме и ионизации 100% газа из системы газонапуска.
2.2. Системы нагрева плазмы
Основным средством нагрева плазмы и формирования популяции быстрых ионов в установке ГДМЛ является система нейтральной инжекции. ИЯФ СО РАН обладает большим опытом в разработке и эксплуатации инжекторов быстрых нейтралов для нагрева плазмы [29, 33, 47]. Важной особенностью эксперимента ГДМЛ, а также термоядерных приложений ловушек открытого типа [18], является отсутствие необходимости в высокой энергии ускоренных атомов, что открывает возможность использования инжекторов на основе источников положительных ионов. В рамках проекта планируется разработка инжектора атомарного водорода с энергией частиц 30 кэВ, мощностью ионного пучка 4.8 МВт и длительностью импульса не менее 0.3 с. Конструкция инжектора является развитием ранее разработанной конструкции инжектора с баллистической фокусировкой атомарного пучка [48], в которой планируется реализовать несколько изменений: переход к щелевой ионно-оптической системе (ИОС) с увеличенной толщиной сеток и увеличенным ускоряющим напряжением; использование длинно-импульсных дуговых генераторов с активным охлаждением; использование камеры нейтрализации увеличенной длины с активной экранировкой магнитного поля и охлаждаемым до 77 К медным лайнером. На рис. 7 показан инжектор ГДМЛ в разрезе. Параметры инжектора приведены в табл. 5.
Рис. 7.
Инжектор ГДМЛ в разрезе. 1 – внешний корпус/магнитный экран, 2 – высоковольтный экран, 3 – дуговой генератор плазмы, 4 – разрядная камера, 5 – ионно-оптическая система, 6 – сильфон, 7 – вакуумный затвор, 8 – нейтрализатор.

Таблица 5.
Параметры нейтрального инжектора ГДМЛ. Помимо протонов в ионно-оптической системе ускоряются молекулярные ионы ${\text{H}}_{{\text{2}}}^{{\text{ + }}}$, ${\text{H}}_{3}^{ + }$ и Н2О+, которые приводят к появлению после нейтрализации атомов водорода с энергиями E/2, E/3 и E/18, где E – энергия основной компоненты пучка нейтралов
| Диаметр электродов ИОС, мм | 340 |
| Число электродов ИОС | 3 |
| Тип ИОС | Щелевая |
| Радиус кривизны сетки, мм | 6000 |
| Рабочий газ | Водород |
| Ускоряющее напряжение, кВ | 30 |
| Ток ионов, А | 160 |
| Мощность ионного пучка, МВт | 4.8 |
| Тип источника плазмы | Дуговой |
| Длительность импульса, с | 0.3 |
| Энергетический состав пучка по току (E:E/2:E/3:E/18)*, % | 85 : 10 : 4 : 1 |
| Угловая расходимость вдоль щелей, мрад | 12 |
| Угловая расходимость поперек щелей, мрад | 20 |
Система инжекции пучков нейтралов установки ГДМЛ (рис. 8) состоит из двух одинаковых модулей, каждый из которых включает в себя камеру пучкового тракта и вакуумную камеру приемника пучков, расположенные друг напротив друга. Каждый модуль содержит по четыре нейтральных инжектора, расположенных в одной плоскости и разнесенных на угол 10° друг относительно друга. Для обеспечения максимально компактного в радиальном направлении профиля энерговклада в плазме, щели ИОС направлены вдоль плоскости инжекции. Помимо отклоняющих магнитов и приемников ионов, в основной камере располагаются поворотные калориметры (рис. 8 – 6 ), предназначенные для измерения мощности нейтральных пучков при настройке инжекторов и ее контроля в процессе экспериментов. Камера инжекции подключается к основной вакуумной камере установки при помощи специального вакуумного затвора вытянутого сечения (рис. 8 – 9) и трапециевидного патрубка (рис. 8 – 7), присоединенного к конической части вакуумной камеры установки. Расчеты траекторий атомарных пучков показывают, что потери мощности во входных патрубках являются пренебрежимо малыми, однако, они достигают ≈2% в выходных патрубках за счет повышенной угловой расходимости вдоль одной из координат.
Рис. 8.
Система нейтральной инжекции ГДМЛ в разрезе. 1 – ионный источник, 2 – отклоняющий магнит, 3 – приемник отклоненных ионов, 4 – вакуумная камера модуля нейтральной инжекции, 5 – титановый сорбционный насос, 6 – поворотный калориметр, 7 – патрубок нейтральной инжекции, 8 – сборка дуговых испарителей титана, 9 – вакуумный затвор модуля нейтральной инжекции, 10 – вакуумная камера приемника атомарных пучков, 11 – блок газовой задержки, 12 – приемник атомарных пучков.

Оси нейтральных пучков одного модуля инжекции расположены в вертикальной плоскости, составляющей угол с осью установки 50.9° и пересекающей ее в точке z = 0. Конструкция предусматривает изменение прицельного параметра инжекции атомарных пучков (смещение точки прицеливания пучков от оси установки в радиальном направлении), который может лежать в диапазоне от 0 до 150 мм, соответствующее повороту инжектора в вертикальной плоскости в диапазоне углов 1.5°. В большинстве режимов работы ГДМЛ предполагается частичное поглощение мощности атомарных пучков плазмой, которое характеризуется коэффициентом “захвата”, принимающим значения до 95% в рабочем режиме. Коэффициент захвата может меняться во времени в течение рабочего импульса установки. Приемник атомарных пучков, расположенный в соответствующей камере, предназначен для рассеивания “прошедшей” мощности атомарных пучков и минимизации потока водорода, поступающего в основную камеру из приемника.
Одним из ключевых элементов вакуумной камеры системы инжекции является титановый сорбционный насос, который занимает боковые поверхности камеры. Остаточное давление газа в камере инжекции во время импульса определяется натеканием водорода из нейтрализатора и из приемника отклоненных ионов. Для обеспечения приемлемых потерь мощности атомарного пучка (<3%) при распространении от нейтрализатора до выходного патрубка скорость откачки в камере инжекции должна составлять более 5000 м3/с. Насосы идентичной конструкции располагаются также в камере приемника пучков. В данной камере реализован принцип дифференциальной откачки за счет использования перегородки и жалюзийной “газовой задержки”, минимально взаимодействующей с быстрыми атомами пучка, но эффективно задерживающей газ от приемника пучков.
Пучок частиц на выходе нейтрализатора содержит заряженные компоненты, сопутствующие атомарному пучку (табл. 6). Ионы отклоняются магнитом (рис. 8 – 2), через обмотки которого пропускается ток, который корректируется с учетом рассеянного магнитного поля от соленоида установки. В модулях инжекции ГДМЛ предлагается применить конструкцию магнита без ферромагнитного ярма. Такое решение снижает концентрацию газа на выходе из нейтрализатора, но требует увеличения тока в обмотках магнита по сравнению с традиционно используемой конструкцией.
Таблица 6.
Мощности атомарных и ионных пучков частиц (кВт) на выходе нейтрализатора
| Полная мощность | 4800 |
| Нейтралы 30 кэВ | 2940 |
| Нейтралы 15 кэВ | 400 |
| Нейтралы 10 кэВ | 200 |
| Ионы 30 кэВ | 1160 |
| Ионы 15 кэВ | 70 |
| Ионы 10 кэВ | 30 |
Кроме инжекции пучков быстрых атомов, на установке ГДМЛ предполагается использование других методов дополнительного нагрева плазмы. В первую очередь планируется реализовать резонансный циклотронный СВЧ-нагрев электронов. Эксперименты на установке ГДЛ показали, что нагрев плазмы на частоте электронного циклотронного резонанса (ЭЦР) даже со сравнительно небольшой мощностью (20% от мощности нейтральной инжекции) приводит к существенному повышению температуры электронов плазмы и расширению экспериментальных возможностей установки [23, 24]. В связи с этим установка Г-ДМЛ в базовой конфигурации будет оборудована системой электронно-циклотронного СВЧ‑нагрева плазмы мощностью от 2 до 6 МВт и длительностью импульса до 2 с.
На установке ГДЛ использовалась схема ЭЦР-нагрева с наклонной инжекцией необыкновенной моды СВЧ-волны и ее поглощением на первой гармонике циклотронного резонанса (X1). Наклонная инжекция излучения в сильном магнитном поле через криостат заметно усложняет конструкцию установки. К тому же, из-за сильной рефракции излучения в плазме эффективное поглощение получается в узком диапазоне параметров, что сильно ограничивает возможность применения этого метода дополнительного нагрева. В связи с этим на ГДМЛ предлагается использовать хорошо отработанный на токамаках метод ЭЦР-нагрева, основанный на поглощение необыкновенной волны на второй гармонике циклотронного резонанса (X2). Если плотность плазмы заметно меньше плотности, соответствующей отсечки, то этот метод менее чувствителен к распределению плотности плазмы из-за слабой рефракции. Однако эффективность поглощения излучения сильно зависит от однородности магнитного поля в области циклотронного резонанса. Для повышения однородности магнитного поля в ГДМЛ используются две одинаковые сверхпроводящие переходные катушки (рис. 5), между которыми располагаются порты для инжекции СВЧ-излучения перпендикулярно оси установки. Также в ГДМЛ возможно использование метода ЭЦР-нагрева, основанного на поглощении обыкновенной волны на первой гармонике циклотронного резонанса (O1). Этот метод похож на Х2 по требуемым параметрам плазмы и магнитного поля, но обладает немного меньшей эффективностью поглощения и требует использование СВЧ-излучения с частотой меньшей в два раза. Это снижает максимальную плотность плазмы для ЭЦР-нагрева из-за отсечки излучения (ВЭЦР = 3 T) при плотности плазмы 17.5 × 1014 см−3 для Х2 до 0.9 × 1014 см−3 для О1. Также применение ЭЦР-нагрева на второй гармонике позволяет использовать отработанные для ITER гиротроны с частотой 170 ГГц. По этим причинам для ЭЦР-нагрева на ГДМЛ был выбран нагрев на второй гармонике необыкновенной волны.
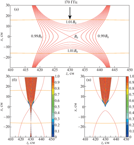
Система ЭЦР-нагрева основана на схеме ввода СВЧ-пучка в плазму перпендикулярно оси установки между переходными катушками (рис. 5). Излучение с частотой 170 ГГц вводится с поляризацией, соответствующей необыкновенной волне в плазме, и поглощается в условиях резонанса на второй гармонике электронной циклотронной частоты в магнитном поле ~3 Тл. Подстройка магнитного поля между переходными катушками позволяет управлять радиальным профилем выделения энергии в плазме за счет изменения положения резонансных поверхностей, как показано на рис. 9 а. Граница плазмы на этом рисунке соответствует радиусу апертуры лимитера R = = 16 см, который определяет диаметр плазмы в области переходных катушек. На рис. 9 а значение магнитного поля B0 в точке пересечения СВЧ-пучком оси установки соответствует второй гармонике циклотронного резонанса для электронов на частоте 170 ГГц. Серия поверхностей постоянного поля, построенная в диапазоне 0.99В0 – 1.01В0, показывает сильную зависимость формы “холодной” резонансной поверхности от тока в катушках, поэтому для надежной реализации схемы нагрева требуется поддержание поля в зоне ЭЦР с точностью ±0.05% во время импульса установки.
Рис. 9.
Схема электронно-циклотронного нагрева плазмы. а) Положение резонансных поверхностей при разных значениях магнитного поля в области переходных катушек. Оранжевыми линиями показаны границы плазмы. б) Траектории лучей в режиме “центрального ЭЦР-нагрева”. в) Траектории лучей в режиме “периферийного ЭЦР-нагрева”. Цвет лучей соответствует отношению текущей мощности луча к начальной.

Благодаря высокой частоте излучения, рефракция оказывает слабое влияние на траектории лучей в диапазоне рабочих плотностей плазмы вплоть до 1014 см−3. Параметры поглощения излучения в данной конфигурации в основном зависят от магнитного поля. При значении поля в точке пересечения B = B0, резонансные поверхности имеют форму, показанную на рис. 9б и приводят к нагреву центральных областей плазмы, характеризующемуся неполным поглощением излучения, составляющим около 50% для приведенного расчета. При увеличении магнитного поля (B = 1.001B0, рис. 9в), в свою очередь, происходит нагрев периферийной кольцевой области плазмы, а также ожидается полное поглощение излучения. Траектории СВЧ-пучка в плазме, показанные на рис. 9б, в, получены при помощи геометрооптического расчета распространения и поглощения микроволнового излучения для плоского радиального профиля плотности плазмы со значением 3 × 1013 см−3 и границей, соответствующей радиусу лимитера R = 16 см. Электронная температура плазмы на оси составляет 300 эВ и линейно спадает до нуля на границе плазмы. При дальнейшем увеличении магнитного поля происходит перемещение области поглощения по радиусу вслед за резонансной поверхностью, причем поглощение (>50%) сохраняется до тех пор, пока локальное значение электронной температуры превышает ~30 эВ при плотности плазмы 3 × 1013 см−3.
2.3. Система электродов
Для контролируемой диссипации продольных и поперечных потоков энергии в ГДМЛ применяется два типа электродов, находящихся в прямом контакте с плазмой. Первый тип – радиальные лимитеры, располагающиеся вблизи магнитных пробок (рис. 10). Лимитеры находятся вне зоны удержания быстрых ионов и расположены в области с фиксированным магнитным полем 3 Тл (между точкой ввода пучка СВЧ и пробкой). Регулировка диаметра плазмы в центральной секции происходит за счет охлаждения и поглощения плазмы на крайней магнитной поверхности, которая проецируется на лимитер. При этом подстройка радиуса плазмы производится за счет изменения проходной апертуры, набираемой из подвижных секторов лимитера. Альтернативным подходом, обеспечивающим возможность дискретной подстройки диаметра ограничивающей магнитной поверхности, является изготовление набора кольцевых электродов с различными апертурами и их замена в соответствии с требованиями экспериментальной программы. Для управления профилем вращения плазмы на лимитер требуется подавать потенциал, составляющий ~Te/e [36], что соответствует величине масштаба 1 кВ в соответствии с расчетными параметрами плазмы в ГДМЛ (разд. 3.2).
Рис. 10.
Модуль магнитной пробки, расширительная секция и система электродов ГДМЛ в разрезе. 1 – лимитер, 2 – приемник плазмы, 3 – сорбционный насос, 4 – соленоид магнитной пробки.

Тепловые режимы работы лимитера варьируются в зависимости от режима удержания плазмы в ГДМЛ и поперечных коэффициентов переноса. В режимах, характеризующихся подавленной МГД-активностью плазмы, происходит равномерный по азимуту нагрев поверхности лимитера. В случае развития крупномасштабной МГД-неустойчивости может происходить полная потеря плазмы с выделением запасенной энергии, составляющей около 200 кДж, в локализованной по азимуту области за время порядка 10 мкс. Поверхность лимитера, взаимодействующая с плазмой, выполняется из молибдена, который наносится на теплопроводящее основание из медного сплава с внутренними каналами охлаждения.
Приемник плазмы (рис. 10) предназначен для поглощения мощности потока плазмы, покидающего центральную секцию через магнитную пробку. Во время разряда происходит бомбардировка поверхности приемника потоком ионов с энергией основной компоненты до 5 кэВ, а также небольшой долей ионов с энергией до 30 кэВ (возникающей в случае развития неустойчивостей анизотропной компоненты в центральной секции). Для более эффективного подавления потока электронов [49], эмитируемых поверхностью приемника, а также снижения поверхностной плотности мощности, предлагается рассмотреть конструкцию (рис. 11), в которой угол между силовой линией и поверхностью составляет около 45° для всех силовых линий в расширяющемся потоке плазмы. Особенностью данной схемы также является наличие щелей между электродами, обеспечивающих откачку газа, образующегося в результате нейтрализации потока ионов. Кольца приемника плазмы являются изолированными друг от друга электродами, на которые может подаваться потенциал до 2 кВ относительно заземленной вакуумной камеры, который может понадобиться для дополнительной стабилизации разряда в условиях ЭЦР-нагрева [37].
Рис. 11.
Электроды установки ГДМЛ в сечении. Показаны силовые линии для однородного профиля магнитного поля в центральной секции со значениями B = 1.5 Тл (сверху) и B = 0.3 Тл (снизу).

Размер “отпечатка” плазмы на поверхности приемника определяется магнитным потоком внутри граничной магнитной поверхности с плазмой, который регулируется при помощи изменения диаметра апертуры лимитера. При этом максимальное значение магнитного потока ограничивается вакуумной камерой соленоида магнитной пробки. Наиболее напряженными тепловыми режимами работы приемника плазмы являются режимы с низким магнитным потоком (малой апертурой лимитера), в которых плотность мощности на поверхности приемника может достигать 10 МВт/м2 в течение импульса длительностью до 2 с. Как и в случае лимитера, электроды приемника плазмы покрываются молибденом и работают в переходном тепловом режиме.
2.4. Заполнение ловушки стартовой плазмой
Планируемые на установке ГДМЛ методы нагрева плазмы (атомарная инжекция и ЭЦР-нагрев) требуют создания достаточно плотной плазменной “мишени”, способной обеспечить поглощение значительной доли инжектированной мощности для достижения целевых параметров плазмы при ее последующем нагреве и подпитке нейтральным газом. Стартовая плазма характеризуется значением линейной плотности ионизированной компоненты в диапазоне от 1014 см−2 до 1016 см−2, соответствующей доле захваченной мощности атомарных пучков не менее 10% на начальной стадии разряда, что является достаточным для поддержания и роста запасенной энергии плазмы в течение импульса. При этом, очевидно, что диаметр стартовой плазмы должен существенно превышать диаметр атомарных пучков в месте их пересечения. Учитывая это, а также опираясь на опыт работы на установке ГДЛ [33], можно оценить, что в установке ГДМЛ этот диаметр должен составлять 30–60 см.
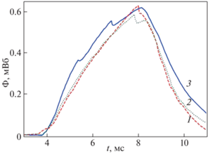
Конструкция установки ГДМЛ предполагает возможность использования нескольких методов создания стартовой плазмы. Наиболее распространенной методикой в ловушках открытого типа является осевая инжекция плазменной струи из газоразрядного источника через одну из магнитных пробок. В экспериментах на установке ГДЛ показана высокая надежность данного метода, позволяющая создавать стартовую плазму с линейной плотностью более 1015 см−2 при инжекции плазмы через пробку из точки со значением коэффициента расширения магнитного поля K ~ 150, близкого к значению K ~ 200 для установки ГДМЛ. Вторым возможным методом создания стартовой плазмы является инжекция узкого (~1 cм) пучка электронов с энергией 20–50 кэВ. В недавних экспериментах на установке ГДЛ [50] было показано, что инжекция пучка мощностью от 200 кВт и энергией от 20 кэВ позволяет произвести ионизацию газа в ловушке и создать стартовую плазму со значением линейной плотности более 1014 см−2, позволяющую реализовать режимы разряда, аналогичные режимам с газоразрядным источником (рис. 12). Механизм ионизации и передачи энергии электронов пучка плазме основан на возбуждении ленгмюровской турбулентности в зоне максимальной плотности тока пучка [51].
Рис. 12.
Сравнение динамики диамагнетизма плазмы при использовании различных методов создания начальной плазменной мишени: 1 – ЭЦР-пробой, 2 – электронный пучок, 3 – газоразрядный источник.

Альтернативой описанным выше методам является ионизация газа при помощи электромагнитного излучения СВЧ-диапазона, используемого в системе ЭЦР-нагрева плазмы. Данный или аналогичный метод был ранее реализован на установках открытого типа [52, 53], а также относительно недавно на установке ГДЛ [54]. Метод основывается на генерации при ЭЦР-нагреве популяции “перегретых” электронов с энергией более 10 кэВ, осуществляющих ионизацию газа. Получаемая таким способом плазменная мишень также позволяет осуществлять начальный захват атомарных пучков с последующим выходом на стадию квазистационарного разряда плазмы (рис. 12). Базовый вариант реализации данного метода в условиях ГДМЛ предполагает использование отдельного гиротрона для ЭЦР-нагрева плазмы на первой гармонике циклотронного резонанса в области между криостатом и центральной секцией соленоида на частоте до 80 ГГц. На установке предполагается также исследовать возможность пробоя с использованием основной системы СВЧ-нагрева на частоте 170 ГГц в условиях электронного циклотронного резонанса на второй гармонике, о потенциальной работоспособности которой свидетельствуют некоторые данные экспериментов на токамаках [55].
3. ФИЗИЧЕСКИЕ ПРОЦЕССЫ В РЕЖИМЕ ГАЗОДИНАМИЧЕСКОЙ ЛОВУШКИ
3.1. Продольное удержание плазмы
Классической открытой ловушкой является пробкотрон Будкера–Поста [1, 2], в котором плазма удерживается в продольном направлении между пробками. Плазма является достаточно разреженной и практически бесстолкновительной, так чтобы обратная частота столкновений была много больше времени пролета частицы сквозь ловушку. Отдельные частицы удерживаются за счет сохранения адиабатического инварианта – магнитного момента ${{\mu }} = m{v}_{ \bot }^{2}{\text{/}}2B$. При движении частицы в область сильного поля ее энергия переходит из продольной в поперечные степени свободы. От магнитных пробок отражаются частицы с достаточно большим питч-углом θ между вектором скорости и направлением магнитного поля (поскольку питч-угол зависит от локальной величины магнитного поля, то здесь мы рассматриваем эту величину в средней плоскости ловушки, где обычно магнитное поле минимально). Такую популяцию мы дальше будем традиционно называть запертыми частицами, в отличие от пролетных частиц, которые сразу покидают область удержания вдоль магнитного поля. В пространстве скоростей образуется “конус потерь”, граница которого определяется формулой
(1)
${{\sin }^{2}}{{\theta }_{{LC}}} = 1{\text{/}}R = {{B}_{{{\text{min}}}}}{\text{/}}{{B}_{{{\text{max}}}}},$Рассеяние частиц за счет парных столкновений приводит к диффузии в пространстве скоростей в конус потерь. При низкой частоте столкновений он остается практически пустым, а время жизни ионов τkin определяется следующим соотношением:
где τii – время между ион-ионными столкновениями. Коэффициент термоядерного усиления мощности Q в простейшей пробочной ловушке может достигать значения порядка 1 [57]. В действительности, время ухода плотной плазмы из такой ловушки оказывается меньше, чем τkin, из-за рассеяния ионов на волнах, вызванных неустойчивостями плазмы, наиболее опасной из которых является дрейфово-конусная циклотронная неустойчивость (см. разд. 3.5). Она развивается из-за обеднения функции распределения в конусе потерь при низких значениях поперечной энергии частиц.Решением проблемы микронеустойчивостей плазмы является переход к удержанию столкновительной плазмы в газодинамическом режиме [58]. Если длина установки удовлетворяет условию L ≥ λii(ln R) / R, где L – расстояние между пробками ловушки, а λii – длина свободного пробега ионов, то функция распределения ионов во всем пространстве скоростей близка к максвелловской. При этом время жизни ионов определяется газодинамическим вытеканием плазмы через магнитную пробку
где ${{{v}}_{{Ti}}}$ – тепловая скорость ионов. Формула (3) дает оценку предельной скорости потерь плазмы и не зависит от частоты столкновений. Время жизни растет линейно с пробочным отношением, поэтому его целесообразно делать достаточно большим, R ≫ 1. Линейная зависимость времени жизни плазмы от длины установки делает теоретически возможным создание реактора на основе газодинамической ловушки [58], однако его длина оказывается большой (L > 5 км), а мощность реактора, соответственно, избыточно высокой.Для создания термоядерного реактора требуется использование дополнительных способов запирания плазмы в ловушке, которые будут обсуждаться в разд. 4. Однако простая газодинамическая ловушка привлекательна как основа для создания источника термоядерных нейтронов. Для этого была предложена схема ловушки с двухкомпонентной плазмой, которая объединяет достоинства кинетического и газодинамического режимов удержания [15]. Ловушка представляет собой осесимметричный соленоид с сильными пробками, заполненный достаточно плотной мишенной плазмой, удерживаемой в газодинамическом режиме. При помощи наклонной инжекции атомарных пучков в плазме создается анизотропная популяция быстрых ионов. Быстрые ионы осциллируют между точками остановки, удерживаясь в кинетическом режиме, и обеспечивают протекание термоядерных реакций в плазме. Кроме захвата пучков, “теплая” плазма с температурой около 1 кэВ стабилизирует дрейфово-конусную неустойчивость, а также определяет МГД-устойчивость плазмы, обеспечивая контакт с запробочной областью [36].
Быстрые ионы испытывают торможение за счет кулоновских столкновений с мишенью. При энергии иона выше ~15Te торможение определяется трением об электроны при слабом изменении направления вектора скорости, а при меньшей энергии они начинают эффективно передавать энергию и ионной компоненте мишенной плазмы, испытывая рассеяние по питч-углу [59]. В ловушке формируется анизотропное распределение быстрых ионов. Благодаря этому, плотность ионов пикируется вблизи точек остановки, что позволяет управлять пространственным профилем выделения термоядерных нейтронов. Столкновительное торможение быстрых ионов приводит к нагреву мишенной плазмы. При параметрах плазмы, типичных для генератора термоядерных нейтронов, температура электронов мишенной плазмы должна иметь величину масштаба 1 кэВ для того, чтобы время торможения быстрых ионов было приемлемым. Поэтому далее мы будем называть эту компоненту теплой плазмой для того, чтобы подчеркнуть отличие ее параметров от исходной низкотемпературной стартовой плазмы.
Время жизни быстрых ионов в источнике нейтронов определяется в основном торможением на электронах
(4)
${{\tau }_{d}} = \frac{3}{{4\sqrt {2\pi } }}\frac{{{{m}_{i}}}}{{{{n}_{e}}{{e}^{4}}{{\Lambda }}}}\sqrt {T_{e}^{3}{\text{/}}{{m}_{e}}} ,$Потери горячих электронов из плазмы, а с ними и потери энергии из области удержания, могут сильно увеличиваться, если существует встречный поток холодных вторичных электронов с поверхности приемных пластин, свободно проникающий в горячую плазму. Расположение приемных пластин в расширяющемся магнитном поле за пробкой позволяет в некоторых условиях практически полностью подавить рециркуляцию холодных электронов даже в условиях сильной вторичной эмиссии с их поверхности. Как было показано в [60], плазма в расширителе быстро становится бесстолкновительной при удалении от пробки, даже если в центральной секции ловушки она находится в газодинамическом режиме. Поэтому вторичные электроны могут отражаться магнитной пробкой и поглощаться на поверхности стенки. В этом случае они не влияют на амбиполярный баланс плазмы в центральной ловушке и не вызывают увеличения потерь горячих электронов. В объеме расширителя между пробкой ловушки и электростатическим барьером вблизи стенки могут осциллировать запертые электроны [60]. Рассеяние пролетных частиц приводит к заполнению “ямы” в эффективном потенциале Юшманова [61]. Если коэффициент расширения, который далее удобно будет называть пробочным отношением расширителя K ≥ (mi/me)1/2, то отрицательный заряд запертых электронов приводит к переносу большей части скачка потенциала со стенки в объем расширителя. Это дает возможность избежать униполярных дуг на плазмоприемниках при температурах ядерного синтеза в центральной ловушке. Также снижение электрического поля вблизи стенки приводит к эффективному ограничению потока вторичных электронов со стенки в объем горячей плазмы. В последние годы были разработаны более точные теоретические модели, в том числе основанные на строгом решении кинетического уравнения для электронов в расширителе [62–65].
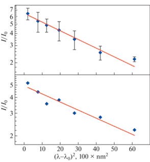
Ярким примером подавления электронной теплопроводности за пробкой открытой ловушки является демонстрация возможности нагрева электронов до приемлемой для термоядерного источника нейтронов температуры. Для этого на установке ГДЛ была проведена серия экспериментов с дополнительным ЭЦР-нагревом мощностью 700 кВт [23, 24]. При этом измеренная в серии импульсов температура электронов составила 661 ± 51 эВ при плотности порядка 6 × × 1012 см−3, причем в отдельных импульсах этой серии была измерена температура электронов около 1 кэВ (рис. 13).
3.2. Моделирование параметров плазмы в стартовой конфигурации ГДМЛ кодом ДОЛ
В качестве основного метода нагрева в установке ГДМЛ предполагается наклонная инжекция мощных атомарных пучков в теплую мишенную плазму. Инжекция приводит к формированию популяции быстрых “плещущихся” (совершающих продольные колебания между точками остановки) ионов с существенно немаксвелловской функцией распределения и средней энергией, значительно превышающей температуру электронов и мишенных ионов. Быстрые ионы удерживаются в адиабатическом режиме за счет сохранения магнитного момента.
В настоящем разделе приведены результаты моделирования разряда в ГДМЛ в режиме двухкомпонентной плазмы кодом ДОЛ. Этот код первоначально разрабатывался для оптимизации параметров термоядерного источника нейтронов на основе газодинамической ловушки [66, 67]. Код ДОЛ (длинные открытые ловушки) предназначен для моделирования осесимметричных линейных ловушек, в которых в качестве основного метода нагрева используется мощная нейтральная инжекция [68]. Такими ловушками являются, например, установки ГДЛ и ГОЛ-NB [34] и первая очередь проекта ГДМЛ. Код позволяет моделировать накопление горячих ионов и их функцию распределения, а также эволюции во времени температуры и концентрации электронов и теплых ионов путем численного решения кинетического уравнения для горячих ионов и уравнений, описывающих баланс массы и энергии в мишенной плазме. Результаты моделирования важны как для анализа устойчивости плазмы и выбора устойчивых режимов работы (в данном разделе устойчивость не рассматривается, анализу МГД и кинетических неустойчивостей посвящены разд. 3.4 и 3.5), а также для оптимизации таких параметров ГДМЛ, как величина и профили вакуумного магнитного поля, темп поддува газа.
В коде ДОЛ плазма предполагается осесимметричной и имеющей резкую границу (радиальные профили для всех параметров предполагаются прямоугольными). Радиальные потери считаются несущественными и не учитываются, зависимость радиуса плазмы от продольной координаты находится из условия сохранения магнитного потока внутри плазменного шнура. Кроме того, пренебрегается возможностью возбуждения кинетических неустойчивостей и все продольные переносы считаются классическими. Функция распределения ионов разделяется на две части – быстрые и тепловые (мишенные) ионы. Методы описания этих компонент сильно различаются.
Для нахождения функции распределения быстрых ионов численно решается нестационарное кинетическое уравнение. Для этой компоненты сделаны следующие предположения:
1) столкновения считаются достаточно редкими, поэтому кинетическое уравнение можно усреднить по периоду баунс-колебаний (имеются в виду продольные колебания ионов между точками остановки);
2) распределения по фазам ларморовского вращения и продольного движения считаются равномерными, что позволяет исключить эту пару переменных из рассмотрения;
3) магнитный момент частиц считается сохраняющимся, что предполагает малость ларморовского радиуса по сравнению с градиентными размерами магнитного поля;
4) перепад амбиполярного электростатического потенциала считается малым по сравнению с энергиями быстрых ионов, что позволяет существенно упростить параметризацию фазового пространства.
С учетом этих предположений, функция распределения быстрых ионов, зависящая от шести координат, сводится к функции F(ε, Y), где ε – энергия, а переменная Y = sin2θ пропорциональна отношению магнитного момента к энергии и описывает зависимость от питч-угла θ частиц в минимуме поля. Кинетическое уравнение для ионов сорта α записывается в виде
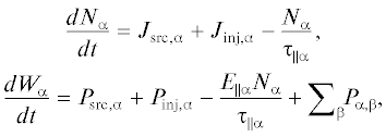
Электроны и тепловые ионы каждого сорта описываются парой параметров – полной энергией Wα и количеством частиц Nα (α – сорт частиц). Предполагается, что удержание этих частиц близко к равновесному, а пространственные распределения подчиняются закону Больцмана:
и
), перезарядные потери вещества и энергии на пучках (
и
) продольные потери с характерным временем τ||α и средней энергией, выносимой из ловушки в расчете на одну частицу, E||α, а также мощности обмена энергией Pα,β, происходящие из-за кулоновских столкновений как с теплыми, так и с быстрыми компонентами
плазмы. Основной проблемой в данном подходе является определение темпа продольных
потерь. Аналитические решения известны для двух предельных случаев – “кинетического”,
соответствующего “классическому” пробкотрону в пределе редких столкновений [1] (см. выражение (2), формулы для оценки τ||α и E||α взяты из работ [57, 68, 69], и “газодинамического”, возникающего в пределе частых столкновений [58] (см. выражение (3)). В промежуточном режиме, когда L ~ ~ λii (lnR)/R, используется аппроксимация:
При расчете магнитного поля в модели предполагается параксиальность – кривизна силовых линий считается пренебрежимо малой, и возмущение магнитного поля находится из баланса радиальных давлений
Отметим, что данное выражение неприменимо вблизи магнитных пробок. Однако этим можно пренебречь, поскольку вблизи пробок давление плазмы мало по сравнению с давлением магнитного поля.
На основе данной модели разработан однопоточный численный код. Характерное время расчета с помощью кода ДОЛ составляет от нескольких часов до суток.
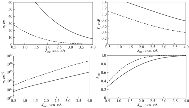
С помощью кода ДОЛ моделировалась конфигурация установки ГДМЛ. Профиль магнитного поля определялся геометрией и расположением катушек центрального соленоида C1–C5, переходных и пробочных катушек. Токи в катушках центральной секции могут меняться произвольно в широких пределах, максимально достижимое поле в центре (см. разд. 2.1) равно 1.5 Тл. Пробочные секции имеют фиксированный ток, а магнитное поле на оси системы достигает в них максимального значения около 20 Тл. Токи в переходных катушках подбирались так, чтобы с каждой стороны установки между переходными катушками образовывалась область с магнитным полем около 3 Тл. В будущем эти участки могут быть использованы для ЭЦР-нагрева плазмы. В проводимых расчетах токи в катушках подбирались так, чтобы получить область однородным магнитным полем в центральной области: поле в центральном сечении имело заданную величину B0, а квадрат отклонения поля от B0 проинтегрированный по участку длиной 3.6 м в центре ловушки, минимизировался. Характерные профили магнитного поля, полученные в результате этой процедуры, представлены на рис. 3 разд. 2.1. Параметры атомарных пучков, инжектируемых в центр установки, предполагались следующие: энергия частиц 30 кэВ, суммарная мощность 24 МВт, соотношение токов ионов, попадающих в ускоряющую систему, − 70% основная компонента H+, 20% молекулярные ионы ${\text{H}}_{2}^{ + }$ и 10% молекулярные ионы ${\text{H}}_{3}^{ + }$, угол между осью инжектора и осью установки 50.9°, угловой разброс пучка 1.5°, радиус пучков в области плазмы по уровню 0.37 равен 8 см. Радиус плазмы в центральном сечении a (где он наибольший) может изменяться в диапазоне от 10 до 30 см; нижняя граница определяется поперечным размером атомарных пучков, а верхняя – радиусом вакуумной камеры. Дополнительно радиус плазмы ограничивался максимальным магнитным потоком, Φmax = 1 Тл π (30 см)2, который проходит пробку, не касаясь стенок установки.
Для поиска оптимальных режимов работы проведена серия расчетов, результаты которой представлены в табл. 7. Расчеты выполнены для переходного режима между газодинамическим и кинетическим: τkin/τgdt ≈ 3. Важным параметром является отношение радиуса плазмы к ларморовскому радиусу быстрых ионов ρinj, для которых энергия и питч-угол совпадают с аналогичными величинами у частиц атомарных пучков. Отношение a/ρinj влияет на то, какая доля энергии, содержащейся в быстрых ионах, передается холодной периферийной плазме, окружающей основную, горячую часть плазменного шнура в реальной установке. Напомним, что код ДОЛ предполагает однородность параметров плазмы по радиусу. Следует отметить, что для установки ГДЛ эта величина составляет около a/ρinj ≈ 2.6. Для того, чтобы добиться согласия экспериментальных данных ГДЛ с результатами моделирования кодом ДОЛ, в расчетах требуется увеличить потери энергии быстрыми ионами в два-три раза по сравнению с тем темпом потерь, который дают кулоновские столкновения в основной части плазменного шнура. Качественно это можно оценить в предположении, что все быстрые ионы, достигающие границы плазмы, теряются. Тогда доля не потерявшихся на первом же ларморовском обороте быстрых ионов лежит в диапазоне от 1–ρinj/a для тонкого пучка до (1–ρinj /a)2 для широкого пучка. Для ГДЛ этот диапазон составляет от 0.38 до 0.62 (что согласуется с увеличением потерь быстрых ионов в 2–3 раза). В проведенном моделировании установки ГДМЛ величина a/ρinj была не ниже 4. На нижнем пределе a/ρinj = = 4 код ДОЛ будет, по-видимому, переоценивать параметры плазмы. При увеличении этого параметра до значений a/ρinj = 7 можно ожидать, что потери на периферийной плазме не будут превышать четверти захваченной мощности. Для сравнения в табл. 8 представлены расчеты тех же режимов, что и в табл. 7, но с уменьшенной захваченной мощностью; коэффициент уменьшения взят наиболее сильный: (1–ρinj/a)2.
Таблица 7.
Расчетные параметры плазмы
| Относительная толщина плазмы a/ρinj | 4 | 7 | ||||||
|---|---|---|---|---|---|---|---|---|
| Радиус плазмы a, см | 15 | 25 | 15 | 25 | ||||
| Магнитное поле в центре B0, Тл | 0.52 | 0.31 | 0.91 | 0.55 | ||||
| Мощность инжекции Pinj, МВт | 12 | 24 | 12 | 24 | 12 | 24 | 12 | 24 |
| Отношение времен удержания теплых ионов τkin/τgdt | 3.07 | 2.95 | 3.12 | 2.95 | 2.99 | 3.01 | 3.14 | 3.02 |
| Эффективное время удержания теплых ионов τ‖, мс | 3.0 | 3.2 | 5.7 | 7.3 | 1.8 | 1.7 | 3.0 | 2.8 |
| Темп ввода вещества Jsrc, экв.кА | 1.15 | 2 | 1.25 | 2 | 1.35 | 2.6 | 1.6 | 3 |
| Температура электронов Te, кэВ | 0.76 | 0.94 | 0.77 | 0.98 | 0.58 | 0.72 | 0.58 | 0.71 |
| Температура теплых ионов Ti, кэВ | 1.52 | 2.07 | 1.55 | 2.16 | 1.01 | 1.42 | 1.04 | 1.39 |
| Относительное давление β = 8πp/$B_{{v}}^{2}$ | 0.39 | 0.64 | 0.60 | 0.84 | 0.11 | 0.20 | 0.18 | 0.32 |
| Доля пучка, захватываемая плазмой, % | 73 | 91 | 80 | 94 | 61 | 81 | 70 | 88 |
| Плотность теплых ионов в центральной плоскости, 1013 см−3 | 3.1 | 6.5 | 2.8 | 4.0 | 2.9 | 5.2 | 2.2 | 3.8 |
| Плотность быстрых ионов в центральной плоскости, 1013 см−3 | 3.0 | 4.6 | 1.6 | 2.2 | 2.6 | 4.6 | 1.6 | 2.7 |
| Максимальная плотность быстрых ионов, 1013 см−3 | 4.3 | 6.1 | 2.4 | 3.1 | 3.9 | 6.8 | 2.4 | 3.8 |
Таблица 8.
Расчетные параметры плазмы с учетом уменьшения захваченной мощности из нагревных пучков в (1–ρinj/a)2 раз, вызванного потерями энергии быстрых ионов на периферийной плазме
| Относительная толщина плазмы a/ρinj | 4 | 7 | ||||||
|---|---|---|---|---|---|---|---|---|
| Радиус плазмы a, см | 15 | 25 | 15 | 25 | ||||
| Магнитное поле в центре B0, Тл | 0.52 | 0.31 | 0.91 | 0.55 | ||||
| Мощность инжекции Pinj, МВт | 12 | 24 | 12 | 24 | 12 | 24 | 12 | 24 |
| Отношение времен удержания теплых ионов τkin/τgdt | 2.99 | 2.99 | 3.12 | 3.01 | 3.07 | 3.01 | 3.01 | 3.01 |
| Эффективное время удержания теплых ионов τ‖, мс | 3.0 | 3.0 | 5.4 | 6.8 | 1.9 | 1.7 | 3.1 | 2.8 |
| Темп ввода вещества Jsrc, экв.кА | 0.66 | 1.3 | 0.75 | 1.39 | 1.35 | 2.0 | 1.2 | 2.3 |
| Температура электронов Te, кэВ | 0.61 | 0.78 | 0.62 | 0.79 | 0.53 | 0.66 | 0.52 | 0.64 |
| Температура теплых ионов Ti, кэВ | 1.1 | 1.58 | 1.14 | 1.61 | 0.87 | 1.23 | 0.86 | 1.21 |
| Относительное давление β = 8πp/$B_{{v}}^{2}$ | 0.22 | 0.42 | 0.37 | 0.64 | 0.08 | 0.15 | 0.13 | 0.25 |
| Доля пучка, захватываемая плазмой, % | 53 | 77 | 62 | 83 | 50 | 73 | 59 | 81 |
| Плотность теплых ионов в центральной плоскости, 1013 см–3 | 2.5 | 4.5 | 1.8 | 3.0 | 2.2 | 4.1 | 1.7 | 3.0 |
| Плотность быстрых ионов в центральной плоскости, 1013 см–3 | 1.8 | 3.2 | 1.1 | 1.8 | 2.0 | 3.6 | 1.2 | 2.2 |
| Максимальная плотность быстрых ионов, 1013 см–3 | 2.6 | 4.6 | 1.6 | 2.5 | 3.0 | 5.4 | 1.9 | 3.2 |
Типичная зависимость параметров плазмы от времени приведена на рис. 14. При инжекции быстрых атомов растет концентрация быстрых ионов и электронов. Энергия от быстрых ионов передается электронам и мишенным ионам, что приводит к росту их температуры. Рост концентрации и температуры мишенной плазмы приводит к увеличению темпа потерь энергии через пробки вплоть до значения, равного вводимой мощности. Поскольку время обмена энергией посредством кулоновских столкновений превышает время газодинамического вытекания мишенной плазмы, в стационарном состоянии температуры ионов и электронов не равны. Характерное время перехода в стационарное состояние порядка времени торможения ионов на электронах и при типичных параметрах составляет по порядку величины несколько десятков миллисекунд.
Рис. 14.
Зависимость температуры электронов (сплошная линия) и теплых ионов (пунктир) от времени. Расчет соответствует последнему столбцу табл. 7.

Характерная зависимость концентрации быстрых и мишенных ионов от продольной координаты показана на рис. 15. В точке остановки быстрых ионов формируются пики плотности. Из-за роста концентрации электронов в точках остановки также формируются пики амбиполярного потенциала, что приводит к падению концентрации мишенных ионов.
Рис. 15.
Зависимость концентрации быстрых ионов (кривая 1), мишенных ионов (кривая 2) и электронов (кривая 3) от продольной координаты. Расчет соответствует последнему столбцу таблицы 7.

Моделирование с использованием кода ДОЛ показывает, что в центральной ячейке первой очереди ГДМЛ достижимы разряды со следующими характерными параметрами: температура электронов и мишенных ионов порядка 1 кэВ, концентрация теплых ионов несколько единиц на 1013 × см−3, средняя энергия быстрых ионов порядка десяти килоэлектронвольт, концентрации быстрых и мишенных ионов сравнимы, давление быстрых ионов порядка давления вакуумного магнитного поля. Температура мишенной плазмы и время жизни ионов возрастают при уменьшении темпа поддува, при этом удержание мишенных ионов переходит от газодинамического к кинетическому. Однако, опустошение конуса потерь при переходе к кинетическому удержанию может спровоцировать дрейфово-конусную неустойчивость (см. разд. 3.5) и/или ухудшить электрическую связь плазмы с торцевыми электродами (см. разд. 3.4), что ограничит достижимые параметры. По-видимому, в оптимальных режимах работы ГДМЛ удержание мишенных ионов будет переходным между кинетическим и газодинамическим.
В силу осевой симметрии и квазиодномерности при моделировании кодом ДОЛ нельзя получить ответы на ряд важных вопросов (эти вопросы рассмотрены в следующих главах):
• В режимах со слабым поддувом газа (кинетический режим удержания теплых ионов) из-за снижения продольных потерь фоновой плазмы может сильно ослабляться электрическая связь с торцевыми пластинами. Вместе с высоким β это может ухудшать МГД-устойчивость плазмы. МГД-неустойчивости плазмы в ГДМЛ обсуждаются в разд. 3.4.
• Функция распределения быстрых ионов существенно отличается от максвелловской, что в сочетании с высоким β может провоцировать возбуждение кинетических неустойчивостей и аномальный перенос. Методы подавления аномального переноса обсуждаются в разд. 3.5.
• В режимах с малым радиусом плазмы и кинетическим удержанием теплых ионов β приближается к единице, что фактически соответствует переходу в режим диамагнитного удержания. Из-за использования модельного профиля для радиальных зависимостей код ДОЛ некорректно описывает плазму с β близким к единице. Анализ возможности перехода к диамагнитному удержанию плазмы в первой очереди ГДМЛ проведен в разд. 4.1.
Отметим, что указанные выше параметры плазмы найдены для установки без дополнительных запирающих элементов, таких как многопробочные и геликоидальные секции, а также без дополнительного ЭЦР-нагрева. Использование дополнительных методов подавления продольных потерь, а также переход в режим диамагнитного удержания приведут к существенному изменению параметров мишенной плазмы и горячих ионов. Ожидаемые параметры плазмы при использовании дополнительных методов подавления потерь обсуждаются в разд. 4.1 и 4.2.
3.3. Рециклинг и газовые условия в установке
3.3.1. Требования к вакуумным условиям в центральном соленоиде и расширителях. Особенностью линейных магнитных ловушек для удержания плазмы является большой циркулирующий поток газа в системе, связанный с постоянным течением плазмы из области удержания с темпом ~1022 × с−1 и соответствующим ему потоком вещества из системы газонапуска, позволяющим поддерживать стационарную плотность плазмы в области удержания. С точки зрения требований к вакуумным условиям это означает, что плазма эффективно переносит вещество из центральной ловушки в расширительную секцию, и сама по себе является мощным средством откачки.
Основным средством откачки водорода в центральной ловушке являются насосы с распыляемым титановым геттером, установленные в камерах системы нейтральной инжекции и присоединенные к камере удержания через патрубки с суммарной газовой проводимостью более 500 м3/c по водороду (см. разд. 2.2). Помимо геттерных насосов, обладающих суммарной скоростью откачки до 18 000 м3/c, установка будет оборудована набором турбомолекулярных насосов, обеспечивающих откачку более тяжелых газов и примесей, а также поддержание вакуума в режиме ожидания эксперимента.
В режиме ожидания поступление остаточного газа в вакуумную камеру определяется газоотделением со стенок. Хорошо известно, что в непрогреваемой вакуумной системе основной фракцией остаточного газа является вода. Особенностью вакуумной системы установки ГДМЛ является наличие насосов с дуговым распылением титана, которые способны эффективно откачивать пары воды за счет их восстановления до оксида титана и водорода, также поглощаемого геттерными насосами. Ввиду этого, откачка воды из центральной ловушки при работе дуговых систем испарения титана в камерах инжекции также происходит через патрубки нейтральной инжекции со скоростью, которая составляет несколько десятков м3/с. Данная особенность значительно ускоряет процесс подготовки камеры установки к экспериментам по сравнению с использованием только турбомолекулярных насосов, имеющих ограниченную производительность ввиду наличия длинных патрубков с низкой газовой проводимостью.
Наличие примесных ионов оказывает ограниченное влияние на удержание плазмы в ГДМЛ за счет большой мощности нагрева и относительно низкого энергетического времени жизни, составляющего около 5 мс. Для большинства химических элементов удельная мощность излучения в плазме в диапазоне температур до 10 кэВ не превосходит 10−25nenimp [Вт / см3] [70]. Исходя из этого значения удельной мощности излучения можно оценить предельное содержание примесей в плазме. Для типичного сценария работы ГДМЛ (столбец 3 табл. 7) (ne = 4.4 × 1013 см–3, a = 25 см, V = 1.6 м3) концентрация примесей 2 × 1011 см–3 соответствует мощности излучения 1.4 МВт, что составляет 15% от захваченной в плазму мощности системы нейтральной инжекции. Для легких примесей (таких как кислород и углерод) эта оценка, по-видимому, является сильно завышенной, так как при температуре плазмы больше 100 эВ удельная мощность излучения этих примесей уменьшается в несколько раз относительно максимального значения, соответствующего температуре плазмы 15 эВ. Следует также отметить, что в отличие от токамаков, в газодинамической ловушке не известны механизмы, приводящие к накоплению примесей в области горячей плазмы.
Важным вопросом является влияние абсорбированного на стенках газа на поведение плазмы в установке ГДМЛ. Характерное количество молекул воды, абсорбированных на поверхности, составляет 1015 см−2 [71]. Во время разряда эти молекулы могут десорбироваться вследствие облучения стенки потоком нейтралов или ультрафиолетового излучения. Полное количество молекул на поверхности (~3.5 × 1020) значительно меньше количества вещества, вводимого в плазму для подпитки (1022 с−1), так что можно рассчитывать, что эффекты десорбции со стенок будут влиять только на начальную стадию разряда в течение нескольких десятков миллисекунд. Несмотря на это, предусматривается возможность подготовки поверхности камеры за счет проведения циклов очистки постоянным разрядом низкой мощности, вводимой в виде ВЧ- или СВЧ-волн.
Поступление нейтрального газа в плазму в центральной секции может существенно снижать время жизни быстрых ионов вследствие перезарядных потерь. При типичном сценарии работы установки (плотность быстрых ионов 1013 см−3, плотность плазмы 5 × 1013 см−3, электронная температура 0.8 кэВ, радиус плазмы 25 см) энергетическое время жизни быстрых ионов составляет около 7 мс. Поступление в плазму атома водорода приводит к его перезарядке с быстрым ионом и вылету образовавшегося быстрого нейтрала за пределы плазмы. Будем считать, что тепловые молекулы водорода попадают на границу плазмы, где ионизируются и частично диссоциируют с образованием надтепловых (франк-кондоновских) нейтралов. Для оценок примем, что поток надтепловых нейтралов в плазму составляет 10% от полного потока молекул на поверхность. Приняв характерную толщину слоя, на котором ионы взаимодействуют с нейтралами, равной длине пробега франк-кондоновских нейтралов по отношению к ионизации (4 см), получим, что характерное время жизни быстрого иона по перезарядке сравнивается с его временем торможения в плазме при потоке надтепловых нейтралов через границу плазмы 8 × 1015 см−2 c−1, соответствующем давлению в вакуумной камере 3 × 10−3 Па. Отметим также, что малая длина пробега тепловой молекулы по отношению к ионизации (меньше 5 мм при температуре выше 10 эВ и концентрации 2 × × 1013 см−3) будет препятствовать откачке газа из центральной секции вытекающей в расширитель плазмой, поскольку попадающий на поверхность плазменного столба газ будет с большой вероятностью ионизироваться в плазме, находящейся в “тени” лимитера, рекомбинировать на лимитере и возвращаться обратно в вакуумную камеру центральной секции. Реальная ситуация требует экспериментального изучения и, при необходимости, принятия дополнительных мер для снижения концентрации нейтралов.
3.3.2. Взаимодействие потока плазмы с поверхностью. В установке ГДМЛ между центральной областью и плазмоприемниками должен возникать амбиполярный перепад потенциала величиной около 5Te, ускоряющий ионы, покидающие центральный соленоид. Таким образом, ожидается, что плазмоприемник подвергнется бомбардировке ионами с энергией около 5 кэВ.
Предполагается, что поверхность плазмоприемника будет изготовлена из молибдена, считающегося наиболее устойчивым к образованию униполярных дуг. Длина пробега протонов с энергией 5 кэВ в молибдене составляет около 20 нм. Существует значительный разброс в данных по скорости диффузии водорода в молибдене [72], однако для оценок можно принять коэффициент диффузии равным D [м2/с] = 1.7 × × 106 exp(‒0.84 / kT), где температура T выражена в кельвинах [73], что дает характерную глубину диффузии за время эксперимента (2 с) порядка 1 мкм при температуре поверхности 300°С. При коэффициенте расширения по магнитному полю, равному 200, в отсутствие десорбции относительная концентрация водорода в металле за 2 с облучения достигнет nH/HMo= 0.2.
Имплантированный в плазмоприемник водород может накапливаться в толще материала в виде твердого раствора или гидрида, либо десорбироваться с поверхности плазмоприемника в плазму. Скорость диффузии и десорбции существенно зависит от наличия примесей в материале и на поверхности, количества накопленного водорода и температуры поверхности, поэтому в настоящее время невозможно точно предсказать величину обратного потока атомов водорода с поверхности. Ввиду этого, в экспериментах можно ожидать как поглощения и диффузии водорода в поверхность, временно снижающего нагрузку на системы откачки во время импульса [74], так и выделения дополнительного водорода из материала за счет большой энергии ионов, падающих на насыщенную водородом поверхность [75].
3.3.3. Процессы с нейтральным водородом в плазме в расширителе. Наиболее важными процессами с участием молекулярного водорода в плазме расширителя являются ионизация электронным ударом, перезарядка и упругие столкновения.
При температурах плазмы в диапазоне 50–200 эВ, ожидаемых в расширителе, скорость ионизации молекулярного водорода (H2 + e → ${\text{H}}_{2}^{ + }$ + 2e) составит около 5 × 10−8 см3/с [76]. Следует отметить, что образующиеся в результате ионизации молекулы ${\text{H}}_{2}^{ + }$ с достаточно большой вероятностью диссоциируют при столкновениях с электронами ${\text{H}}_{2}^{ + }$ + e → H + H+ + e с образованием быстрого нейтрала. Скорость этой реакции составляет около 10−7 см3/с. Сечение резонансной перезарядки на молекулярном водороде (H2 + H+ → → ${\text{H}}_{2}^{ + }$ + H) при энергии ионов 5 кэВ равно 1.2 × 10−15 см2, что дает скорость реакции 1.2 × 10−7 см3/с.
В ожидаемом сценарии работы концентрация плазмы в пробке составляет около 5 × 1013 см−3. Вытекающая плазма расширяется вдоль силовых линий магнитного поля и ускоряется амбиполярным потенциалом, так что для оценки можно принять, что концентрация плазмы на плазмоприемнике (при степени расширения 200) составляет по порядку величины 1011 см−3.
При концентрации плазмы 1011 см−3 длина свободного пробега тепловой молекулы водорода по отношению к ионизации составляет около 20 см. Таким образом, поведение нейтрального водорода существенно зависит от энергии десорбирующихся с поверхности молекул – при тепловой десорбции длина свободного пробега существенно меньше диаметра плазмы, а при ионно-стимулированной десорбции эти размеры становятся сравнимыми. При этом существует некоторая вероятность неконтролируемого нарастания плотности плазмы на поверхности плазмоприемника вследствие положительной обратной связи по концентрации (десорбирующийся с поверхности молекулярный водород ионизируется, ускоряется в ленгмюровском слое на поверхности, бомбардирует и разогревает поверхность, что приводит к увеличению десорбции и росту плотности плазмы в расширителе).
Температура плазмы в ГДМЛ определяется балансом между притоком энергии (при передаче энергии от захваченных быстрых ионов и при поглощении энергии СВЧ-излучения при ЭЦР-нагреве) и ее стоком. Можно считать, что теряемая из установки энергия выделяется в плазмоприемниках за счет торможения попадающих в них ионов, ускоренных амбиполярным электрическим потенциалом, а также тепловых электронов. Наличие в баке расширителя нейтрального газа приводит к увеличению потерь энергии из плазмы за счет образования в плазме электрон-ионной пары вследствие ионизации молекулы водорода электронным ударом.
Энергия, выносимая на плазмоприемник такой парой, по порядку величины равна температуре электронов плазмы в центральной секции. Приняв площадь поверхности плазмы S = 1 м2 и концентрацию нейтрального газа в расширителе nH2 = 1013 см−3, получим эквивалентный поток атомов, поступающих в плазму
где ${{V}_{{{\text{TH2}}}}}$ – тепловая скорость молекул водорода.При указанной концентрации газа в расширителе количество образующихся в расширителе электрон-ионных пар и связанные с ними дополнительные потери энергии сравнимы потоком ионов, вытекающих из центральной секции установки и выносимой этим потоком энергией, так что для эффективного удержания плазмы концентрация газа в расширителе не должна превышать 1013 см−3.
Следует указать, что практически во всем расширителе длина пробега тепловых молекул по ионизации меньше радиуса плазмы, так что можно было бы ожидать экранирования приосевой области от потока нейтрального газа. При этом, однако, существуют механизмы проникновения нейтралов на ось плазменного шнура (образование франк-кондоновских атомов при диссоциации молекул водорода, нагрев молекулярного газа при столкновениях с ионами и т.д.). Для оценки глубины проникновения водорода в плазму и связанных с этим потерь энергии из плазмы требуется проведение численного моделирования поведения нейтрального газа в расширителе.
3.3.4. Методы подпитки плазмы веществом. В стартовой конфигурации установки ГДМЛ предполагается исследование режимов удержания плазмы, представляющих интерес для создания нейтронного источника. В этих режимах плазма является двухкомпонентной, то есть включающей в себя фракцию быстрых ионов, образующуюся в результате атомарной инжекции, и мишенную плазму с ионной температурой около 1–2 кэВ. Время удержания теплой плазмы существенно меньше времени удержания быстрых ионов и времени эксперимента, определяется газодинамическими потерями и составляет несколько миллисекунд. Для компенсации этих потерь и поддержания постоянной плотности плазмы служит система подпитки плазмы веществом.
Наиболее отработанным и простым методом подпитки плазмы является подача газа (водорода) на границу плазмы. Для планируемых параметров плазмы в центральной секции установки характерное время ионизации проникающих в плазму атомов водорода в несколько раз превышает характерное время их перезарядки на быстрых ионах, ввиду чего напуск газа в центральную область будет приводить к большим перезарядным потерям. Исходя из этого, газ должен вводиться в плазму в области между точкой остановки быстрых ионов и пробкой, при этом необходимо предотвратить проникновение газа в область удержания быстрых ионов.
Основная трудность создания подобной системы подпитки состоит в том, что при планируемых параметрах плазмы (ne = 5 × 1013 см−3, Te = = 800 эВ) длина пробега тепловой молекулы водорода в плазме по отношению к процессу ионизации электронным ударом H2 + e → ${\text{H}}_{2}^{ + }$ + 2e) составляет менее 1 мм, то есть тепловые молекулы не могут проникнуть в центральные области плазмы. Несколько глубже в плазму могут проникать франк-кондоновские атомы, образующиеся при диссоциации молекул H2 и ${\text{H}}_{2}^{ + }$. При энергии атомов 2 эВ длина их пробега определяется резонансной перезарядкой (H2 + H+ → ${\text{H}}_{2}^{ + }$ + H) и составляет около 5 мм. Образующиеся в этом процессе нейтралы с энергиями масштаба ионной температуры плазмы имеют длину пробега масштаба 10 см и уже могут как свободно проникать в плазму, так и выходить из нее на стенку камеры. Очевидным недостатком данного метода подпитки является значительный поток энергии (сравнимый с мощностью нагрева плазмы), выносимый нейтралами на стенку вакуумной камеры в локальной области напуска газа.
Следует отметить, что наличие холодных нетермализовавшихся ионов в области вблизи пробки существенно влияет на распределение электрического потенциала вдоль оси установки и, соответственно, время удержания тепловой компоненты плазмы. Кроме того, важным вопросом является мощность радиационных потерь, связанных с внесением в плазму нейтральных частиц. Для атомарного водорода при температуре плазмы выше 10 эВ энергия излучения на один ионизированный атом составляет 10 эВ и практически не зависит от температуры. Исходя из этого, простая оценка затрат мощности на ионизацию дает величину ~100 кВт, которая, однако, может значительно увеличиться при взаимодействии атомов с плазмой меньшей температуры за счет роста удельной энергии линейчатого излучения.
Следует указать также на альтернативные технологии подпитки плазмы веществом. На действующих и строящихся токамаках одним из основных методов подпитки плазмы является пеллет-инжекция. Системы пеллет-инжекции для токамаков достаточно хорошо развиты, однако применение этого метода на открытых ловушках требует решения ряда принципиальных вопросов. Во-первых, в связи с малым временем удержания плазмы частота инжекции пеллет должна быть не менее 1 кГц, при этом развитые к настоящему времени технологии позволяют создавать модули с частотой инжекции до 50 Гц [77]. Кроме того, следует учитывать особенности применения данного метода в ГДМЛ, связанные с его возможным воздействием на удержание быстрых ионов, МГД-устойчивость плазмы и однородность подпитки по сечению.
Другим часто обсуждаемым методом подпитки является инжекция плотных плазменных сгустков поперек магнитного поля. В работе [78] показана возможность инжекции плазменного сгустка из 1019 частиц в токамак ГЛОБУС-М с магнитным полем 0.4 Тл на глубину до 40 см, что соответствует требованиям к системе подпитки веществом для установки ГДМЛ. При этом, однако, уровень развития этой технологии в настоящее время не позволяет рассматривать ее в качестве основного метода подпитки веществом, но разработка и тестирование прототипа такого инжектора предусматриваются в рамках экспериментальной программы ГДМЛ.
3.4. МГД-устойчивость плазмы
Оценки времени удержания плазмы в ГДМЛ основаны на предположениях о том, что плазма находится в стационарном и осесимметричном состоянии равновесия. Так можно считать, если плазменная конфигурация является устойчивой. Если отсутствует МГД-устойчивость, развиваются желобковые или баллонные моды. Они приводят к конвекции плазмы и, при достаточно большой амплитуде, к радикальному снижению времени удержания. Обеспечение МГД-устойчивости плазмы в осесимметричных открытых ловушках является сложной проблемой, которой посвящены многочисленные работы и конструктивные предложения, сведенные в обзоре [79]. Без принятия специальных мер плазма в осесимметричных ловушках оказывается МГД-неустойчивой. Обеспечение устойчивости требует создания в ловушке таких зон, где благоприятная форма силовых линий магнитного поля сочетается с повышенным давлением плазмы. Если в качестве стабилизатора используется запробочная область расширителя, то за устойчивость приходится платить значительным повышением продольных потерь, а если это специально вводимая непараксиальная ячейка, то плата заключается в необходимости снижения предельного давления плазмы (и термоядерной эффективности) во всей ловушке и усложнении магнитной системы.
Эксперименты на установке ГДЛ показали, что, при специальном способе ограничения конвекции, потери при отказе от МГД-стабилизации расширителями меньше энергетической цены поддержания в них достаточного давления. Этот способ ограничения конвекции получил название “вихревого удержания” [36, 80] и более 10 лет используется в основном режиме работы установки ГДЛ. Таким образом, борьба за обеспечение традиционно понимаемой МГД-устойчивости плазмы в ГДЛ оказалась нецелесообразной. Ловушка успешно работает в режиме с колебаниями плазмы вокруг осесимметричного неустойчивого равновесия [81], а деградации удержания не наблюдается. По проекту, в ГДМЛ планируется использовать такой же режим вихревого удержания. Его эффективность при β < 0.6 можно считать доказанной.
Желобковая и баллонная неустойчивости отличаются ограничениями физической модели: “желобки” электростатические, и характеризуются постоянным потенциалом возмущения вдоль равновесной силовой линии, а описание баллонных мод более полное, и учитывает возможность изгибания магнитных силовых линий в процессе конвекции. Если желобковые моды стабилизированы, то при высоком β надо учитывать баллонные эффекты. В реальности это одна и та же конвективная неустойчивость, и при любом β “желобки” немного модулированы вдоль магнитного поля, просто это может не сильно сказываться на их динамике. При высоком давлении β > 0.6 баллонные эффекты должны становиться существенными даже в параксиальных ловушках типа ГДМЛ. В частности, эффективность торцевых методов стабилизации и вихревого удержания должна снижаться. Опыта работы ГДЛ в таких режимах нет, поэтому придется ориентироваться на теорию [82]. Для режимов с высоким β, в частности, для режима с “диамагнитным пузырем” разработан метод стабилизации проводящей стенкой, который может сочетаться с вихревым удержанием на старте разряда.
3.4.1. Вихревое удержание при низком β. Режим вихревого удержания требует поддержания определенных потенциалов на пластинах радиально секционированных плазмоприемников и/или лимитеров, т.е., использования этих поверхностей, находящихся в контакте с плазмой, в качестве электродов. Токи с электродов требуют системы питания, т.е., вихревое удержание также имеет энергетическую цену. Однако эта цена невелика – она много меньше цены продольных потерь, и, кроме того, часть затрат энергии остается в плазме как от дополнительного резистивного нагрева. Использование электродов имеет и свои сложности: необходимо поддерживать хороший контакт с плазмой, одновременно подавляя эрозию электродов, дуговые разряды на элементы камеры. Для их преодоления будет полезен опыт работы ГДЛ.
Метод вихревого удержания [36, 80] базируется на трех физических эффектах.
1. Дифференциальное вращение плазмы подавляет радиальную конвекцию и задает характерный размах осцилляций плазмы вблизи осесимметричного равновесия. Эффект подавления турбулентного конвективного переноса дифференциальным вращением хорошо известен в токамаках [83]. Его суть в том, что в дифференциальном течении протяженные по радиусу желобки или конвективные ячейки деформируются и распадаются на более мелкие. В отличие от токамаков, в открытых ловушках типа ГДЛ и ГДМЛ слой дифференциального вращения в плазме образуется не самосогласованным образом, как результат нелинейной эволюции турбулентности, а создается с помощью граничных условий (потенциалов на электродах). Его локализация (в потоковом слое, проецирующемся на стык электродов) и амплитуда задаются экспериментатором. Надо отметить, что дифференциальное вращение совсем не действует на жесткую моду m = 1 (где m – азимутальное волновое число), которая соответствует смещению плазмы как целого вместе с вращением.
2. Замыкание продольных токов плазмы на пластины плазмоприемника через приэлектродный скачок потенциала создает эффективный канал диссипации энергии флуктуаций. В низкотемпературной плазме, когда скачок потенциала мал и потенциалы плазмы и электрода близки, это замыкание токов может напрямую использоваться для МГД-стабилизации (“вмороженность в торцы” или “line-tying”) [80]. Действительно, причиной желобковой неустойчивости является поляризация силовых трубок при нарушении осевой симметрии в неоднородном магнитном поле из-за неполного замыкания азимутального диамагнитного тока плазмы. Замыкание лишнего тока через плазмоприемник позволяет частично устранить эту поляризацию. Поскольку приэлектродный скачок потенциала пропорционален электронной температуре, в ГДЛ и при проектных параметрах ГДМЛ диссипация недостаточна для полной МГД-стабилизации, но существенно замедляет конвекцию. Торможение конвекции сильно сказывается на крупномасштабных модах, почти не влияя на коротковолновые желобки. Такое различие обусловлено тем, что поляризационный ток обратно пропорционален азимутальному размеру желобка. При этом одной и той же скорости “всплытия” желобка соответствует одинаковое азимутальное электрическое поле, а значит, меньшая поляризационная разность потенциалов и меньший замыкающий продольный ток для желобков меньшего азимутального размера. Таким образом, эффект вмороженности в торцы пропорционален параметру 1/m2. Кроме того, диамагнитный ток, поляризация, и скорость конвекции в скрещенных полях обратно пропорциональны магнитному полю в ловушке, так что вмороженность в торцы лучше работает в сильном поле.
3. Стабилизация МГД-неустойчивости эффектом конечного ларморовского радиуса ионов (эффект КЛР) подавляет коротковолновые желобки в присутствии значительной популяции быстрых инжектированных ионов [80]. Этот эффект описывается дрейфовой поправкой к МГД-уравнениям. Его смысл в том, что азимутальный диамагнитный ток ионов обладает инерцией (так как его носители, ионы, обладают массой) и кинетической энергией. Ток течет вдоль контура постоянного давления, и кинетическая энергия пропорциональна его длине. Для круглого контура она минимальна, а при искажении желобками быстро растет. Если форма профиля давления не искажается, как при смещении плазмы как целого, то и эффект отсутствует. Эффект КЛР растет с ростом доли давления ионов (как при пучковом нагреве в ГДЛ и ГДМЛ), но совсем не действует на жесткую моду m = 1.
Хотя метод вихревого удержания основывается на этих трех известных эффектах, но он к ним не сводится. Действительно, эффекты дифференциального вращения и КЛР не действуют на жесткую моду m = 1 вообще, а деполяризация через торцы может лишь замедлить смещение плазмы от оси на лимитер, но не остановить его полностью. В этой связи жесткая мода m = 1 считалась наиболее опасной для ловушек типа ГДЛ.
Теория вихревого удержания [36, 80] предсказывает возможность нелинейно-диссипативного насыщения желобковых мод в условиях действия вышеприведенных эффектов, даже если эти моды неустойчивы. Существование таких квазистационарных МГД-колебаний в плазме газодинамической ловушки может и не приводить к заметной деградации удержания, а в случае отрицательного приложенного потенциала к центральным секциям плазмоприемника, вызывать положительный эффект – пинчевание разряда. Действительно, квазистационарные моды m = 1, 2 и пинчевание популяции быстрых ионов наблюдаются в режимах вихревого удержания в ГДЛ [81], что можно считать качественным подтверждением теории.
В теории вихревого удержания возникает четыре связанных условия для реализации режима с низкими конвективными потерями.
1. Слой дифференциально вращающейся плазмы должен разделять внутреннюю и внешнюю зоны конвекции, вызванные насыщенной модой. Только во внутренней зоне удержание плазмы достаточно хорошее. Это реализуется при достаточной глубине приложенного потенциала, а радиус зоны дифференциального вращения должен быть достаточно большим.
2. Амплитуда насыщенной моды по смещению не должна приводить к выходу плазмы за лимитер. Это реализуется при достаточно большой диссипации в приэлектродном слое (при достаточно сильной связи электродов с плазмой по току, т.е., достаточном токе продольных ионных потерь).
3. Эффект КЛР должен быть достаточным для подавления высших азимутальных мод. Если это условие не выполняется, то конвективные потери возрастают за счет связи внешней и внутренней зон конвекции через множественные х-точки сепаратрисы.
4. Создаваемое дифференциальное вращение плазмы не должно само приводить к возбуждению новых неустойчивостей, в частности, неустойчивости Кельвина–Гельмгольца. Для этого эффективная вязкость от эффекта КЛР и приэлектродная диссипация должны быть достаточны для ее стабилизации (а потенциал для генерации вращения не может быть слишком большим).
Эти условия связаны, поскольку ширина слоя дифференциального вращения при заданном потенциале определяет скорость, и не может быть меньше амплитуды насыщения моды по смещению. В результате, при реалистичных параметрах, она оказывается сравнимой с радиусом плазмы. Это препятствует реализации идеи о генерации множественных слоев дифференциального вращения для улучшения удержания. Кроме того, различные виды возможных МГД-неустойчивостей в газодинамических ловушках (желобковая, центробежная, температурно-градиентная и Кельвина–Гельмгольца) при низком β все являются “желобковыми” по пространственной структуре и отличаются только доминирующим видом возбуждения. Поэтому условия 1–4 учитывают и конвекцию при их развитии.
Невыполнение условий 3, 4 не приводит к полной потере вихревого удержания, но снижает его эффективность (растет поперечная диффузия). Обеспечить их выполнение в течение всего разряда довольно сложно. Действительно, относительная величина эффекта КЛР определяется отношением дрейфовой диамагнитной скорости к скорости E × B дрейфа, $\left| {\nabla {{p}_{i}}} \right|{\text{/}}en\left| {\nabla \varphi } \right|$, где pi – давление ионов, n – плотность, $\varphi $ – потенциал плазмы. В общем случае потенциал плазмы не равен приложенному к электродам потенциалу $\phi $, а зависит от эффективной вязкости плазмы и сценария разряда, например, инжекции момента импульса с атомарными пучками. В экспериментах на ГДЛ и в моделировании эффективность КЛР для выполнения условий 3,4 в квазистационарном разряде оказывается достаточной, если $U = {{P}_{i}}{\text{/}}en\phi \sim 5$, где Pi – давление ионов на оси. Такое соотношение можно поддерживать с помощью обратных связей или программирования приложенного потенциала, но это пока не проверено в экспериментах. Ниже получим скейлинги вихревого удержания на основе условий 1, 2 для двух случаев: “с сильным эффектом КЛР”, U > 5, и со “слабым эффектом КЛР”.
Для разрядов со слабым эффектом КЛР условие 1 сформулировано в теории [35, 80] в виде
где безразмерные параметры $\kappa $ и H отвечают за инкремент желобковой неустойчивости и темп приэлектродной диссипации соответственно. При параболическом радиальном профиле давления и параксиальном равновесии их можно приближенно записать в виде:Здесь значения параметров плазмы приведены к значению на магнитной оси в центральном сечении ловушки, a – радиус слоя дифференциального вращения (порядка радиуса плазмы), $\phi $ – разность потенциалов на электродах вихревого удержания, ${{\rho }_{*}}$ – ларморовский радиус, вычисленный по ионной массе и электронной температуре, Lρ – эффективная длина ловушки по плотности массы плазмы, Lκ – эффективная длина ловушки, вычисленная по средней кривизне поля с весом продольного распределения давления, ${{R}_{{{\text{eff}}}}}$ – эффективное пробочное отношение ловушки.
В обозначениях работ [35, 80] эффективная длина ловушки по плотности массы плазмы равна
где плотность $\rho $ берется на оси плазмы, а z = 0 – центр установки; эффективная длина ловушки, вычисленная по средней кривизне поля, равна: где g(z) = p(z)/p(0) – весовая функция давления, угловые скобки означают усреднение вдоль силовой линии, а $\alpha (z)$ характеризует параксиальную магнитную яму в соответствии с $1{\text{/}}B$ = ${\text{1/}}{{B}_{{\text{0}}}}{\text{(}}z) + \alpha (z){{r}^{{\text{2}}}}$. В вакуумном поле $\alpha $ = $(2{{B}_{0}}B_{0}^{{''}} - B_{0}^{{'2}}){\text{/}}8B_{0}^{3}$, и $\alpha > 0$ соответствует неблагоприятной кривизне силовых линий. Положительные значения $L_{\kappa }^{2}$ соответствуют линейной неустойчивости желобковых мод, что является типичным для осесимметричного пробкотрона без специальных стабилизаторов и для ГДМЛ. При $L_{\kappa }^{2} < 0$ система линейно устойчива и должна быть работоспособна даже без вихревого удержания. Параметр Lκ зависит не только от конфигурации магнитной системы, которая в ГДМЛ может меняться, но и от режима работы установки – высоты пика давления плещущихся ионов и режима течения в расширителях. В диапазоне проектных параметров первой фазы ГДМЛ ожидаемые значения Lκ составляют от 1 до 10 м. В конфигурации с многопробочными секциями вероятно смещение диапазона в сторону меньших значений, которые соответствуют бóльшей неблагоприятной кривизне и сильной линейной неустойчивости.Другим сложным параметром является Reff. Связь плазмы с электродами плазмоприемника характеризуется плотностью тока ионов на них, причем естественным параметром для нормализации этого тока является ток ионов плазмы с тепловой скоростью. Если отнести то и другое к силовой трубке, то получим
где ${{{v}}_{*}} = \sqrt {{{T}_{e}}{\text{/}}{{M}_{i}}} $, τ|| – время жизни ионов по продольным потерям. В классическом газодинамическом режиме продольных потерь с холодными ионами ${{R}_{{{\text{eff}}}}} = R = {{B}_{{\max }}}{\text{/}}{{B}_{{{\text{min}}}}}$. Однако, для ГДМЛ рассматривается возможность продвижения в сторону кинетического режима, что означает снижение темпа потерь по сравнению с газодинамическим. Это эквивалентно росту ${{R}_{{{\text{eff}}}}}$ по сравнению с магнитным пробочным отношением. К такому же эффекту должны приводить многопробочные секции. В первой фазе ГДМЛ предусмотрена работа с широким диапазоном значений поля в центре ловушки при постоянном поле в пробках и при разных значениях плотности. Это означает необходимость работы ловушки в широком диапазоне значений ${{R}_{{{\text{eff}}}}}$.С точки зрения первого условия вихревого удержания, чем больше приложенный потенциал $\phi $ – тем лучше. Тем не менее, опыт работы ГДЛ показывает, что оптимальный (с точки зрения эффективности и экспериментальной реализуемости) потенциал вихревого удержания оказывается порядка электронной температуры. Меньший – малоэффективен, а больший – ничего не улучшает, в частности, из-за уменьшения эффекта КЛР и генерации неустойчивости Кельвина–Гельмгольца, но повышает вероятность пробоев. Для дальнейших оценок будем считать, что $e\phi {\text{/}}{{T}_{e}}\sim 1$. Кроме того, отношение ионного и электронного давлений в ловушке с инжекцией можно грубо оценить как ${{P}_{i}}{\text{/}}{{P}_{e}}\sim 5,$ что соответствует лучшим режимам ГДЛ.
С учетом сказанного выше, в режиме газодинамических потерь из плазмы с фиксированным полем в магнитной пробке и с плещущимися ионами, скейлинг первого условия вихревого удержания для ГДМЛ при слабом эффекте КЛР можно представить как $T_{e}^{{1/2}}{{B}^{{ - 2}}} < C$, т.е. как зависимость предельной электронной температуры от магнитного поля в центре ловушки, $T_{e}^{{{\text{max}}}} \propto {{B}^{4}}$.
Второе условие, ограничение на амплитуду насыщения моды или ширину вихревого слоя, в обозначениях работы [35, 80] записывается как $\Delta {\text{/}}a$ = $2{{\xi }_{d}}$ = $2.34{{\left( {f{\text{/}}H} \right)}^{{1/3}}}$ < 1, причем $f$ = = $ - 2\kappa P_{0}^{'}{{m}^{2}}{{\xi }_{d}}$/$3H$, где m – номер доминирующей моды, и $P_{0}^{'} \approx - 0.8$ – характеристика радиального профиля давления. Отсюда получаем $\xi _{d}^{3}$ = = $ - 3.2\kappa P_{0}^{'}{{m}^{2}}{{\xi }_{d}}$/$3{{H}^{2}}$. Если эффект КЛР незначителен, то доминирует мода, соответствующая примерно круглым конвективным ячейкам в вихревом слое: $m\sim \pi {\text{/}}{{\xi }_{d}}$ (в противоположном пределе m = 1). Теперь условие $2{{\xi }_{d}} < 1$ можно переписать как
Таким образом, второе условие, как и первое, дает ограничение на электронную температуру с немного более слабым скейлингом, $T_{e}^{{{\text{max}}}} \propto {{B}^{3}}$, и, что важно, определяет минимальный радиус плазмы a.
При сильном эффекте КЛР (${{P}_{i}}{\text{/}}en\phi > 5$) первое условие вихревого удержания нужно заменить более мягким
поскольку инкремент моды m = 1 сильно подавлен торцевой диссипацией. После преобразований этот критерий можно переписать в видеЭто соответствует скейлингу предельной температуры вида $T_{e}^{{{\text{max}}}} \propto {{B}^{{10/3}}}$. Более мягким (в 2π раз) при сильном эффекте КЛР становится и условие на толщину вихревого слоя: m = 1 и $\xi _{d}^{2} \approx \kappa {\text{/}}{{H}^{2}}$, так что после подстановки, имеем
В этом случае скейлинг температуры такой же, как и при слабом эффекте КЛР, $T_{e}^{{{\text{max}}}} \propto {{B}^{3}}$.
Для графического представления результатов будем использовать критерии вихревого удержания, соответствующие сильному эффекту КЛР и $e\phi {\text{/}}{{T}_{e}} = 1$. Для оценки газодинамических потерь возьмем значение магнитного поля в пробке 12 Тл. Эффект КЛР соответствует большой доле плещущихся ионов в давлении, ${{P}_{i}}{\text{/}}{{P}_{e}} = 5$. Тогда получается, что критерии определяют максимальные рабочие значения электронной температуры в зависимости от магнитного поля в центре ловушки. Переход в кинетический режим продольного удержания при низкой плотности и высокой температуре фоновой плазмы снижает порог вихревого удержания (по сравнению с представленными графиками) пропорционально снижению продольного ионного тока потерь по сравнению с газодинамическим. Результаты, учитывающие оба критерия, приведены на рис. 16.
Рис. 16.
Максимальные рабочие значения электронной температуры в ГДМЛ при вихревом удержании в зависимости от магнитного поля в центре ловушки. Приведены графики, учитывающие оба критерия, для различных значений параметра ${{L}_{\kappa }}$ (который характеризует длину ловушки по кривизне силовых линий): Lk = 1 м (кривая 1), Lk = 3 м (кривая 2) и Lk = 10 м (кривая 3). Пунктиром показана зона целевых параметров ГДМЛ.

Как видно из рис. 16, в соответствии с теорией режим вихревого удержания будет эффективным в большинстве случаев. Проблемы с устойчивостью могут возникнуть при попытках перехода в кинетический режим продольного удержания при низкой плотности мишенной плазмы и низком магнитном поле в центре ловушки. При магнитном поле больше 0.5 Тл проблем с удержанием не ожидается. Сильный благоприятный скейлинг порога вихревого удержания с магнитным полем ($T_{e}^{{{\text{max}}}} \propto {{B}^{{3...4}}}$) позволяет рассматривать этот метод как потенциальную термоядерную технологию.
Существуют указания на то, что конвекция в открытых ловушках может быть подавлена сдвиговым течением и за границами режима вихревого удержания, когда связь плазмы с торцевыми электродами по току пренебрежимо мала [84–86]. Это может стать актуальным для полной версии ГДМЛ с многопробочными секциями и сильным подавлением продольных потерь. Для поддержания такого режима потребуется технология радиально-неоднородного ЭЦР-нагрева как на GAMMA-10, или иные способы поддержания сдвигового вращения.
3.4.2. Стабилизация балонных мод проводящей стенкой . Важной составляющей физической программы ГДМЛ является реализация режима удержания плазмы с предельным давлением β ≈ 1, в котором, предположительно, должно увеличиваться энергетическое время удержания (см. разд. 4.1). В этом режиме, а также на пути к нему на старте разряда от стандартных режимов с низким давлением, необходимо учитывать возможность развития баллонной неустойчивости.
По сравнению со стандартными условиями, в режимах с высоким давлением плазмы необходимо учитывать два важных эффекта: 1) существенное изменение равновесного магнитного поля, в том числе, кривизны его силовых линий, по сравнению с вакуумной конфигурацией; 2) возможное искривление или модуляцию желобков в процессе конвекции. Возможность модуляции желобков вдоль ловушки становится особенно выраженной в пределе относительного давления плазмы β → 1, так что любые формы торцевой стабилизации, включая вихревое удержание, должны терять эффективность. К счастью, в этом же пределе становится эффективным магнитное взаимодействие плазмы с окружающими проводниками (через наводимые в них токи Фуко при движении плазмы). Это взаимодействие можно эффективно использовать для стабилизации крупномасштабных мод типа жесткой моды m = = 1, в то время как устойчивость высших мод по-прежнему обеспечивается эффектами КЛР [79, 82].
В работе [82] показано, что при достаточно гладком магнитном поле в центре ловушки и при достаточно резком градиенте давления плазмы на краю разряда можно обеспечить баллонную устойчивость системы с помощью цилиндрической проводящей стенки, в том числе в переходных режимах. Гладкая форма равновесных силовых линий обеспечивает малый энергетический выигрыш при конвекции, а большой градиент на краю способствует выходу диамагнитного поля плазмы на проводящую стенку.
Пример расчета границы устойчивости баллонных мод из работы [82] приведен на рис. 17. В расчетах используется зависимость поперечного давления плазмы p от потока магнитного поля Ψ в виде p(Ψ) = p0(1 – Ψk/$\Psi _{0}^{{\text{k}}}$) при Ψ < Ψ0 и p = 0 при Ψ > Ψ0. Варианты кривых при k = (1, 2, 4, ∞) соответствуют возрастанию градиента давления к краю разряда). Резкий градиент на краю (∞) улучшает стеночную стабилизацию при высоком β при одновременном снижении устойчивости при низком давлении. Устойчивость плазмы при малых β в модели обеспечивается идеальной вмороженностью в торцы (line-tying), что не реализуется при параметрах ГДМЛ. Однако, с точки зрения устойчивости баллонных мод, ее можно считать грубым эквивалентом “вихревого удержания”, поскольку то и другое – торцевые эффекты, зависящие от электрического контакта плазмы с плазмоприемником.
Рис. 17.
Граница линейной МГД-устойчивости в зависимости от относительного расстояния от плазмы до проводящей стенки, при пробочном отношении R = 24 для различных радиальных профилей давления из работы [82]. Видно, что при достаточно близко расположенной стенке (rw < 2a) можно обеспечить устойчивость при всех β.

При конструировании магнитной системы ГДМЛ были приняты специальные меры, чтобы равновесные силовые линии при высоком давлении в центре ловушки оставались достаточно гладкими вплоть до точки остановки быстрых ионов (см. разд. 4.1). За точкой остановки происходит быстрое падение давления плазмы, разряд сужается, так что большая неблагоприятная кривизна силовых линий становится неизбежной. К счастью, именно в этой зоне происходит выход силовых линий диамагнитного поля из плазмы (подобно тому, как радиальное магнитное поле локализовано вблизи концов постоянного магнита), так что возможна локальная стабилизация баллонных мод проводящей стенкой именно там, где надо.
Большой градиент давления на краю разряда в ГДМЛ также реализуется, причем естественным образом и только при высоком β. Действительно, в расчетах режима диамагнитного удержания (с предельным давлением) показано, что при диамагнитном вытеснении магнитного поля из плазмы во внутренней зоне возрастают коэффициенты радиального переноса, так что градиент давления там мал (разд. 4.1). А весь перепад давления сосредоточен именно на границе “диамагнитного пузыря”.
Обеспечить полную идеально проводящую стенку вокруг разряда, как в теории, невозможно. Однако, этого и не требуется. Как было отмечено выше, в центральной части ГДМЛ диамагнитное поле плазмы сосредоточено внутри разряда, а дестабилизация мала, так что наличие проводящей стенки не играет роли, и конкретно там она не предусмотрена. За точками остановки быстрых ионов, где опасность возбуждения баллонных мод действительно велика, а поле плазмы “вываливается” наружу, предусмотрена установка массивных проводящих стабилизаторов с разрезами.
Хорошо известно, что метод стабилизации проводящей стенкой ограничен ее резистивностью, поскольку токи Фуко затухают со временем. В токамаках разработан способ преодоления этого недостатка – раскручивание плазмы, так что моды, вращающиеся вместе с ней, становятся быстропеременными с точки зрения проводимости стенки, а токи Фуко не затухают. Вращение плазмы и неустойчивых мод очень хорошо сочетается с системой поддержки “вихревого удержания”. Действительно, при вихревом удержании с помощью электродов и внешних источников тока поддерживается быстрое вращение плазмы в слое, расположенном именно на краю плазмы. Желобковые моды, наблюдаемые в ГДЛ и в моделировании, действительно являются вращающимися, с характерными частотами от 5 до 20 кГц. Такие же частоты ожидаются в ГДМЛ, что позволяет использовать медные стабилизаторы с толщиной порядка 1 см. Толщина и проводимость стабилизаторов также не может быть слишком большой, поскольку магнитное поле должно проникать в них за характерное время эволюции равновесного давления, порядка 10 мс.
Задача стабилизации мод высокого давления, похожая на стабилизацию жесткой баллонной моды m = 1 в ГДМЛ проводящей стенкой, ранее успешно решалась на установке типа FRC C-2W [46]. В ней в качестве стабилизаторов были предусмотрены не пассивные проводники, а активные магнитные контуры и обратные связи. Система показала работоспособность в пассивном режиме – с закороченными контурами. Принципиальная возможность использования аналогичных подходов для установки ГДМЛ существует.
3.4.3. Методы стабилизации в ГДМЛ. Таким образом, для поддержания МГД-устойчивости и подавления конвекции плазмы в конструкции ГДМЛ предусмотрен ряд специальных мер.
1. Система генерации и поддержания дифференциального вращения плазмы с помощью торцевых электродов, лимитеров и внешних источников тока, обеспечивающая реализацию режима “вихревого удержания” при β < 0.6 и вращение баллонных возмущений при предельных давлениях;
2. Магнитная система, обеспечивающая достаточно гладкое магнитное поле в центральной части ловушки, в том числе при предельных давлениях плазмы;
3. Внешние пассивные стабилизаторы баллонных мод с функцией “проводящей стенки”, расположенные вблизи точек остановки плещущихся ионов.
С учетом этого, имеющиеся экспериментальные и теоретические данные и их умеренные экстраполяции позволяют надеяться на успешную работу установки ГДМЛ в целевых режимах. Поскольку наиболее опасной является крупномасштабная мода m = 1, в случае недостаточности пассивных способов подавления конвекции в будущем возможна разработка и установка активных стабилизаторов с обратными связями.
3.5. Кинетические неустойчивости плазмы
В режиме двухкомпонентной плазмы в центральной ячейке ГДМЛ функция распределения ионов будет заметно отличаться от максвелловской. Это может спровоцировать неустойчивости сравнительно высокочастотных и мелкомасштабных колебаний (кинетические неустойчивости). Взаимодействие частиц плазмы с этими колебаниями может приводить к бесстолкновительному рассеянию и аномальным потерям частиц из ловушки. В открытых ловушках могут развиваться разнообразные кинетические неустойчивости (см., например, обзор [4]), однако в открытых ловушках с инжекцией мощных пучков нейтралов, как правило, наблюдаются две неустойчивости: альфвеновская ионно-циклотронная (АИЦН), дрейфово-конусная (Drift-Cyclotron Loss-Cone, DCLC) и “двугорбая” (Double-Humped, DH) неустойчивости. Следует подчеркнуть, что в данном разделе рассматривается устойчивость плазмы с конечным, но умеренным, относительным давлением β < 1.
3.5.1. Альфвеновская ионно-циклотронная неустойчивость. АИЦН – это электромагнитная неустойчивость, возбуждение которой приводит к генерации волн с эллиптической поляризацией, распространяющихся вдоль магнитного поля [87]. Частота неустойчивых возмущений ω меньше циклотронной частоты ионов Ωi. Поскольку возбуждение неустойчивости сопровождается возмущением магнитного поля, АИЦН может развиваться только тогда, когда отношение давления плазмы к давлению магнитного поля β превышает пороговое значение. Неустойчивые возмущения получают энергию при взаимодействии с резонансными ионами, продольная скорость ${{{v}}_{{||}}}$ которых удовлетворяет условию циклотронного резонанса
(5)
${{{v}}_{{||}}} = {{{v}}_{{{\text{res}}}}} \equiv \frac{{\omega - {{{{\Omega }}}_{i}}}}{{{{k}_{\parallel }}}},$Необходимым условием неустойчивости является положительность мнимой части ионного вклада в диэлектрическую проницаемость:
(6)
$\operatorname{Im} \left( {\varepsilon _{ + }^{{\left( i \right)}}} \right)\sim \frac{{\omega _{{{\text{pi}}}}^{2}}}{{{{\omega }^{2}}}}\int\limits_0^\infty {d{{{v}}_{ \bot }}{v}_{ \bot }^{2}} {{\left. {\left( {{{{v}}_{ \bot }}\frac{{\partial {{f}_{i}}}}{{\partial {{{v}}_{\parallel }}}} + \frac{{{{{{\Omega }}}_{i}}}}{{{{k}_{\parallel }}}}\frac{{\partial {{f}_{i}}}}{{\partial {{{v}}_{ \bot }}}}} \right)} \right|}_{{{{{v}}_{\parallel }} = {{{v}}_{{{\text{res}}}}}}}} > 0,$Экспериментальное наблюдение АИЦН на установках TMX [92, 93], GAMMA-10 [94] и ГДЛ [95–97] показывает, что уменьшение отношения поперечного давления быстрых ионов к продольному (например, при переходе от нормальной к наклонной инжекции) сильно уменьшает вызываемые неустойчивостью аномальные потери быстрых ионов. Так, на установке GAMMA-10 использование ИЦР-нагрева приводит к сильной анизотропии функции распределения ионов, что провоцирует возбуждение АИЦН [94]. Неустойчивость ограничивает анизотропию горячих ионов, что усиливает продольные потери горячих ионов и ограничивает плотность и давление плазмы. На установке TMX для создания амбиполярных барьеров применялась нормальная инжекция атомарных пучков в концевые пробкотроны. Из-за высокой анизотропии быстрых ионов в концевых пробкотронах возбуждалась АИЦН [92], которая приводила к нагреву ионов в центральной ячейке и их потерям через амбиполярные барьеры [93]. На установке TMX-U с наклонной атомарной инжекцией в концевые пробкотроны АИЦН не наблюдалась [98]. На установке ГДЛ, в плазме которой популяция быстрых ионов создается наклонной атомарной инжекцией, вызываемые АИЦН аномальные потери быстрых ионов в большинстве режимов не превосходят классические [96].
Сильное влияние угла инжекции на вызываемые АИЦН аномальные потери ионов объясняется, по-видимому, тем, что в случае наклонной инжекции лишь малая доля ионов (с энергией близкой к энергии инжекции) может резонансно взаимодействовать с неустойчивым возмущением. С одной стороны, это приводит к повышению критического β, при котором развивается неустойчивость, и уменьшению амплитуды неустойчивых колебаний. С другой стороны, при уменьшении доли резонансных ионов в плазме уменьшается и доля быстрых ионов, теряющихся из-за взаимодействия с волной (теоретическое рассмотрение показывает, что теряются в основном ионы с малой поперечной скоростью и продольной скоростью, близкой к продольной скорости инжектируемых атомов [99], доля таких ионов мала). Основной эффект, к которому приводит развитие АИЦН в плазме открытой ловушки с наклонной атомарной инжекцией, заключается в увеличении угловой ширины функции распределения ионов, что слабо влияет на их удержание, однако может ограничивать высоту и минимальную ширину пиков плотности быстрых ионов (и, соответственно, плотность потока нейтронов) в точках остановки.
В режиме удержания двухкомпонентной плазмы на установке ГДМЛ при планируемых параметрах (водородная плазма, концентрация электронов ne ≈ ≈ 5 × 1013 см−3) пороговое β, при превышении которого возбуждается АИЦН, существенно зависит от геометрии вакуумного магнитного поля. Если основной объем плазмы находится на участке длинного (около 4 метров) однородного магнитного поля, то стабилизация АИЦН продольной неоднородностью отсутствует, поскольку длина волны неустойчивого возмущения 2πVA/Ωi ≈ 2 м меньше длины участка однородного поля. Прямые численные расчеты с использованием методов, описанных в [91], предсказывают возбуждение АИЦН с частотой порядка 0.5Ωi и инкрементом порядка 10−2Ωi в большинстве режимов работы с участком однородного поля, описанных в разделе 3.2. В то же время изменение геометрии магнитного поля (замена длинного участка с однородным полем на область с магнитным полем, нарастающим от центра к пробкам), представляется эффективным способом стабилизации АИЦН, если характерный масштаб удвоения магнитного поля сравним с длиной волны возмущения. В проекте ГДМЛ режим работы с неоднородным полем в основной области удержания плазмы также предусмотрен, см. рис. 3 в разд. 2.1. В качестве методов стабилизации могут также использоваться снижение плотности и уменьшение радиуса мишенной плазмы.
Вопрос о влиянии АИЦН на удержание быстрых ионов в ГДМЛ в настоящее время остается открытым. Из-за сильной стабилизации АИЦН продольной и поперечной неоднородностью, достигнутая в эксперименте величина β на установке ГДЛ близка к пороговому значению. Поэтому АИЦН оказывается слабой: возмущение почти монохроматическое, наблюдается одна пространственная мода возмущения [95]. Помимо этого, время торможения быстрых ионов в ГДЛ (порядка 1 мс) сравнительно невелико: быстрый ион успевает пролететь через центральную область (где и происходит резонансное взаимодействие с волной) всего около тысячи раз. В этих условиях многие нелинейные эффекты не успевают проявиться, и влияние АИЦН на удержание горячих ионов в плазме сводится к увеличению углового разброса ионов с энергией, близкой к энергии инжекции, а также диффузии по питч-углу и аномальным продольным потерям ионов с большой продольной скоростью и питч-углом, близким к границе конуса потерь [96, 99]. Поскольку в ГДМЛ ожидается более высокая электронная температура, планируемое отношение времени торможения быстрого иона к периоду баунс-колебаний будет на порядок больше, чем в ГДЛ. В этих условиях АИЦН может стать важным фактором, ограничивающим время жизни быстрых ионов. Исследование аномальных потерь быстрых ионов, оптимизация конфигурации магнитного поля, параметров мишенной плазмы и инжекции будет одной из научных задач работы ГДМЛ.
Отдельно следует обсудить влияние АИЦН на потери при переходе в режим диамагнитного удержания, который будет обсуждаться в разд. 4.1. С одной стороны, при β ≈ 1 условие циклотронного резонанса (5) не может выполняться и АИЦН, по-видимому, стабилизируется. С другой стороны, на этапе накопления быстрых ионов АИЦН может спровоцировать дополнительные потери быстрых ионов и ограничить максимальное давление плазмы. Отметим, что сильные аномальные потери были одним из факторов, ограничивающим давление плазмы в эксперименте с попыткой обращения поля на установке 2XIIB [100]. Кроме того, в данном режиме стабилизация продольной неоднородностью невозможна, поскольку длинный участок однородного поля важен для формирования диамагнитного “пузыря”. Необходимость снижения вызванных АИЦН аномальных потерь при переходе в режим диамагнитного удержания может потребовать уменьшения радиуса плазмы до величины, близкой к ларморовскому радиусу быстрых ионов, и увеличения углового разброса быстрых ионов путем варьирования угла инжекции для разных атомарных инжекторов.
3.5.2. Дрейфово-конусная и двугорбая неустойчивости. Дрейфово-конусная (DCLC) и двухгорбая (DH) неустойчивости – это квазипотенциальные кинетические неустойчивости, возбуждение которых приводит к генерации волн потенциала, распространяющихся в азимутальном направлении [101, 102]. Частота таких колебаний ω порядка ионно-циклотронной частоты Ωi, поперечная длина волны мала по сравнению с ларморовским радиусом ионов (соответственно, зависимость возмущения потенциала от азимутального угла описывается выражением exp(imθ – – iωt) с большими азимутальными номерами |m| ~ ~ 10–100). Поскольку частота возмущений мала по сравнению с плазменной частотой электронов, возмущение потенциала выравнивается вдоль силовой линии и формируется квазижелобковая пространственная структура неустойчивых колебаний. Линейная стадия DCLC- и DH-неустойчивостей описывается общим дисперсионным соотношением, и формально они различаются лишь механизмом возбуждения: DCLC развивается за счет обедненности распределения ионов в области низких энергий (например, из-за наличия конуса потерь) и поперечной неоднородности плазмы, а DH-неустойчивость развивается из-за разницы средних поперечных скоростей быстрых и мишенных ионов, аналогично двухпотоковой неустойчивости (и поэтому может раскачиваться даже в однородной плазме).
Если распределение быстрых ионов обеднено в области низких энергий и теплые максвелловские ионы отсутствуют, то есть Fi(${v}$ = 0) = 0, то DCLC-неустойчивость развивается уже при очень слабой поперечной неоднородности, когда радиус плазмы равен нескольким сотням ларморовских радиусов ионов, причем инкремент неустойчивости может превышать циклотронную частоту ионов. Добавление теплых максвелловских ионов стабилизирует DCLC, когда их концентрация достигает нескольких процентов. Однако, если температура теплых ионов слишком мала, их добавление может спровоцировать DH-неустойчивость. Повышение температуры теплых ионов “замазывает” провал в распределении ионов при низких энергиях и способствует стабилизации DH-неустойчивости. В целом, при доле теплых максвелловских ионов в несколько десятых от концентрации быстрых и при температуре, превышающей несколько процентов от средней энергии быстрых ионов, DCLC- и DH-неустойчивости стабилизируются [103, 104].
Эффекты конечного β позволяют в несколько раз увеличить критический градиент плазмы, при котором развивается DCLC [105]. Продольная неоднородность плазмы уменьшает размер области, в которой неустойчивые возмущения эффективно обмениваются энергией с ионами, и способствует стабилизации DCLC- и DH-неустойчивостей. Дополнительным стабилизирующим фактором может выступать поглощение энергии колебаний в областях ловушки, заполненных холодными максвелловскими ионами, например, в расширителях [101, 106]. Поскольку неустойчивые возмущения вытянуты вдоль силовых линий, DCLC- и DH-неустойчивости могут стабилизироваться широм магнитного поля [101].
В целом, граница устойчивости для DCLC- и DH-неустойчивостей чувствительна к распределению низкоэнергетичных ионов, и, как следствие, к пространственному распределению электростатического потенциала в плазме. (Сильная зависимость амплитуды неустойчивых колебаний от потенциала плазмы неоднократно отмечалась в экспериментальных работах, см., например, работу [107].) Вытянутость неустойчивых возмущений вдоль силовых линий магнитного поля приводит к необходимости учитывать параметры плазмы вдоль всей ловушки, а не только в центральной части, при анализе устойчивости. Для получения достаточных условий устойчивости можно использовать дисперсионное соотношение для возмущений в продольно-однородной плазме (приведено, например, в работах [103, 104]).
Возбуждение DCLC приводит к бесстолкновительному рассеянию ионов, их диффузии по питч-углу и радиальной координате. Аномальные продольные потери ионов при вспышках DCLC, наблюдавшиеся на установках ПР-6 [107, 108] и 2XIIB [100], превышали классические. В то же время в центральной ячейке установки TMX-U, где DCLC развивалась из-за вытеснения мишенной плазмы из точек остановки быстрых ионов [98], заметных аномальных потерь не наблюдалось. По-видимому, это было связано с малой амплитудой неустойчивых колебаний, вызванной малостью области пространства, в которой колебания могли эффективно обмениваться энергией с быстрыми ионами. Квазилинейная теория предсказывает, что возбуждение DCLC-неустойчивости приводит к частичному заполнению конуса потерь ионов из-за диффузии по питч-углу, при этом производная функции распределения ионов $\partial {{F}_{i}}{\text{/}}\partial {{{v}}_{ \bot }}$ в области низких энергий уменьшается, что приводит к самоограничению амплитуды неустойчивых колебаний [109].
Расчеты с использованием кода ДОЛ (см. разд. 3.2) и дисперсионного соотношения для волн в продольно-однородной плазме показывают, что в ГДМЛ в режимах с низкой температурой мишенных ионов может развиваться DH-неустойчивость из-за неравновесности функции распределения быстрых ионов. Однако она стабилизируется при повышении температуры мишенной плазмы (такое увеличение также выгодно для повышения коэффициента усиления мощности Q). В то же время, увеличение температуры мишенных ионов приводит к тому, что они начинают удерживаться не в газодинамическом (конус потерь заполнен), а в кинетическом (конус потерь пуст) режиме. Увеличение электронной температуры плазмы, важное для повышения Q, уменьшает также долю ионов с низкой энергией, поскольку, во-первых, увеличивает амбиполярный потенциал в центре ловушки и, во-вторых, увеличивает угловую ширину распределения быстрых ионов и сильно снижает пики амбиполярного потенциала в точках остановки, между которыми могли бы захватываться теплые ионы. Анализ с использованием дисперсионного соотношения [104] показывает, что переход к удержанию мишенных ионов в кинетическом режиме должен сопровождается возбуждением мелкомасштабной (с длиной волны в сотни раз меньшей ларморовского радиуса быстрых ионов) DCLC-неустойчивости, развивающейся из-за опустошения конуса потерь мишенных ионов [110]. Такая неустойчивость, по-видимому, не будет влиять на удержание быстрых ионов, но может увеличить потери частиц и энергии из мишенной плазмы в кинетическом режиме до уровня, соответствующего газодинамическим потерям.
4. УЛУЧШЕНИЕ УДЕРЖАНИЯ ПЛАЗМЫ В ГДМЛ
4.1. Режим диамагнитного удержания плазмы
Одной из целей проекта ГДМЛ является экспериментальное исследование режима диамагнитного удержания плазмы, также иначе называемого диамагнитным пузырем [9]. Идея диамагнитного удержания может быть сформулирована на основе следующего рассуждения. Представим, что мы каким-то образом, например, за счет увеличения вкладываемой мощности нагрева, можем постепенно наращивать равновесное энергосодержание плазмы в газодинамической ловушке. Вакуумное магнитное поле, которое создается токами во внешних проводниках, будем считать фиксированным. На начальном этапе повышение энергосодержания будет происходить за счет увеличения давления плазмы в приосевой области, причем радиус плазмы не будет существенно расти, поскольку поперечный перенос в магнитном поле значительно подавлен в сравнении с продольными потерями. Величина относительного давления плазмы ограничена теоретическим пределом по равновесию β ≤ 1. Когда давление плазмы достигает давления вакуумного магнитного поля, образуется область, заполненная плазмой, из которой вытеснено магнитное поле (т.н. диамагнитный пузырь). На границе диамагнитного пузыря формируется переходной слой, в котором магнитное поле возрастает, а давление плазмы – убывает. Теоретические оценки [9] показывают, что в приближении одножидкостной магнитной гидродинамики (аналогичные оценкам для ширины вязко-резистивного слоя в каспах [111]) время жизни частиц в диамагнитном пузыре равно
где τgdt = $LR{\text{/}}2{{{v}}_{m}}$ – время удержания в классической газодинамической ловушке [33] (см. также раздел 3.1, формула (2)), ${{\tau }_{ \bot }} = {{a}^{2}}{\text{/}}\mathcal{D}$ – характерное время поперечной диффузии плазмы, 𝒟 – коэффициент диффузии плазмы поперек магнитного поля. Ширина переходного слоя в МГД-приближении определяется балансом между диффузией поперек магнитного поля и потерями плазмы вдоль поля, λ ~ (Dτgdt)1/2. Как правило, поперечный перенос в магнитном поле в значительной степени подавлен и ${{\tau }_{ \bot }} \gg {{\tau }_{{{\text{gdt}}}}}$, а значит, можно ожидать, что время удержания частиц в пузыре τn может существенно возрасти по сравнению с классическим газодинамическим временем τgdt (более реалистичные оценки, учитывающие кинетические эффекты приведены ниже).Удержание плазмы с β ≈ 1 в открытых ловушках ранее теоретически рассматривалось в [112–117]. Эффективное удержание плазмы с β ≈ 1 в газодинамической системе было продемонстрировано экспериментально на тестовом стенде 2МК-200 [118]. Структуры, подобные диамагнитному пузырю, называемые также магнитными дырами (magnetic holes), наблюдаются в космической плазме [119–122]. Режимы с β ≈ 1 теоретически и экспериментально исследовались в антипробкотронах (см. обзоры [111, 123]). В [124] отмечается, что ловушки с погруженными в плазму проводниками (“галатеи”) позволяют реализовывать конфигурации, которые авторы называли “магнитные баллоны” с β ≈ 1.
В [9] была построена стационарная гидродинамическая модель равновесия диамагнитного удержания в цилиндрическом приближении и получен равновесный профиль давления плазмы на границе пузыря (рис. 18). Обсуждались также возможность перехода в диамагнитный режим и методы стабилизации неустойчивостей в диамагнитном пузыре.
Рис. 18.
Равновесный профиль давления плазмы на границе диамагнитного пузыря (сплошная кривая) и асимптотики вблизи границы (β ≈ η2/12, пунктир) и далеко от границы (β ≈ 1 – exp(1.03(η + 3.8)), штрих-пунктир). Безразмерная переменная η = (r – a)/λ.

В работах [125, 126] гидродинамическая модель равновесия плазмы, построенная в [9], была расширена на случай непараксиальной осесимметричной ловушки. В частности, были построены равновесия пузыря для проектной конфигурации ГДМЛ (рис. 19). Исследовалось также влияние гофрировки магнитного поля на равновесие плазмы в режиме диамагнитного удержания. Была получена аналитическая зависимость глубины гофрировки границы пузыря δa0/a0 от начальной глубины гофрировки вакуумного магнитного поля на границе пузыря $\delta {{B}_{{v}}}_{0}{\text{/}}{{B}_{{v}}}_{0}$ и шага гофрировки h
Как отмечалось ранее, внутри пузыря магнитное поле близко к нулю. В этом случае ларморовский радиус и длина свободного пробега достаточно высокоэнергичных частиц могут оказаться сравнимы или больше характерных размеров неоднородностей магнитного поля. Особенно это актуально для ГДМЛ, где планируется инжекция атомарных пучков высокой энергии. Таким образом, возникает потребность в детальной кинетической модели высокоэнергичных частиц в диамагнитном пузыре. В работе [130] представлена полностью кинетическая модель равновесия диамагнитного пузыря в цилиндрической геометрии с функцией распределения, изотропной в поперечной плоскости. Бесстолкновительная динамика отдельных частиц и ее влияние на равновесие плазмы и переносы частиц и энергии в режиме диамагнитного удержания исследовалась в работах [30, 131]. При бесстолкновительном движении частицы в стационарном осесимметричном поле сохраняются энергия E и азимутальная компонента момента импульса Pθ = $mr{{{v}}_{\theta }}$ + eAθ/c, здесь Aθ(r, z) – азимутальная компонента векторного потенциала магнитного поля. Динамика частицы существенно зависит от знака и модуля азимутального момента Pθ. Вслед за [124] удобно называть частицы с ΩPθ < 0 кочастицами, а частицы с ΩPθ > 0 – контрчастицами (здесь Ω – циклотронная частота), у первых направление вращения вокруг оси ловушки совпадает с направлением циклотронного вращения в магнитном поле вне пузыря, у вторых – противоположно ему. В осесимметричных магнитных ловушках с гладким магнитным полем при бесстолкновительном движении частиц сохраняется адиабатический инвариант ${{I}_{r}} = \oint {{{p}_{r}}dr} $, связанный с разницей в периоде радиальных и продольных колебаний (см., например, [124, 132–134]); этот инвариант пропорционален потоку магнитного поля через орбиту частицы в системе отсчета, где траектория частицы замкнута и при движении частицы в однородном магнитном поле этот инвариант пропорционален сумме магнитного момента и Pθ. В диамагнитной ловушке инвариант сохраняется у частиц с достаточно малой продольной скоростью (для сохранения Ir требуется, чтобы поперечная структура электромагнитного поля в пузыре при продольном движении частицы слабо менялась за времена порядка периода радиальных колебаний). Наименьший период радиальных колебаний у контрчастиц, движущихся в области с сильным магнитным полем вне пузыря (период примерно равен периоду циклотронных колебаний) и у кочастиц с малой радиальной скоростью (вращаются по бетатронным орбитам вблизи границы пузыря); у этих групп частиц адиабатический инвариант разрушается позднее всего. По-видимому, основную роль в разрушении адиабатического инварианта играет мелкомасштабная гофрировка магнитного поля, возникающая из-за дискретной структуры магнитной системы установки; в [30] были найдены условия адиабатичности движения для нескольких групп частиц с различными типами траекторий. В целом условие адиабатичности сводится к тому, что продольная компонента скорости частиц не должна превышать порогового значения, зависящего от энергии и азимутального момента частицы, радиуса диамагнитного пузыря и структуры магнитного поля. Аналогичный вид имеет условие удержания адиабатически двигающихся частиц в ловушке; в диамагнитной ловушке с гладким вакуумным полем с амплитудой гофрировки менее процента в адиабатическом режиме могут удерживаться ионы с отношением продольной компоненты скорости к поперечной порядка сотни.
Важно отметить, что в осесимметричной ловушке большая часть кочастиц удерживается абсолютно, даже если двигается по хаотическим траекториям. Механизм абсолютного удержания связан с центробежной силой, отбрасывающей вращающиеся вокруг оси кочастицы по радиусу и не дающей частицам проникнуть в области с меньшим радиусом переходного слоя вблизи пробок. Хаотически движущиеся частицы, не удерживающиеся абсолютно, покидают ловушку за время порядка [30, 131]
где ${{\rho }_{{v}}}$ – ларморовский радиус частиц, вычисленный по вакуумному полю в центре.При рассмотрении времени жизни плазмы в диамагнитной ловушке нужно учитывать, что из-за сохранения азимутального момента и огромной разницы в массах ионов и электронов в пробках и в переходном слое могут формироваться области, в которые ионы могут попасть, а электроны из диамагнитного пузыря – нет. Для поддержания квазинейтральности плазмы в этих областях формируются электростатические потенциалы, подавляющие поток ионов. В простейшем случае истечения плазмы с максвелловским распределением время вытекания порядка τloss = τgdta/Δr, где Δr – ширина переходного слоя [30]. Ширина переходного слоя заведомо не может быть меньше ларморовского радиуса электрона, различные процессы, например, неустойчивости в переходном слое, будут приводить к его размыванию. Детально экспериментально и теоретически размывание переходного слоя исследовано в каспах [111, 123]. В частности, на магнитоэлектростатической ловушке АТОЛЛ [123] показано, что из-за вводимого в слой поперечного электрического поля (перепад потенциала на ширине слоя порядка 1 кВ) в плазме происходит возбуждение кинетических неустойчивостей (в том числе, длинноволновой ионно-звуковой неустойчивости [135, 136]), источником энергии для которых выступает различие в скоростях дрейфа ионов и электронов. Эти неустойчивости определяли структуру переходного слоя и приводили к аномальным потерям, в сотни раз превышающим классические (те, которые были бы в магнитоэлектростатической ловушке при учете только кулоновских столкновений) [123]. Возбуждение кинетических неустойчивостей в плазме на установке АТОЛЛ приводило к уширению переходного слоя до величины порядка ларморовского радиуса иона.
Систематические экспериментальные данные о структуре переходного плазменного слоя в открытых ловушках с β ≈ 1 в настоящее время отсутствуют. Для оценки времени жизни теплой плазмы в ГДМЛ далее используется “пессимистическая” оценка, когда ширина переходного слоя порядка ларморовского радиуса теплых ионов ρi, при этом запирающий поток ионов электростатический потенциал в переходном слое и в пробках отсутствует (в отличие от магнитоэлектростатической ловушки). Фактически мы пренебрегаем возможностью дополнительного запирания потока плазмы электростатическим потенциалом, игравшего важную роль на установке АТОЛЛ. Такая оценка согласуется с экспериментально измеренной шириной слоя в каспах [123].
В случае, когда поперечный перенос теплой плазмы снаружи от пузыря определяется кулоновскими столкновениями (и мал по сравнению с продольным переносом), а ларморовский радиус теплых ионов мал, можно построить простую нуль-мерную модель энергобаланса плазмы в Г-ДМЛ в режиме диамагнитного удержания. Энергия в диамагнитный пузырь вводится посредством нейтральной инжекции, быстрые ионы передают свою энергию мишенной плазме за время порядка времени торможения быстрых ионов на электронах τd (4), мишенная плазма теряется из ловушки за время порядка τloss, причем каждая ион-электронная пара выносит энергию порядка 8Te, где Te – температура электронов мишенной плазмы. Температура мишенной плазмы определяется балансом между вводимой мощностью Pinj и мощностью, выносимой вытекающей мишенной плазмой 8TeJsrc, где Jsrc – темп ввода теплых атомов в пузырь (в результате поддува газа либо пеллет-инжекции. Плотность мишенных ионов определяется балансом между вводом Jsrc и потерями πa2Lni/τloss. Температура и концентрация мишенных ионов порядка
(7)
${{T}_{i}}\sim {{T}_{e}}\sim \frac{1}{8}\frac{{{{k}_{{{\text{inj}}}}}{{P}_{{{\text{inj}}}}}}}{{{{J}_{{{\text{src}}}}}}},\quad {{n}_{i}}\sim \frac{1}{{2\pi }}\frac{{e{{B}_{{{\text{max}}}}}}}{c}\frac{{{{J}_{{{\text{src}}}}}}}{{{{T}_{e}}a}},$Плотность энергии плазмы внутри пузыря равна $B_{{v}}^{2}{\text{/}}8\pi $ и примерно совпадает с давлением быстрых ионов. С другой стороны, полное энергосодержание быстрых ионов определяется балансом между вводимой мощностью kinjPinj и передачей энергии мишенной плазме посредством торможения ионов на электронах
(8)
$\frac{{B_{{v}}^{2}}}{{8\pi }}\pi {{a}^{2}}L\sim {{k}_{{{\text{inj}}}}}{{P}_{{{\text{inj}}}}}{{\tau }_{d}},$Здесь Λ – кулоновский логарифм. Отметим, что e2/mec2 ≈ 3 × 10−13 см есть классический радиус электрона.
Эффективность захвата удовлетворяет уравнению
На рис. 20 приведен пример зависимости радиуса диамагнитного пузыря и концентрации мишенных ионов от темпа ввода мишенной плазмы при заданной мощности инжекции. Наблюдается сильная зависимость радиуса пузыря и концентрации мишенной плазмы от мощности поддува. При увеличении Jsrc растет концентрация мишенной плазмы, при этом увеличивается торможение быстрых ионов на электронах и растут продольные потери, поэтому полное содержание энергии уменьшается. Отметим, что при ${{B}_{{v}}}$ = 0.5 T и энергии инжекции 30 кэВ концентрация быстрых ионов в режиме диамагнитного удержания порядка 5 × 1013 см−3, а ларморовский радиус быстрых ионов примерно равен 4 см. При этом заложенные в нуль-мерную модель предположения, что плотность мишенных ионов много больше плотности быстрых ионов и радиус пузыря больше ларморовского радиуса быстрого иона, заведомо нарушаются при ni < 1014 см−3 и a < 4 см.
Рис. 20.
Пример зависимости радиуса диамагнитного пузыря, концентрации и температуры электронов мишенной плазмы и эффективности захвата от темпа ввода мишенных ионов. Параметры: магнитное поле в пробке и центральной секции Bmax = 20 Т и ${{B}_{{v}}}$ = 0.5 Т, расстояние между пробками L = 8 м, мощность нейтральной инжекции Pinj = = 24 МВт (сплошные кривые) и 12 МВт (пунктир), энергия инжекции 30 кэВ. При расчете коэффициента захвата использовались следующие сечения [76]: σex = 2.79 × 10–16 см2, $\sigma {{{v}}_{e}}{\text{/}}{{{v}}_{a}} \approx {{10}^{{ - 16}}}$ см2, σii ≈ 10–16 см2, σii ≈ 5 × 10–16 см2.

В переходном слое на границе плазма–вакуум средние скорости ионов и электронов отличаются (т.к. течет диамагнитный ток), и имеются значительные градиенты плотности и давления плазмы. Кроме того, в ГДМЛ функция распределения ионов будет существенно отличаться от максвелловской из-за использования атомарной инжекции для создания и поддержания разряда. Все это может провоцировать возбуждение кинетических неустойчивостей и аномальных потерь помимо описанных выше “классических” потерь. Систематические данные о кинетических неустойчивостях в осесимметричных открытых ловушках с мощной атомарной инжекцией и β ≈ 1 в настоящее время отсутствуют; основные данные получены на установке C-2W. В данной установке производится внеосевая инжекция в плазму атомарных пучков с энергией 15–40 кэВ и суммарной мощностью 13 МВт в предварительно созданную конфигурацию с обращенным полем [47]. В основном на указанной установке в плазме наблюдаются мелкомасштабные дрейфовые неустойчивости с широким пространственным спектром, сосредоточенные вблизи сепаратрисы и бегущие в азимутальном направлении. Отмечается, что дрейфовые неустойчивости не влияют на динамику быстрых ионов, поскольку радиус орбит ионов значительно превышает азимутальную длину волны неустойчивостей. Кроме того, в C2-W наблюдаются электромагнитные неустойчивости в плазме с частотой порядка ионно-циклотронной, предположительно связанные с возбуждением альфвеновских [137] либо бернштейновских [138] волн, при этом эти волны не влияют на энергосодержание популяции быстрых ионов. Отсутствие аномальных потерь быстрых ионов в плазме может быть связано с тем, что при использовании внеосевой атомарной инжекции большая часть быстрых ионов удерживается абсолютно, при этом угловое рассеяние должно слабо влиять на их темп потерь (в отличие от эксперимента по попытке обращения поля на установке 2XIIB [100], где из-за использования квадрупольных МГД-стабилизаторов осевая симметрия отсутствовала). Имеющиеся в настоящее время данные позволяют предполагать, что в осесимметричной диамагнитной ловушке связанные с микронеустойчивостями плазмы аномальные потери могут быть уменьшены до приемлемого уровня. Детальное изучение кинетических неустойчивостей в плазме с β ~ 1 и методов их стабилизации планируется при проведении поддерживающих экспериментов на установках ГДЛ и КОТ [8].
Экспериментальное исследование режима диамагнитного удержания является одной из задач первой очереди ГДМЛ. Расчеты кодом ДОЛ показывают (см. разд. 3.2) возможность достижения β > 0.7 в режимах с низким поддувом газа и умеренным магнитным полем (примерно 0.3 Т), что можно интерпретировать как переход к диамагнитному удержанию. Для увеличения плотности мощности нейтральной инжекции в плазму предусмотрена возможность поворота инжекторов в вертикальной плоскости (см. разд. 2.2) для проведения внеосевой инжекции, когда центр ларморовской орбиты быстрого иона примерно совпадает с осью ловушки. Также в ГДМЛ предусмотрен режим со ступенчатым подъемом магнитного поля (см. разд. 2.1), в котором планируется переход в режим диамагнитного удержания при умеренном магнитном поле (примерно 0.3 Т) с последующим подъемом поля до 1.5 Т; по мере подъема поля ожидается увеличение запасенной в плазме энергии. Переход в режим диамагнитного удержания, по-видимому, потребует решения проблем, связанных с МГД-устойчивостью и аномальными переносами в переходном слое. Для МГД-стабилизации планируется использование комбинации вихревого удержания и вмороженности магнитного поля в проводящую стенку (см. разд. 3.4). Подавление аномальных переносов потребует, вероятно, управления профилем вакуумного магнитного поля, распределением потенциала в переходном слое и газонапуском. Оценки показывают, что при переходе в режим диамагнитного удержания плазмы можно ожидать увеличения времени жизни частиц (и запасенной в плазме энергии) на порядок.
4.2. Многопробочное и геликоидальное удержание плазмы
Модульная конструкция открытых плазменных ловушек позволяет использовать дополнительные секции магнитной системы, специально предназначенные для уменьшения продольных потерь. В данном разделе будут рассматриваться предложения по использованию секций с периодическим магнитным полем для подавления продольных потерь частиц и энергии в проекте открытой ловушки нового поколения. При этом центральная часть (газодинамическая либо диамагнитная ловушка, в которой производится нагрев плазмы) остается без изменений. Таким образом, предполагается, что параметры плазмы в ловушке будут постепенно улучшаться по мере развития магнитной системы и добавления новых специализированных модулей.
В данном разделе мы для простоты будем предполагать, что в пробки центральной ловушки вылетает квазинейтральный поток термодинамически равновесной плазмы. Такое предположение будет являться справедливым для режима чисто газодинамического истечения плазмы. При увеличении температуры плазмы и соответствующем росте длины свободного пробега ионов (переход в кинетический режим удержания) будет наблюдаться депопуляция функции распределения в области малых поперечных скоростей, поскольку вылет частиц из ловушки будет соответствовать слабой диффузии внутрь конуса потерь в пространстве скоростей.
При рассмотрении работы центральной ловушки в режиме имитации источника нейтронов с двухкомпонентной плазмой мы будем предполагать, что быстрые ионы успевают термализоваться до того, как они рассеются до вылета в конус потерь. Далее в этом разделе наличие быстрых ионов в центральной ловушке будет игнорироваться; соответственно этому в качестве параметра относительного давления β будет подразумеваться только величина, относящаяся к потоку теплой плазмы. Усиление анизотропии функции распределения ионов в пространстве скоростей при переходе в кинетический режим удержания в центральной ловушке несомненно окажет влияние на эффективность подавления продольных потерь. Точное предсказание величины такого эффекта в магнитной системе конечной длины возможно только в результате численного моделирования при помощи специализированного кода, который еще только предстоит разработать. Поэтому в данном разделе мы ограничимся простыми численными оценками для понимания физики работы многопробочных и геликоидальных магнитных секций.
4.2.1. Принципы многопробочного удержания плазмы. Многопробочная схема магнитного удержания плазмы применительно к проблеме управляемого термоядерного синтеза была впервые предложена в начале 1970-х годов [11, 12]. Подробный обзор исследований многопробочного удержания, экспериментальные результаты и предложения реакторов, основанных на этой схеме, приведен в обзорах [34, 139]. В многопробочной ловушке магнитное поле периодически изменяется вдоль оси, образуя своего рода цепочку элементарных пробкотронов (ячеек многопробочной ловушки). Введем величину гофрировки поля (пробочное отношение ячеек многопробочной ловушки) в виде Rmm = Bmax/Bmin, где Bmax и Bmin – максимальная и минимальная магнитная индукция в каждой ячейке. В зависимости от глубины гофрировки, условно различают ловушки со слабой гофрировкой Rmm − 1 $ \ll $ 1, ловушки с умеренной гофрировкой Rmm − 1 ~ 1 и ловушки с сильной гофрировкой Rmm$ \gg $ 1. Отметим, что для целей данной работы интерес представляют только два последних случая.
В каждой ячейке многопробочной плазменной ловушки имеется две популяции ионов: пролетные, у которых питч-угол по отношению к магнитному полю мал, и запертые в локальных пробкотронах, у которых питч-угол достаточно велик. Пролетные частицы при рассеянии переходят в запертые и начинают совершать колебания, отражаясь от магнитных пробок. К моменту следующего рассеяния они вылетают с равной вероятностью в обоих направлениях. В результате продольное движение ионов вместо простого разлета вдоль магнитного поля становится диффузионным, а время жизни частиц при оптимальных условиях существенно возрастает по сравнению с временем свободного разлета плазмы вдоль соленоида
(9)
$t\sim \frac{{{{L}^{2}}}}{{{{{v}}_{{Ti}}}l}}{{\left( {{{R}_{{{\text{mm}}}}} - 1} \right)}^{2}} = N{{\left( {{{R}_{{{\text{mm}}}}} - 1} \right)}^{2}}{{\tau }_{0}},$Многопробочная ловушка эффективно работает в относительно небольшом пространстве параметров плазмы. Оптимальным условием является соразмерность эффективной длины элементарного пробкотрона и длины свободного пробега иона. Для случая умеренной гофрировки это сводится к простому условию λ = l (для перехода пролетной частицы в запертые и ее временного захвата в какой-то ячейке многопробочной системы требуется рассеяние на угол порядка единицы), для случая сильной гофрировки – к условию λ = Rmml (для захвата пролетной частицы достаточно рассеяния на угол порядка угла раствора конуса потерь).
Особенностью схемы многопробочного удержания является то, что величина полезного эффекта (трение пролетных ионов о локально-запертые) определяется скоростью рассеяния ионов по питч-углу. Любой процесс, приводящий к увеличению в плазме частоты столкновений ионов, является выгодным с точки зрения осуществимости многопробочного термоядерного реактора. Более подробно эта тема будет обсуждаться в п. 4.2.3.
4.2.2. Выбор параметров многопробочной системы. Существенное усложнение конструкции установки при добавлении в ее состав секций с многопробочным магнитным полем может быть оправдано, если такие секции смогут обеспечить уменьшение продольных потерь частиц и энергии плазмы в 3–10 раз по сравнению с временем жизни, обеспечиваемым собственно центральной ловушкой. Учитывая то, что в системе конечной длины только часть ячеек гофрированного поля может работать при условиях, близких к оптимальным, целесообразно рассматривать общее количество периодов гофрировки в каждой секции N = 10–20. При этом полная длина секций гофрированного поля должна быть соразмерной длине центральной ловушки. Из этих двух требований получаются ориентировочные параметры многопробочной секции: период гофрировки l ≈ 1 м, полная длина Lmm ≈ 15 м. Данные параметры должны быть уточнены при непосредственном проектировании многопробочных секций.
Перечень физических задач, решаемых на разных этапах развития модульной открытой ловушки нового поколения, предполагает возможность варьирования параметров плазмы в широких пределах. На рис. 21 приведены зависимости плотности плазмы (часть А) и классической длины свободного пробега ионов (часть В) от температуры, рассчитанные для плазмы с фиксированным относительным давлением β, удерживаемой в центральной ловушке в ведущем магнитном поле 1.5 Тл. Поэтому параметр β на этом рисунке относится только к давлению теплой компоненты, давление быстрых ионов здесь не учитывается. Расчет производился по формулам из [140]. На первом этапе работы ГДМЛ магнитное поле в центральной ловушке может быть меньшим. Графики для β ≈ 0.01 при B = 1.5 Тл будут соответствовать β ≈ ≈ 0.1 при B = 0.5 Тл и β ≈ 0.3 при B = 0.3 Тл; соответственно могут быть пересчитаны и зависимости для других параметров.
Рис. 21.
Зависимости плотности (А) и классической длины свободного пробега (B) от температуры для плазмы с фиксированной величиной β. Расчет проведен для равновесной плазмы, удерживаемой в магнитном поле B = 1.5 Тл. Величины β указаны у соответствующих кривых. Пунктирными линиями указаны значения λ = 1 м (оптимальная при l = 1 м и Rmm – 1 = 1) и λ = 5 м (оптимальная при l = 1 м и Rmm = 5).

Анализ рис. 21 показывает, что выгода от использования секций с многопробочным магнитным полем существенно зависит от сценария эксперимента. В основном сценарии моделирования параметров нейтронного источника с двухкомпонентной плазмой предполагается работа с параметрами теплой плазмы n ~ 3 × 1013 см−3 и Т ~ ~ 1 кэВ (соответствует относительному давлению теплой компоненты β ~ 0.3 при B = 0.3 Тл). Классическая длина рассеяния ионов в таком режиме составляет сотни метров. Тем самым, торможение потока многопробочной секцией как при умеренной (Rmm – 1 ~ 1), так и при сильной (Rmm = 5) гофрировке требует аномального рассеяния ионов.
С точки зрения реакторных перспектив открытой плазменной ловушки, работающей в режиме диамагнитного удержания, важным является обеспечение процесса перехода от газодинамического удержания с β ~ 0.3 в режим диамагнитного пузыря с β ≈ 1 при разумной мощности инжекции. Возможным сценарием для этого случая является создание на первой фазе эксперимента плотной однокомпонентной плазмы, параметры которой попадают в диапазон эффективной работы многопробочных секций (например, n ~ 3 × 1014 см−3 и Т ~ 200 эВ при B = 0.3 Тл). Затем на второй фазе происходит синхронное увеличение плотности и температуры плазмы в центральной ловушке до завершения процесса диамагнитного расширения плазмы, и только после этого на третьей фазе реализуется переход к удержанию двухкомпонентной плазмы при постепенном синхронном снижении концентрации и увеличении температуры при постоянной величине β. Без учета аномальной столкновительности на третьей фазе многопробочные секции будут постепенно терять эффективность из-за увеличения длины свободного пробега ионов теплой плазмы, однако, продольные потери будут уже иметь приемлемую величину и без многопробочных секций из-за увеличившегося эффективного пробочного отношения в диамагнитной ловушке. Возникающий вопрос о необходимости системы точного управления балансом между подпиткой веществом и мощностью, вкладываемой в плазму, в любом случае должен быть решен для успешной реализации идеи диамагнитной ловушки.
Физика работы многопробочных секций заключается в том, чтобы за счет рассеяния ионов на малый угол временно захватить пролетную частицу в локальный пробкотрон, и при следующем столкновении вернуть ее с вероятностью 50% в сторону центральной ловушки. Из этого вытекает важное техническое требование: магнитная индукция в пробках многопробочной системы должна быть не меньше, чем в основных пробках центральной ловушки. Пробочное отношение в гофрированной части следует выбирать максимально возможным (с учетом негативного влияния на устойчивость) для того, чтобы при заданном периоде гофрировки расширить работоспособность многопробочных секций в область высоких плазменных температур. Естественным минимумом поля при этом является такая же индукция, как и в центре основной ловушки. Данное решение, однако, в реальной конструкции может оказаться неоптимальным из-за ухудшения устойчивости плазмы (см. разд. 4.2.4).
Указанные требования к магнитному полю позволяют использовать в многопробочных секциях с фиксированным пробочным отношением катушки с конструкцией, близкой к конструкции пробочных узлов центральной ловушки, которые будут созданы на первом этапе сооружения новой установки.
4.2.3. Способы расширения доступного диапазона параметров плазмы. В предыдущем разделе обсуждались перспективы применения многопробочных секций при классическом рассеянии частиц плазмы. При повышении температуры плазмы до нескольких сот электронвольт для выполнения условия λ = Rmml длина ячейки многопробочной системы становится неприемлемо большой. Тем не менее, можно сделать многопробочные секции достаточно эффективными и для редкой горячей плазмы. Для этого нужно сделать так, чтобы рассеяние ионов в этих секциях было более быстрым по сравнению с рис. 21. Рассеяние может происходить как за счет кулоновских столкновений в плазме с измененными параметрами, так и при взаимодействии пролетных ионов с электромагнитными волнами в плазме. Изменение частоты кулоновских столкновений может быть достигнуто следующими путями:
1. Газонапуск в конце многопробочной секции. Принудительно повышается плотность и снижается температура плазмы на части многопробочной системы. Недостатком метода является охлаждение электронов плазмы в центральной части и, тем самым, снижение коэффициента плазменного усиления Q.
2. Напуск в многопробочные секции небольшого количества примеси со средним атомным номером Z (неон, кремний). При этом частота столкновений увеличивается как ${v}\sim \sum {{{n}_{z}}Z_{i}^{2}} $, где nz и Zi – концентрации и зарядовые числа соответствующих примесей. Снижение длины свободного пробега с λ ~ 300 м до λ ~ 1–5 м требует повышения частоты столкновений в 60–300 раз по сравнению с чисто водородной плазмой. При зарядовом числе иона примеси Z = 14 (полностью ионизированный кремний) локальная относительная плотность примеси должна достигать nz/nH ≈ 0.3. Такое предложение численно исследовалось в [141] применительно к многопробочному реактору. Экспериментального подтверждения нет. Недостатком метода также является охлаждение электронов плазмы в центральной части и, тем самым, снижение коэффициента плазменного усиления Q.
Аномальное рассеяние частиц возможно при развитии в плазме турбулентности с достаточно высоким среднеквадратичным значением электрического поля. Экспериментальные наблюдения аномального рассеяния частиц выполнялись только для определенных типов волн и источников их возбуждения. В ранее проведенных экспериментах аномальная столкновительность детально изучалась только при предельно высоких уровнях мощности накачки турбулентности. Из этого следует, что важной экспериментальной задачей программы многопробочных секций Г-ДМЛ будет являться исследование механизмов аномального рассеяния ионов при умеренной мощности накачки.
Для максимальной эффективности многопробочных секций необходима частота столкновений, обеспечивающая равенство длины свободного пробега и периода многопробочного поля
Здесь νeff – эффективная частота столкновений, ${{{v}}_{{Ti}}}$ – тепловая скорость ионов.
Эта частота рассеяния ионов мала по сравнению с ионной циклотронной частотой Ωi: для T = = 1 кэВ, l = 1 м значение частоты рассеяния составляет νeff ≈ 5 × 105 c−1 < 10−2 ωBi. Средняя мощность, передаваемая одному рассеиваемому иону, может быть оценена как:
(9a)
${{P}_{i}}\sim {{m}_{i}}\left( {1 - \kappa } \right){{\nu }_{{{\text{eff}}}}}{{{v}}_{{Ti}}}\delta {v}\sim {{m}_{i}}\left( {1 - \kappa } \right){{\nu }_{{{\text{eff}}}}}{v}_{{Ti}}^{2},$Формально мощность (9а) может быть большой – порядка мощности продольных потерь из центральной секции. Тем не менее, эта мощность идет на нагрев ионов и, в случае эффективного подавления потерь многопробочными секциями, возвращается в центральную секцию. Полезно сравнить мощность (9а) с характерной мощностью накачки колебаний, приводящих к рассеянию ионов. Поскольку механизмы этих колебаний могут быть различными, остановимся для определенности на случае винтовой ловушки (см. разд. 4.2.4). Основным отличием “бегущей” гофрировки от систем со стационарным магнитным полем будет наличие доли запертых частиц, движущихся навстречу потоку плазмы со скоростью ${{{v}}_{z}}$. В случае винтовой ловушки эта скорость пропорциональна шагу винта l и частоте вращения в скрещенных полях: ${{{v}}_{z}}$ = lωE × B/2π. В общем случае эта скорость может выбираться произвольно.
Для вращающейся плазмы в винтовом магнитном поле источником энергии служит радиальное электрическое поле, вызывающее вращение. Энергия внешнего источника через запертые ионы и переменное электрическое поле передается рассеиваемым ионам. Энергия, содержащаяся в захваченных частицах, пропорциональна их доле и кинетической энергии одного иона, движущегося со скоростью движения магнитных возмущений
Тогда обратное характерное время, за которое энергия должна передаваться от захваченных ионов к волне, составляет
Обезразмерим это время на ионную циклотронную частоту
Данная величина имеет смысл числа ионных циклотронных периодов, за которое захваченный ион должен отдать энергию волне. Разумная оценка для квадрата отношения скоростей составляет
Тем самым, передача энергии должна происходить достаточно медленно, и рассеяние не запрещено с энергетической точки зрения при доле запертых частиц κ ~ 10−2. Возникновение аномального рассеяния будет приводить к росту доли запертых частиц и повышать собственную эффективность, что формирует положительную обратную связь для данного процесса.
Стоит отметить, что для эффективной передачи энергии в поперечную компоненту скорости пролетных ионов важен инкремент и пространственный спектр наиболее неустойчивого колебания для выбранного механизма аномального рассеяния. Эти вопросы требуют экспериментального ответа, полученного в условиях, релевантных параметрам ГДМЛ.
На сегодняшний день экспериментально показаны два метода возбуждения аномальной столкновительности.
1. Возбуждение мелкомасштабной ленгмюровской турбулентности при инжекции электронного пучка. Как было показано в [142, 143], при таком процессе происходит турбулентное подавление продольной электронной теплопроводности. Это означает наличие, помимо высокочастотных ленгмюровских колебаний, достаточно низкочастотных электрических полей, вызванных, скорее всего, возникающими при турбулентности флуктуациями плотности. Эти поля могут приводить и к дополнительному рассеянию ионов. К трудностям этого метода следует отнести два обстоятельства. Во-первых, указанный метод возбуждения сильной ленгмюровской турбулентности был продемонстрирован для достаточно мощных импульсных электронных пучков. Требуется экспериментальное исследование возможности достижения интенсивного пучково-плазменного взаимодействия при разумной мощности квазистационарных электронных пучков. Во-вторых, требуется поиск такого режима инжекции пучка, при котором пучково-плазменное взаимодействие было бы локализовано только в многопробочных секциях, не захватывая центральную ловушку, в которой дополнительное рассеяние ионов недопустимо. В-третьих, создание технологии генерации электронных пучков, работоспособной в условиях мощного встречного потока плазмы, является отдельной и неочевидной научно-технической задачей.
2. Возбуждение крупномасштабной баунс-неустойчивости на слабозапертых ионах в ячейках многопробочной секции. Такая неустойчивость была впервые обнаружена экспериментально на установке ГОЛ-3 [31] и затем исследована теоретически в [144]. На установке ГОЛ-3 наблюдалось самопроизвольное возникновение баунс-неустойчивости в областях с большим градиентом давления плазмы. При этом скорость расширения плазмы, по-видимому, превышала порог развития неустойчивости, неустойчивость поддерживалась в течение всего времени, пока существовал достаточно большой продольный поток плазмы. Не исключено, что порог самопроизвольного развития баунс-неустойчивости окажется слишком высоким для того, чтобы этот эффект можно было использовать в том виде, в котором он наблюдался на ГОЛ-3. Однако существует возможность принудительной раскачки баунс-колебаний на резонансной частоте при помощи антенны. Для этого требуется не только создание соответствующей экспериментальной техники, но и достаточно точный контроль параметров плазмы в многопробочных секциях для передачи их в систему автоматической подстройки ВЧ-генератора.
Таким образом, методы сокращения эффективной длины свободного пробега ионов существуют, однако ни один из них на текущий момент не является полностью подтвержденным. Требуется экспериментальное исследование этих методов, которое должно являться одной из научных задач проекта ГДМЛ.
4.2.4. Влияние многопробочных секций на устойчивость плазмы. Помимо положительного влияния на время продольного удержания плазмы, секции с многопробочным магнитным полем одновременно ухудшают общую МГД-устойчивость плазмы в ловушке. Каждая многопробочная секция является набором из большого количества элементарных простейших пробкотронов, которые, как известно, являются МГД-неустойчивыми [145]. Более того, при сильной гофрировке с Rmm $ \gg $ 1, приближающуюся к величине пробочного отношения в центральной ловушке, средняя кривизна силовой линии в многопробочной секции и, следовательно, величина отрицательного вклада этих секций в общий интеграл устойчивости, будет существенно большей, чем вклад от центральной ловушки.
Для оценки МГД-устойчивости области удержания используем критерий Розенблюта–Лонгмайeра [145]
В параксиальном приближении r = r0(B0/B)1/2 и κ = d2r/dz2, при этом κ/r = (3/4)((B'/B)2 – 2B''/B). Таким образом, в параксиальном приближении критерий можно переписать в виде
(10)
$\begin{gathered} - \frac{1}{{8{{\pi }}}}\int {\frac{2}{{\sqrt B }}\frac{3}{4}} {{\left( {\frac{{B'}}{{\sqrt B }}} \right)}^{'}}\left( {{{\beta }_{ \bot }} + {{\beta }_{\parallel }}} \right)dl = \\ = \frac{1}{{8{{\pi }}}}\int {\sqrt B } \left( {1{\text{/}}\sqrt B } \right)''\left( {{{\beta }_{ \bot }} + {{\beta }_{\parallel }}} \right)dl > 0. \\ \end{gathered} $Поле в многопробочной секции аппроксимируем функцией B(z) = (Bmax + Bmin)/2 + (Bmax – ‒ Bmin)cos(2πz/L)/2. Тогда интеграл (10) в многопробочной секции можно записать в виде (полагаем давление постоянным)
(11)
$\begin{gathered} \int {\frac{{\kappa \left( {{{p}_{ \bot }} + {{p}_{\parallel }}} \right)}}{{r{{B}^{2}}}}dl} \approx \\ \, \approx N\frac{{{{p}_{ \bot }} + {{p}_{\parallel }}}}{{B_{{{\text{max}}}}^{2}}}\int\limits_0^l {\sqrt B \left( {1{\text{/}}\sqrt B } \right)''} \frac{{dl}}{{{{B}^{2}}{\text{/}}B_{{{\text{max}}}}^{2}}} = \\ \, = N\frac{{{{p}_{ \bot }} + {{p}_{\parallel }}}}{{lB_{{{\text{max}}}}^{2}}}\int\limits_0^1 {\sqrt b \left( {1{\text{/}}\sqrt b } \right)''} \frac{{dl}}{{b{{{\left( {x,{{R}_{{{\text{mm}}}}}} \right)}}^{2}}}}, \\ \end{gathered} $(12)
$F\left( R \right) = - \frac{{32}}{{3{{\pi }^{2}}}}\frac{1}{{{{{\left( {R - 1} \right)}}^{2}}}}\int\limits_0^1 {\sqrt b \left( {1{\text{/}}\sqrt b } \right){\kern 1pt} '{\kern 1pt} '} \frac{{dl}}{{b{{{\left( {x,R} \right)}}^{2}}}}.$График функции F(R) изображен на рис. 22. Видно, что эта функция порядка единицы и слабо меняется при изменении пробочного отношения.
Окончательно интеграл (11) можно записать в виде
(13)
$\begin{gathered} \int {\frac{{\kappa \left( {{{p}_{ \bot }} + {{p}_{\parallel }}} \right)}}{{r{{B}^{2}}}}dl} \approx - \frac{{{{\beta }_{ \bot }} + {{\beta }_{\parallel }}}}{{8\pi }}\frac{N}{l}\frac{{3{{\pi }^{2}}}}{{32}} \\ \times \;{{\left( {{{R}_{{{\text{mm}}}}} - 1} \right)}^{2}}F\left( {{{R}_{{{\text{mm}}}}}} \right) \approx - \frac{{{{\beta }_{ \bot }} + {{\beta }_{\parallel }}}}{{8\pi }}\frac{N}{l}{{\left( {{{R}_{{{\text{mm}}}}} - 1} \right)}^{2}}. \\ \end{gathered} $Для учета вклада второй многопробочной секции его значение нужно умножить на два. Поскольку смыслом создания многопробочных секций магнитной системы является подавление потока плазмы вдоль магнитного поля, то оценка (13) является заведомо завышенной, она может использоваться в качестве пессимистического ориентира. Причиной является то, что давление плазмы постепенно понижается от центра к торцу установки и, тем самым, вклад концевых секций в интеграл устойчивости оказывается существенно меньше того, который принят для формулы (13). При оптимальном режиме работы многопробочной системы ожидаемое распределение давления по длине похоже на лесенку, в которой внутри каждого периода гофрировки давление плазмы меняется слабо, а скачки плотности и амбиполярного потенциала локализованы вблизи пробок [146, 147].
Оценим длину многопробочных секций, при которых их дестабилизирующий вклад в интеграл (13) сравняется с вкладом от центральной секции ловушки. При скорости поддува газа с эквивалентным током 2.4 кА, относительном давлении плазмы β = 0.1, плотности теплой плазмы в пробке 6 × 1019 м−3 интеграл (10) равен – 3 × 10−3 см–1. При пробочном отношении Rmm = 2 и расстоянии между пробками 1 м вклад многопробочных секций (13) сравнивается с вкладом области удержания при числе ячеек N ≈ 400. Даже при сильной гофрировке Rmm = 5 допустимое число многопробочных ячеек составляет N ≈ 25, что представляется достаточным для задач экспериментальной программы.
4.2.5. Удержание винтовыми пробками. Схема винтового удержания предполагает создание ведущего магнитного поля с винтовой (геликоидальной) симметрией. В подобной геометрии вдоль каждой силовой линии возникают периодические максимумы магнитного поля, образующие многопробочную систему. Как уже отмечалось ранее, при использовании техники вихревого удержания для ограничения поперечных потерь, плазма вращается вокруг оси в скрещенных электрическом и магнитном полях. Использование многопробочных секций с винтовой симметрией магнитного поля позволяет повысить эффективность удержания за счет создания дополнительной силы, зависящей от взаимного направления вращения плазмы и спиральности магнитного поля. Аналогично классическому многопробочному удержанию, между максимумами магнитного поля возникает популяция запертых частиц. На соседних силовых линиях магнитные пробки смещены вдоль продольной координаты. В системе отсчета, вращающейся синхронно с плазмой, максимумы магнитного поля движутся вдоль оси установки со скоростью, зависящей от шага спирали [35, 148].
где h – шаг спирали, Er – радиальное электрическое поле, a – радиус плазменного шнура, Bz – ведущее магнитное поле. При разумных геометрических параметрах и электрическом поле Er ~ Te/a скорость движения магнитных возмущений может быть сравнима с ионно-звуковой скоростью. В случае, если длина свободного пробега частицы относительно рассеяния в конус потерь мала по сравнению с длиной системы, конус потерь каждой отдельной ячейки многопробочного поля заполняется. Вариации поля передают импульс захваченным частицам; те, в свою очередь, создают тормозящую силу, действующую на плазму в целом.Направление действия силы определяется тремя независимыми параметрами: направлениями ведущего магнитного и радиального электрического полей и правой либо левой симметрией винтового поля. Тем самым, выбор симметрии позволяет перекачивать плазму в сторону центральной ловушки в обеих концевых секциях.
Глубина гофрировки магнитного поля в системе с винтовой симметрией переменна по радиусу. Гофрировка на магнитной оси отсутствует и в оптимальном случае возрастает квадратично с радиусом [149].
Длина ловушки, необходимая для подавления потерь в многопробочной ловушке движущимися пробками в e раз, оценена в [13] как
Аналитическая модель продольного и радиального транспорта частиц представлена в [13]. В [150] приведена оценка радиального электрического поля, необходимого для требуемой эффективности подавления продольного потока плазмы. Приведенные оценки показывают, что для практически значимых параметров при κ ≠ 0 величина требуемого электрического поля составляет ${{E}_{r}}\sim \left( {3{\kern 1pt} - {\kern 1pt} 4} \right){{T}_{e}}{\text{/}}ea$. Разность потенциалов между осью и периферией плазмы U ~ 4Te представляется реализуемой в условиях ГДМЛ и может быть совместимой с режимом вихревого удержания.
В [13] было также показано, что при отрицательном потенциале на оси плазменного шнура возникает неоклассический перенос ионов, необходимый для замыкания токов, который приводит к уменьшению среднего радиуса плазменного шнура (пинчеванию плазмы). Аналогичным образом проявляется неоднородность глубины гофрировки по сечению плазмы. Указанные эффекты позволяют противодействовать расширению плазмы за счет поперечной диффузии. В то же время, стягивание плазмы к центру, где популяция запертых частиц отсутствует, ограничивает предельно достижимую эффективность указанной схемы и может требовать дополнительных мер для улучшения продольного удержания.
Результаты экспериментальной проверки теории винтового удержания приведены в [14, 151, 152]. Экспериментально показано подавление продольного потока плазмы в секции с винтовым магнитным полем, соответствующее эффективному пробочному отношению Reff > 10. Наблюдаемое распределение плотности плазмы соответствует расчетам, выполненным на основе модели продольных и поперечных переносов [13]. Обнаружено как снижение максимальной плотности, так и описанное выше уменьшение среднего радиуса плазменной струи. При максимальной скорости вращения и глубине гофрировки обнаружено формирование обратного (т.е., движущегося в направлении градиента плотности) потока ионов в приосевой области плазменного шнура.
Аналитическая оценка, приведенная в [35], предсказывает большую эффективность винтового удержания по сравнению с классическим многопробочным при любой длине секции. В то же время, данная оценка неприменима для сравнения систем со схожими инженерными параметрами, поскольку предполагает равенство усредненных по сечению пробочных отношений. Поскольку локальное пробочное отношение в магнитной системе с винтовой симметрией спадает к оси, более значимым для практики сравнением будет сравнение систем с равным локальным пробочным отношением на границе плазменного шнура. На рис. 23 приведено сравнение эффективности многопробочного удержания, рассчитанной по (9), и эффективности винтового удержания, рассчитанной на основе уравнений переноса из [13]. Электронная температура принята равной Te = = 1 кэВ, ведущее магнитное поле Bz = 10 Тл, угловая скорость вращения плазмы в винтовой системе принята постоянной по радиусу и соответствует перепаду потенциалов между осью и периферией U = 4 Te. Локальное пробочное отношение на периферии плазмы принято R(a) = 2 либо R(a) = 5, что отвечает Rmm = 2 либо Rmm = 5 в многопробочной системе и Rmean = 1.5 либо Rmean = 3 в винтовой системе. Длина свободного пробега принималась равной периоду магнитного поля (раздел 4.2.3). Для систем малой длины многопробочные секции более эффективны за счет большего пробочного отношения, при большой длине большей эффективностью обладают винтовые секции. Равная эффективность систем соответствует длине L = 10–20 l, где l – длина периода многопробочной системы.
Рис. 23.
(а): Расчетная зависимость эффективного пробочного отношения многопробочной (кривая 1) и винтовой (кривая 2) секций от числа периодов магнитного поля при глубине гофрировки на краю R(a) = 2. (б): Зависимость отношения эффективностей винтовой и многопробочной секций от числа периодов магнитного поля при глубине гофрировки на краю R(a) = 2 (кривая 3) и R(a) = 5 (кривая 4).

Выполнение условия малости длины свободного пробега по сравнению с длиной системы за счет только парных кулоновских столкновений, аналогично классическому многопробочному удержанию, невозможно. В то же время, если относительная скорость захваченных и пролетных частиц в системе с движущимися пробками превышает скорость звука cs, возникают условия для возбуждения двухпотоковой неустойчивости, что может быть способом снизить эффективную длину свободного пробега до необходимых значений [13]. Данный механизм аномальной столкновительности в настоящее время исследуется на установке СМОЛА [152]. Косвенным признаком его наличия может служить эффективное удержание, наблюдавшееся в экспериментах при классической длине свободного пробега относительно кулоновских столкновений, сравнимой с длиной установки [152]. Еще одной теоретической возможностью снижения эффективной длины свободного пробега является стохастизация движения ионов, предложенная в [153]. Данный метод также предполагается верифицировать в эксперименте.
4.2.6. Заключение по многопробочному и геликоидальному удержанию плазмы в ГДМЛ. В этом разделе были рассмотрены два метода, позволяющие улучшить продольное удержание плазмы в ловушке при помощи дополнительных секций магнитной системы. Обе обсуждавшиеся технологии, многопробочное и геликоидальное удержание, используют магнитное поле, периодически изменяющееся вдоль оси системы. В многопробочной системе это поле аксиально-симметрично, такая система является полностью пассивной, то есть не требует дополнительного воздействия на плазму. В геликоидальной системе магнитное поле имеет винтовую симметрию с пространственной осью. Глубина модуляции поля максимальна на периферии и стремится к нулю на магнитной оси. Поэтому такая система имеет более сильную эффективность подавления продольного течения плазмы на периферии. Помимо этого, для работы геликоидального удержания требуется обеспечить вращение плазмы. Предполагается, что для этого будут использоваться те же самые электроды и системы питания, которые нужны для стабилизации плазмы в ловушке методом вихревого удержания. Дополнительным бонусом геликоидальной системы является то, что она должна обеспечивать пинчевание плазмы к оси, т.е. является способом противодействия диффузионному расширению плазмы.
С точки зрения техники, классическая многопробочная магнитная система использует простые осесимметричные катушки, которые могут быть изготовлены практически по тем же технологиям, что и основные пробочные катушки центральной ловушки. Многопробочная система легко делается модульной. Секции с геликоидальным полем являются более сложными с точки зрения технологии производства и условий работы токонесущих обмоток. В принципе можно рассматривать секции с винтовым полем как часть магнитной системы распрямленного стелларатора, например, имеющего две спиральные обмотки по типу стелларатора LHD. Производство секций с геликоидальным полем с магнитной индукцией до величины масштаба 5 Тл при длине в несколько метров представляется выполнимой задачей.
Учитывая особенности работы и параметры магнитных систем многопробочной и геликоидальной ловушек, представляется целесообразным рассмотреть следующую структуру установки. В центре находится основная ловушка газодинамического или диамагнитного типа, в которой происходит нагрев плазмы. Ведущее поле в этой ловушке может изменяться в пределах 0.3–1.5 Тл. Секции с геликоидальным полем располагаются между центральной ловушкой и первыми магнитными пробками, магнитная индукция в них выбирается максимально возможной по имеющейся технологии так, чтобы точки остановки быстрых ионов оставались в центральной ловушке до перехода к винтовой секции. Далее располагается пробочный узел, за ним – регулярная многопробочная структура, после которой – расширитель магнитного потока и плазмоприемники. В этой схеме секция с винтовым полем будет наиболее сильно замедлять потери плазмы из переходных слоев диамагнитного пузыря (в которых и происходят основные продольные потери) и смещать обратный поток плазмы ближе к оси, а многопробочные секции будут дополнительно уменьшать продольные потери, возвращая назад часть вылетевших в пробки частиц.
Физика работы секций с классическим многопробочным и геликоидальным магнитным полем достаточно хорошо разработана в теории. В то же время по ряду причин до сих пор отсутствует независимая экспериментальная верификация в диапазоне безразмерных параметров, соответствующих предполагаемым режимам работы открытой ловушки нового поколения. Поэтому в ИЯФ СО РАН ведутся параллельные экспериментальные программы, направленные на разработку соответствующей физической базы знаний и новых технологий удержания плазмы.
Физика многопробочного удержания в магнитной конфигурации, впервые состоящей из центральной газодинамической ловушки с многопробочными секциями для уменьшения продольных потерь, будет изучаться на установке ГОЛ-NB. Нагрев плазмы с плотностью масштаба n ~ 3 × 1019 м−3 будет осуществляться методом атомарной инжекции с суммарной мощностью двух пучков до 1.5 МВт. Описание физических задач проекта, достижимых параметров и конструкции установки приведено в [154–156]. В [157, 158] было впервые экспериментально подтверждено предсказание теории [159] о том, что нет существенных отличий при транспортировке потока сильностолкновительной плазмы через секцию сильного поля в соленоидальной и многопробочной конфигурациях. В настоящее время ведется изучение процессов накопления, нагрева и удержания плазмы в центральной ловушке при соленоидальном включении секций сильного поля [160, 161]. Программа работ на установке ГО-Л‑NB предусматривает проверку идей, изложенных в разд. 4.2.3.
Проверка концепции винтового удержания проводится на установке СМОЛА, запущенной в ИЯФ СО РАН в 2017 г. [149, 150]. В экспериментах было показано наличие эффекта винтового удержания, проявляющееся в существенном снижении интегрального потока и уменьшении среднего радиуса вращающейся плазмы вдоль секции с винтовым полем [151]. Было показано повышение эффективности винтовой секции с ростом магнитного поля, средней глубины гофрировки и скорости вращения [14], что согласуется с теоретическими предположениями. Экспериментально показано подавление продольного потока плазмы в секции с винтовым магнитным полем, соответствующее эффективному пробочному отношению Reff > 10 [152]. Наблюдаемое распределение плотности плазмы хорошо соответствует теории.
5. ЗАКЛЮЧЕНИЕ
Описываемая в настоящей статье ловушка нового поколения ГДМЛ является естественным следующим шагом в программе линейных магнитных ловушек, развиваемых в ИЯФ СО РАН. В основу ГДМЛ положены принципы удержания термоядерной плазмы, успешно реализованные на установках ГДЛ и ГОЛ-3.
Будучи близкой к существующей установке ГДЛ по конструкции и ряду параметров (таких как линейные размеры и энергия быстрых ионов), стартовая конфигурация ГДМЛ радикально отличается по длительности разряда (1–2 секунды против 10 миллисекунд в ГДЛ), мощности атомарной инжекции (24 МВт против 5.4 МВт) и напряженности магнитного поля в центральной секции (до 1.5 Тл против 0.35 Тл в ГДЛ). Сравнительно большая длительность разряда позволит изучать стационарные режимы (в отличие от ГДЛ, где запасенная в плазме энергия монотонно растет в течение выстрела). Бóльшая напряженность поля и мощность атомарной инжекции позволяют даже в режимах с умеренными параметрами рассчитывать на удержание плазмы с запасенной энергией порядка 200 кДж, сотни раз превышающей запасенную энергию в плазме ГДЛ. Параметры плазмы в ГДМЛ в этих режимах приближаются к параметрам плазмы в источнике термоядерных нейтронов, пригодном для испытания конструкционных материалов.
На установке ГДМЛ планируется отработка ряда термоядерных технологий, таких как методы подпитки плазмы веществом, МГД-стабилизация плазмы с высоким относительным давлением, создание сильных постоянных магнитных полей с использованием катушек на основе современных ВТСП лент. Радикальное увеличение запасенной в плазме энергии и длительности разряда приведет к существенному потоку тепла на контактирующие с плазмой поверхности (так, согласно оценкам, сделанным на основе кода ДОЛ, в отдельных режимах на поверхности плазмоприемника ожидаются плотности мощности на уровне 10 МВт/м2), что позволит детально исследовать вопросы, связанные с взаимодействием плазма–поверхность.
В случае успешной отработки дополнительных методов подавления продольных потерь, таких как многопробочные концевые секции и диамагнитное удержание в центральной ячейке, ожидается увеличение времени удержания частиц и энергии в ловушке по меньшей мере на порядок. Это позволит моделировать источник нейтронов, пригодный для использования в качестве драйвера подкритического ядерного реактора и позволит рассмотреть перспективы создания термоядерного реактора на основе линейной магнитной ловушки.
Представленные в настоящей работе результаты получены в основном в рамках выполнения плана работ по мероприятию “Экспериментальная верификация эффективных методов удержания плазмы в существующих и перспективных линейных системах” федерального проекта “Разработка технологий управляемого термоядерного синтеза и инновационных плазменных технологий” комплексной программы “Развитие техники, технологий и научных исследований в области использования атомной энергии в Российской Федерации на период до 2024 года”. Ряд исследований на установках ГДЛ, ГОЛ-NB, КОТ и СМОЛА выполнен при частичной поддержке Министерства науки и высшего образования Российской Федерации в рамках государственного плана НИР. Изучение устойчивости плазмы в многопробочной ловушке (разд. 4.2.4) проведено при финансовой поддержке гранта РНФ № 21-12-00133; https://rscf.ru/en/project/21-12-00133/. Исследование улучшенного продольного удержания плазмы в линейных открытых ловушках с геликоидальным магнитным полем (разд. 4.2.C5) проводится при финансовой поддержке гранта РНФ № 22-12-00133; https://rscf.ru/en/project/22-12-00133/.
Список литературы
Будкер Г.И. Физика плазмы и проблема управляемых термоядерных реакций / Под ред. М.А. Леонтовича. М.: Изд-во АН СССР, 1958. Т. III. С. 1.
Post R.F. // Proc. 2nd United Nations Int. Conf. on the Peaceful Uses of Atomic Energy, Geneva, 1-13 September 1958 V. 32 (Geneva: United Nations, 1958), p. 245.
Рютов Д.Д. // УФН. 1988. Т. 154. С. 565. https://doi.org/10.1070/PU1988v031n04ABEH005747
Post R.F. // Nuclear. Fusion. 1987. V. 27. № 10. P. 1579, https://doi.org/10.1088/0029-5515/27/10/001
Головин И.Н., Кадомцев Б.Б. // Атомная энергия. 1996. Т. 81. № 5. С. 364.
Beklemishev A., Anikeev A., Astrelin V., Bagryansky P., Burdakov A., Davydenko V., Gavrilenko D., Ivanov A., Ivanov I., Ivantsivsky M., Kandaurov I., Polosatkin S., Postupaev V., Sinitsky S., Shoshin A., Timofeev I., Tsidulko Yu. // Fusion Science and Technologies. 2013. V. 63. № 1T. P. 46. https://doi.org/10.13182/FST13-A16872
Beklemishev A., Anikeev A., Burdakov A., Ivanov A., Ivanov I., Postupaev V., Sinitsky S. // AIP Conf. Proc. 2012. V. 1442. P. 147.https://doi.org/10.1063/1.4706862
Bagryansky P.A., Beklemishev A.D., Postupaev V.V. // Journal of Fusion Energy. 2019, V. 38. № 1. P. 162. https://doi.org/10.1007/s10894-018-0174-1
Beklemishev A.D. // Physics of Plasmas. 2016. V. 23. № 8. P. 082506, https://doi.org/10.1063/1.4960129
Beklemishev A.D. // AIP Conf. Proc. 2016. V. 1771, p. 030001.https://doi.org/10.1063/1.4964157
Будкер Г.И., Мирнов В.В., Рютов Д.Д. // Письма в ЖЭТФ. 1971. Т. 14. № 5. С. 320.
Logan B.G., Lichtenberg A.J., Lieberman M.A., and Makhijani A. // Phys. Rev. Lett. 1972. V. 28. № 144. https://doi.org/10.1103/PhysRevLett.28.144
Beklemishev A.D. // AIP Conf. Proc. 2016. V. 1771. P. 040006. https://doi.org/10.1063/1.4964191
Sudnikov A.V., Beklemishev A.D., Inzhevatkina A.A., Ivanov I.A., Postupaev V.V., Burdakov A.V., Glinskiy V.V., Kuklin K.N., Rovenskikh A.F., Ustyuzhanin V.O. // Journal of plasma physics. 2020. V. 86. N. 5. P. 905860515. https://doi.org/10.1017/S0022377820001245
Kotelnikov I.A., Mirnov V.V., Nagornyj V.P., Ryutov D.D. // Proc. X Int. Conf. Plasma Phys. and Controlled Nuclear Fusion Research, Vienna: IAEA. 1985. V. 2. P. 309.
Ivanov A.A., Kruglyakov E.P., Tsidulko Yu.A., Krasnoperov V.G., Korshakov V.V. // Proc. of 16th IEEE/NPSS Symposium Fusion Engineering, 30 Sept. 5 Oct., 1995: Proc.: in 2 pt. Danvers: Clearence center, 1995. Pt. 1. P. 66.
Bagryansky P.A., Ivanov A.A., Kruglyakov E.P., Kudryavtsev A.M., Tsidulko Yu.A., Andriyash A.V., Lu-kin A.L., Zouev Yu.N. // Fusion Engineering and Design. 2004. V. 70. № 1. P. 13. https://doi.org/10.1016/j.fusengdes.2003.08.002
Bagryansky P.A., Chen Z., Kotelnikov I.A., Yakovlev D.V., Prikhodko V.V., Zeng Q., Bai Y., Yu J., Ivanov A.A. and Wu Y. // Nucl. Fusion. 2020. V. 60. № 3. P. 036005. https://doi.org/10.1088/1741-4326/ab668d
Юров Д.В., Приходько В.В. // УФН. 2014. Т. 184. № 11. С. 1237. https://doi.org/10.3367/UFNr.0184.201411f.1237
Kuteev B.V., Goncharov P.R. // Fusion Science and Technology. 2020. V. 76. № 7. P. 836. https://doi.org/10.1080/15361055.2020.1817701
Bagryansky P.A., Gospodchikov E.D., Ivanov A.A., Lizunov A.A., Kolesnikov E.Yu., Konshin Z.E., Korobeynikova O.A., Kovalenko Y.V., Maximov V.V., Murakhtin S.V., Pinzhenin E.I., Prikhodko V.V., Savkin V.Ya., Shalashov A.G., Skovorodin D.I., Soldatkina E.I., Solomakhin A.L. and Yakovlev D.V. // Plasma and Fusion Research. 2019. V. 14. № 1. P. 2402030. https://doi.org/10.1585/pfr.14.2402030
Bagryansky P.A., Anikeev A.V., Beklemishev A.D., Do-nin A.S., Ivanov A.A., Korzhavina M.S., Kovalenko Yu.V., Kruglyakov E.P., Lizunov A.A., Maximov V.V., Murakhtin S.V., Prikhodko V.V., Pinzhenin E.I., Pushkareva A.N., Savkin V.Ya., Zaytsev K.V. // Transactions of Fusion Science and Technology. 2011. V. 59. № 1T. P. 31. https://doi.org/10.13182/FST11-A11568
Bagryansky P.A., Shalashov A.G., Gospodchikov E.D., Lizunov A.A., Maximov V.V., Prikhodko V.V., Soldatki-na E.I., Solomakhin A.L., Yakovlev D.V. // Phys. Rev. Lett. 2015. V. 114. P. 205001. https://doi.org/10.1103/PhysRevLett.114.205001
Bagryansky P.A., Anikeev A.V., Denisov G.G., Gospodchikov E.D., Ivanov A.A., Lizunov A.A., Kovalenko Yu.V., Malygin V.I., Maximov V.V., Korobeinikova O.A., Murakhtin S.V., Pinzhenin E.I., Prikhodko V.V., Savkin V.Ya., Shalashov A.G., Smolyakova O.B., Soldatkina E.I., Solomakhin A.L., Yakovlev D.V., Zaytsev K.V. // Nucl. Fusion. 2015. V. 55. P. 053009. https://doi.org/10.1088/0029-5515/55/5/053009
Bagryansky P.A., Gospodchikov E.D., Kovalenko Yu.V., Lizunov A.A., Maximov V.V., Murakhtin S.V., Pinzhe-nin E.I., Prikhodko V.V., Savkin V.Ya., Shalashov A.G., Soldatkina E.I., Solomakhin A.L. and Yakovlev D.V. // Fus. Sci. Technol. 2015. V. 68. № 1. P. 87. https://doi.org/10.13182/FST14-864
Arzhannikov A.V., Astrelin V.T., Burdakov A.V., Ivanen-ko V.G., Koidan V.S., Konyukhov V.V., Makarov A.G., Mekler K.I., Melnikov P.I., Nikolaev V.S., Perin S.S., Polosatkin S.V., Postupaev V.V., Rovenskikh A.F., Sinitsky S.L. // Fusion Technology. 1999. V. 35. № 1T. P. 112. https://doi.org/10.13182/FST99-A11963834
Kotelnikov I., Chen Z., Bagryansky P., Sudnikov A., Zeng Q., Yakovlev D., Wang F., Ivanov A., Wu Y. // Nucl. Fusion. 2020. V. 60. № 6. P. 067001. https://doi.org/10.1088/1741-4326/ab81ab
Yu M., Sanwalka K., Bohm T., Forest C., Anderson J., WHAM Collaboration Team // APS Division of Plasma Physics Meeting 2021, abstract id.TP11.073.
Gota H., Binderbauer M.W., Tajima T., Putvinski S., Tuszewski M., Dettrick S., Garate E., Korepanov S., Smirnov A., Thompson M.C., Trask E., Yang X., Schmitz L., Lin Z., Ivanov A.A., Asai T., Allfrey I., Andow R., Beall M., Bolte N., Bui D.Q., Cappello M., Ceccherini F., Clary R., Cheung A.H., Conroy K., Deng B.H., Dou-glass J., Dunaevsky A., Feng P., Fulton D., Galeotti L., Granstedt E., Griswold M., Gupta D., Gupta S., Hub-bard K., Isakov I., Kinley J.S., Knapp K., Magee R., Matvienko V., Mendoza R., Mok Y., Necas A., Primave-ra S., Onofri M., Osin D., Rath N., Roche T., Romero J., Schindler T., Schroeder J.H., Sevier L., Sheftman D., Sibley A., Song Y., Steinhauer L.C., Valentine T., Van Drie A.D., Walters J.K., Waggoner W., Yushmanov P., Zhai K. and The TAE Team // Nucl. Fusion. 2017. V. 57. № 11. P. 116021, https://doi.org/10.1088/1741-4326/aa7d7b
Черноштанов И.С. // Физика плазмы. 2022. № 2. С. 99. https://doi.org/10.31857/S0367292122020056
Burdakov A., Azhannikov A., Astrelin V., Beklemishev A., Burmasov V., Derevyankin G., Ivanenko V., Ivanov I., Ivantsivsky M., Kandaurov I., Konyukhov V., Kotelnikov I., Kovenya V., Kozlinskaya T., Kuklin K., Kuznetsov A., Kuznetsov S., Lotov K., Timofeev I., Makarov A., Mek-ler K., Nikolaev V., Popov S., Postupaev V., Polosatkin S., Rovenskikh A., Shoshin A., Shvab I., Sinitsky S., Sulya-ev Yu., Stepanov V., Trunyov Yu., Vyacheslavov L., Zhukov V., Zubairov Ed. // Fusion Science and Technology. 2007. V. 51. № 2T. P. 106. https://doi.org/10.13182/FST07-A1327
Burdakov A.V., Arzhannikov A.V., Astrelin V.T., Beklemishev A.D., Ivanov A.A., Kotelnikov I.A., Kruglyakov E.P., Polosatkin S.V., Postupaev V.V., Sinitsky S.L., Timofe-ev I.V., Zhukov V.P. // Fusion Science and Technology. 2011. V. 59. № 1T. P. 9. https://doi.org/10.13182/FST11-A11564
Иванов А.А., Приходько В.В. // УФН. 2017. Т. 187. № 5. С. 547. https://doi.org/10.3367/UFNr.2016.09.037967
Бурдаков А.В., Поступаев В.В. // УФН. 2018. Т. 188. № 6. С. 651. https://doi.org/10.3367/UFNr.2018.03.038342
Beklemishev A.D. // Fusion Science and Technology. 2013. V. 63. № 1T. P. 355. https://doi.org/10.13182/FST13-A16953
Beklemishev A.D., Bagryansky P.A., Chaschin M.S., Soldatkina E.I. // Fusion Science and Technology. 2010. V. 57. № 4. P. 351. https://doi.org/10.13182/FST10-A9497
Yakovlev D.V., Shalashov A.G., Gospodchikov E.D., Maximov V.V., Prikhodko V.V., Savkin V.Ya., Soldatki-na E.I., Solomakhin A.L., Bagryansky P.A. // Nucl. Fusion. 2018. V. 58. № 9. P. 094001. https://doi.org/10.1088/1741-4326/aacb88
Хвостенко П.П., Анашкин И.О., Бондарчук Э.Н., Инютин Н.В., Крылов В.А., Левин И.В., Минеев А.Б., Соколов М.М. // ВАНТ. Сер. Термоядерный синтез. 2019. Т. 42. Вып. 1. С. 15. https://doi.org/10.21517/0202-3822-2019-42-1-15-38
Anderson J., Clark M., Forest C., Geiger B., Mirnov V., Oliva S., Pizzo J., Schmitz O., Wallace J., Kristofek G., Mumgaard R., Peterson E., Ram A., Whyte D., Wright J., Wukitch S., Green D., Harvey R., Petrov Yu.V., Srinivisan B. // Proc. 62nd Annual Meeting of the APS Division of Plasma Physics. 2020. V. 65. № 11. abstract id. CP20.00003
Gryaznevich M., TE. Ltd Physics Team and TE. Ltd HTS Team for Tokamak Energy Ltd. // Nucl. Fusion. 2022. V. 62. № 4. P. 042008. https://doi.org/10.1088/1741-4326/ac26ee
Molodyk A., Samoilenkov S., Markelov A., Degtyarenko P., Lee S., Petrykin V., Gaifullin M., Mankevich A., Vavilov A., Sorbom B., Cheng J., Garberg S., Kesler L., Hartwig Z., Gavrilkin S., Tsvetkov A., Okada T., Awaji S., Abrai-mov D., Francis A., Bradford G., Larbalestier D., Senatore C., Bonura M., Pantoja A.E., Wimbush S.C., Strickland N.M., Vasiliev A. // Sci. Rep. 2021. V. 11. N. 2084. https://doi.org/10.1038/s41598-021-81559-z
Gupta R., Anerella M., Joshi P., Higgins J., Lalitha S., Sampson W., Schmalzle J., Wanderer P. // IEEE Transactions on Applied Superconductivity. 2016. V. 26. № 4. https://doi.org/10.1109/TASC.2016.2517404
Vorobieva A., Shikov A., Silaev A., Dergunova E., Lomaev V., Nasibulin M., Mareev K., Kuznetsov S. // IEEE Transactions on Applied Superconductivity. 2001. V. 11. № 1. https://doi.org/10.1109/77.919840
Feist J.-H., Stäbler A., Ert W., Heinemann B., Speth E. // Proc. 17th Symposium On Fusion Technology, Rome, Italy. 1992. P. 262. https://doi.org/10.1016/B978-0-444-89995-8.50044-8
Бендер Е.Д. // ВАНТ: Сер. Термоядерный синтез. 1987. Вып. 4. С. 41.
Bagryansky P.A., Bender E.D., Ivanov A.A., Karpu-shov A.N., Murachtin S.V., Noack K., Krahl St., Col-latz S. // Journal of Nuclear Materials. 1999. V. 265. Iss. 1–2. P. 124. https://doi.org/10.1016/S0022-3115(98)00510-8
Gota H., Binderbauer M.W., Tajima T., Smirnov A., Putvinski S., Tuszewski M., Dettrick S.A., Gupta D.K., Korepanov S., Magee R.M., Park J., Roche T., Romero J.A., Trask E., Yang X., Yushmanov P., Zhai K., DeHaas T., Griswold M.E., Gupta S., Abramov S., Alexander A., Allfrey I., Andow R., Barnett B., Beall M., Bolte N.G., Bomgardner E., Bondarenko A., Ceccherini F., Chao L., Clary R., Cooper A., Deng C., Dunaevsky A., Feng P., Finucane C., Fluegge D., Galeotti L., Galkin S., Galvin K., Granstedt E.M., Hubbard K., Isakov I., Kaur M., Kin-ley J.S., Korepanov A., Krause S., Lau C.K., Lednev A., Leinweber H., Leuenberger J., Lieurance D., Madura D., Margo J., Marshall D., Marshall R., Matsumoto T., Matvienko V., Meekins M., Melian W., Mendoza R., Mi-chel R., Mok Y., Morehouse M., Morris R., Morton L., Nations M., Necas A., Nicks S., Nwoke G., Onofri M., Ottaviano A., Page R., Parke E., Phung K., Player G., Sato I., Schindler T.M., Schroeder J.H., Sheftman D., Sibley A., Siddiq A., Signorelli M., Slepchenkov M., Smith R.J., Snitchler G., Sokolov V., Song Y., Stein-hauer L.C., Stylianou V., Sweeney J., Titus J.B., Tka-chev A., Tobin M., Ufnal J., Valentine T., Van Drie A.D., Ward J., Weixel C., White C., Wollenberg M., Ziaei S., the TAE Team, Schmitz L., Lin Z., Ivanov A.A., Asai T., Baltz E.A., Dikovsky M., Heavlin W.D., Geraedts S., Langmore I., Norgaard P.C., Von Behren R., Madams T., Kast A., Platt J.C. // Nucl. Fusion. 2021. V. 61. P. 106039. https://doi.org/10.1088/1741-4326/ac2521
Deichuli P., Davydenko V., Ivanov A., Korepanov S., Mishagin V., Smirnov A., Sorokin A., Stupishin N. // Review of Scientific Instruments. 2015. V. 86. P. 113509. https://doi.org/10.1063/1.4936292
Ryutov D.D. // Fusion Science and Technology. 2005. V. 47. № 1T. P. 148. https://doi.org/10.13182/FST05-A627
Soldatkina E.I., Pinzhenin E.I., Korobeynikova O.A., Maximov V.V., Yakovlev D.V., Solomakhin A.L., Sav-kin V.Ya., Kolesnichenko K.S., Ivanov A.A., Trunev Yu.A., Voskoboynikov R.V., Shulzhenko G.I., Annenkov V.V., Volchok E.P., Timofeev I.V., Bagryansky P.A. // Nucl. Fusion. 2022. V. 62. № 6. P. 066033. https://doi.org/10.1088/1741-4326/ac3be3
Timofeev I.V., Annenkov V.V., Volchok E.P., Glinskiy V.V. // Nucl. Fusion. 2022. V. 62. № 6. P. 066034. https://doi.org/10.1088/1741-4326/ac3cdc
Жильцов В.А., Куянов А.Ю., Сковорода А.А., Тимофеев А.В. // Физика плазмы. 1994. Т. 20. № 3. С. 267.
Ichimura K., Ichimura K., Nakashima Y., Takeda H., Hosoi K., Kigure S., Takahashi S., Iwamoto M., Hosoda Y., Hirata M., Ikezoe R., Oki K., Yoshikawa M., Saka-moto M., Imai T., Ichimura M. // Plasma and Fusion Research. 2014. V. 9. P. 3406098. https://doi.org/10.1585/pfr.9.3406098
Yakovlev D.V., Shalashov A.G., Gospodchikov E.D., So-lomakhin A.L., Savkin V.Ya., Bagryansky P.A. // Nucl. Fusion. 2017. V. 57. № 1. P. 016033. https://doi.org/10.1088/0029-5515/57/1/016033
Kojima S., Hanada K., Idei H., Onchi T., Ikezoe R., Nagashima Y., Hasegawa M., Kuroda K., Nakamura K., Higashijima A., Nagata T., Kawasaki S., Shimabukuro S., Elserafy H., Fukuyama M., Ejiri A., Shikama T., Yone-da N., Yoneda R., Kariya T., Takase Y., Murakami S., Bertelli N. and Ono M. // Plasma Phys. Control. Fusion. 2021. V. 63 P. 105002. https://doi.org/10.1088/1361-6587/ac1838
Родионов С.Н. // Атомная энергия. 1959. Т. 6. Вып. 6. С. 623
Сивухин Д.В. Вопросы теории плазмы / Под. ред. М.А. Леонтовича. М.: Атомиздат, 1964. Вып. 4. С. 81.
Мирнов В.В., Рютов Д.Д. // Письма в ЖТФ. 1979. Т. 5. С. 678.
Edited by Kikuchi M., Lackner K., Tran M.H. Fusion Physics. Vienna: International Atomic Energy Agency, 2012.
Конкашбаев И.К., Ландман И.С., Улинич Ф.Р. // ЖЭТФ. 1978. Т. 74. Вып. 3. С. 956.
Юшманов Е.Е. // ЖЭТФ. 1965. Т. 49. Вып. 2(8). С. 588.
Skovorodin D.I. // Phys. Plasmas. 2019. V. 26. № 1. P. 012503. https://doi.org/10.1063/1.5043072
Abramov I.S., Gospodchikov E.D., Shaposhnikov R.A., Shalashov A.G. // Nucl. Fusion. 2019. V. 59. № 10. P. 106004. https://doi.org/10.1088/1741-4326/ab2ef8
Dettrick S.A., Barnes D.C., Ceccherini F., Galeotti L., Galkin S.A., Gupta S., Hubbard K., Koshkarov O., Lau C.K., Mok Y., Necas A., Nicks B.S., Onofri M., Park J., Putvinski S.V., Steinhauer L.C., Yakymenko K., Yushmanov P.N., Tajima T., Belova E.V., Lin Z., Wang W. and Wei X. // Nucl. Fusion. 2021. V. 61. № 10. P. 106038. https://doi.org/10.1088/1741-4326/ac1e5f
Abramov I.S., Gospodchikov E.D., Shaposhnikov R.A., Shalashov A.G. // Rev. Sci. Instrum. 2020. V. 91. № 1. P. 013514. https://doi.org/10.1063/1.5127574
Котельников И.А., Рютов Д.Д., Цидулко Ю.А., Катышев В.В., Комин А.В., Кривошеев В.М. Препринт ИЯФ СОАН СССР, № 90-105. Новосибирск, 1990.
Yang W., Zeng Q., Chen C., Chen Z., Song J., Wang Z., Yu J., Yakovlev D., Prikhodko V. // Fusion Engineering and Design. 2021. V. 164. P. 112221. https://doi.org/10.1016/j.fusengdes.2020.112221
Юров Д.В., Приходько В.В., Цидулко Ю.А. // Физика плазмы. 2016. Т. 42. № 3.
Пастухов В.П. Вопросы теории плазмы / Под. ред. М.А. Леонтовича. М.: Атомиздат, 1964. Вып. 13. С. 160.
LoarteA., Lipschultz B., Kukushkin A.S., Matthews G.F., Stangeby P.C., Asakura N., Counsell G.F., Federici G., Kallenbach A., Krieger K., Mahdavi A., Philipps V., Reiter D., Roth J., Strachan J., Whyte D., Doerner R., Eich T., Fundamenski W., Herrmann A., Fensterma-cher M., Ghendrih P., Groth M., Kirschner A., Konoshima S., LaBombard B., Lang P., Leonard A.W., Monier-Garbet P., Neu R., Pacher H., Pegourie B., Pitts R.A., Takamura S., Terry J., Tsitrone E. and the ITPA Scrape-off Layer and Divertor Physics Topical Group. // Nucl. Fusion. 2007. V. 347. № 6. P. 2391. https://doi.org/10.1088/0029-5515/47/6/S04
Berman A. // Vacuum. 1996. V. 47. № 4. P. 327. https://doi.org/10.1016/0042-207X(95)00246-4
Yamanaka S., Miyake M. // SSP 2000; 73–75: 1–40. https://doi.org/10.4028/www.scientific.net/ssp.73-75.1
Chandler W.T., Walter R.J. (1968). In: Machlin I., Begley R.T., Weisert E.D. (eds) Refractory Metal Alloys Metallurgy and Technology. Springer, Boston, MA. https://doi.org/10.1007/978-1-4684-9120-3_6
Wu C.H. Hydrogen Recycling at Plasma Facing Materials. Springer Dordrecht, 2000. https://doi.org/10.1007/978-94-011-4331-8
Ryutov D.D., Yushmanov P.N., Barnes D.C., Putvin-ski S.V. // AIP Conf. Proc. 2016. V. 1721. P. 060003. https://doi.org/10.1063/1.4944029
Janev R.K., Langer W.D., Post D.E., Evans K. Elementary Processes in Hydrogen-Helium Plasmas Cross Sections and Reaction Rate Coefficient. Springer-Verlag, Berlin Heidelberg 1987.https://doi.org/10.1007/978-3-642-71935-6
Combs S.K., Baylor L.R. // Fusion Science and Technology. 2018. V. 73. № 4. P. 493. https://doi.org/10.1080/15361055.2017.1421367
Sladkomedova A.D., Voronin A.N., Alekseev A.G., Gu-sev V.K., Kurskiev G.S., Petrov Yu.V., Sakharov N.V., Tolstyakov S.Yu., Zabrodsky V.V. // Physica Scripta. 2018. V. 93. № 3. P. 105601. https://doi.org/10.1088/1402-4896/aadb85
Ryutov D.D., Berk H.L., Cohen B.I., Molvik A.W., Simonen T.C. // Phys. Plasmas. 2011. V. 18. P. 092301. https://doi.org/10.1063/1.3624763
Beklemishev A.D. // AIP Conf. Proc. 2008. V. 1069. № 1. P. 3–14. https://doi.org/10.1063/1.3033729
Prikhodko V.V., Bagryansky P.A., Beklemishev A.D., Kolesnikov E.Yu., Kotelnikov I.A., Maximov V.V., Pushkareva A.N., Soldatkina E.I., Tsidulko Yu.A., Zay-tsev K.V. // Fusion Science and Technology. 2011. V. 59. № 1T. P. 94. https://doi.org/10.13182/FST11-A11582
Kotelnikov I., Zeng Q., Prikhodko V., Yakovlev D., Zhang K., Chen Z., Yu J. // Nucl. Fusion. 2022. V. 62. P. 096025. https://doi.org/10.1088/1741-4326/ac81da
Waelbroeck F., Chen L. // Physics of Fluids B: Plasma Physics. 1991. V. 3. № 3. P. 601. https://doi.org/10.1063/1.859858
Cho T., Kohagura J., Numakura T., Hirata M., Higaki H., Hojo H., Ichimura M., Ishii K., Islam K. Md., Itakura A., Katanuma I., Minami R., Nakashima Y., Saito T., Tatematsu Y., Watanabe O., Yoshikawa M., Kojima A., Miya-ke Y., Miyata Y., Shimizu K., Tomii Y., Yoshida M., Sa-kamoto K., Imai T., Pastukhov V. P., Miyoshi S. and GAMMA 10 Group // Phys. Rev. Lett. 2006. V. 97. P.055001. https://doi.org/10.1103/PhysRevLett.97.055001
Cho T., Pastukhov V.P., Horton W., Numakura T., Hirata M., Kohagura J., Chudin N.V., Pratt J. // Phys. Plasmas. 2008. V. 15. P. 056120. https://doi.org/10.1063/1.2906262
Pastukhov V.P., Chudin V.N. // Fus. Sci. Technol. 2011. V. 59. № 1T. P. 84. https://doi.org/10.13182/FST11-A11580
Сагдеев Р.З., Шафранов В.Д. // ЖЭТФ. 1960. Т. 39. С. 181.
Watson D.C. // Phys. Fluids. 1980. V. 23. P. 2485.https://doi.org/10.1063/1.862949
Smith G.R. // Phys. Fluids. 1984. V. 27. № 6.https://doi.org/10.1063/1.864773
Smith G.R., Nevins W.M., Sharp W.M. // Phys. Fluids. 1984. V. 27. № 8. https://doi.org/10.1063/1.864837
Цидулко Ю.А., Черноштанов И.С. // Физика плазмы. 2014. Т. 40. № 12. https://doi.org/10.7868/S0367292114120075
Casper T.A., Smith G.R. // Phys. Rev. Lett. 1982. V. 48. № 1015. https://doi.org/. 48.1015https://doi.org/10.1103/PhysRevLett
Simonen T.C. // Nucl. Fusion. 1985. V. 25. № 1205. https://doi.org/10.1088/0029-5515/25/9/036
Katsumata R., Ichimura M., Inutake M., Hojo H., Mase A., Tamano T. // Phys. Plasmas. 1996. V. 3. № 12. https://doi.org/10.1063/1.872067
Zaytsev K.V., Anikeev A.V., Bagryansky P.A., Donin A.S., Korobeinikova O.A., Korzhavina M.S., Kovalenko Yu.V., Lizunov A.A., Maximov V.V., Pinzhenin E.I., Prikhod-ko V.V., Soldatkina E.I., Solomakhin A.L., Savkin V.Ya., Yakovlev D.V. // Physica Scripta. 2014. N. 161T. https://doi.org/10.1088/0031-8949/2014/T161/014004
Аникеев А.В., Багрянский П.А., Зайцев К.В., Коробейникова О.А., Мурахтин С.В., Сковородин Д.И., Юров Д.В. // Физика плазмы. 2015. Т. 4. № 10. С. 839. https://doi.org/10.1134/S1063780X15100025
Anikeev A.V., Bagryansky P.A., Chernoshtanov I.S., Korzhavina M.S., Prikhodko V.V., Tsidulko Yu.A. // Fusion Science and Technology. V. 2011. V. 59. № 1T. https://doi.org/dx.doi.org/10.13182/FST11-A11584
Berzins L.V., Casper T.A. // Phys. Rew. Lett. 1987. V. 59. P. 1428. https://doi.org/10.1103/Phys-RevLett.59.1428
Chernoshtanov I.S. // IOP Conf. Series: Journal of Physics: Conf. Series. 2018. V. 1125. P. 012007. https://doi.org/10.1088/1742-6596/1125/1/012007
Turner W.C., Clauser J.F., Coensgen F.H., Correll D.L., Cummins W.F., Freis R.P., Goodman R.K., Hunt A.L., Kaiser T.B., Melin G.M., Nexsen W.E., Simonen T.C., Stallard B.W. // Nucl. Fusion. 1979. V. 19. P. 1011. https://doi.org/10.1088/0029-5515/19/8/002
Михайловский А.Б. Ядерный синтез. 1965. Т. 5. С. 125.
Post R.F., Rosenbluth M.N. // Phys. Fluids. 1966. V. 9. № 4. P. 730. https://doi.org/10.1063/1.1761740
Gerver M.J. // Phys. Fluids. 1996. V. 19. P. 1581. https://doi.org/10.1063/1.861363
Kotelnikov I.A., Chernoshtanov I.S., Prikhodko V.V. // Phys. Plasmas. 2017. V. 24. № 12. https://doi.org./10.1063/1.5013059
Tang W.M., Pearlstein L.D., Berk H.L. // Phys. Fluids. 1996. V. 15. P. 1153. https://doi.org/10.1063/1.1694044
Chulkov G.N., Timofeev A.V. // Nucl. Fusion. 1980. V. 20. № 9. P. 165. https://doi.org/10.1088/0029-5515/20/1/002
Канаев Б.И., Юшманов Е.Е. // ЖЭТФ. 1974. Т. 67. Вып. 2. С. 586.
Канаев Б.И., Пастухов В.П., Юшманов Е.Е. // Письма в ЖЭТФ. 1973. Т. 18. Вып. 6. С. 347.
Baldwin D.E., Berk H.L., Pearlstein L.D. // Phys. Rew. Lett. 1976. V. 36. P. 1051. https://doi.org/10.1103/PhysRevLett.36.1051
Kotelnikov I.A., Chernoshtanov I.S., Prikhodko V.V. // Plasma and Fusion Research. 2019. V. 14. P. 2403001. https://doi.org/10.1585/pfr.14.2403001
Haines M.G. // Nucl. Fusion. 1977. V. 17. № 4. P. 811. https://doi.org/10.1088/0029-5515/17/4/015
Ланский И.М. Препринт ИЯФ СО РАН, № 93–96. Новосибирск, 1993
Grad H. // Proc. Symposia in Applied Mathematics / Ed. by Harold Grad. Providence, Rhode Island, 1967. V. 18. P. 162. https://doi.org/10.1090/psapm/018/0215567
Newcomb Wi.A. // Journal of Plasma Physics. 1981. V. 26. № 3. P. 529. https://doi.org/10.1017/S0022377800010904
Kotelnikov I.A., Bagryansky P.A. and Prikhodko V.V. // Physical Review E. 2010. V. 81. № 6. P. 067402. https://doi.org/10.1103/PhysRevE.81.067402
Kotelnikov I.A. // Fusion Science and Technology. 2011. V. 59. № 1T. P. 47. https://doi.org/10.13182/FST11-A11572
Lotov K.V. // Phys. Plasmas. 1996. V. 3. P. 1472. https://doi.org/10.1063/1.871739
Житлухин А.М., Сафронов В.М., Сиднее В.В., Скворцов Ю.В. // Письма в ЖЭТФ. 1984. Т. 39. С. 247.
Turner J.M., Burlaga L.F., Ness N.F., Lemaire J.F. // Journal of Geophysical Research. 1977. V. 82. № 13. P. 1921. https://doi.org/10.1029/JA082i013p01921
Kaufmann R.L., Jiann-Tsorng H. and Wolfe A. // Journal of Geophysical Research. 1970. V. 75. № 25. P. 4666. https://doi.org/10.1029/JA075i025p04666
Tsurutani, Bruce T., Gurbax. S., Lakhina, Verkhoglyadova O.P., Echer E., Guarnieri F.L., Narita Y., Constantinescu D.O. // Journal of Geophysical Research: Space Physics. 2011. V. 116. № A2. P. A02103. https://doi.org/10.1029/2010JA015913
Kuznetsov E.A., Passot T., Ruban V.P., Sulem P.L. // Phys. Plasmas. 2015. V. 22. № 4. P. 042114. https://doi.org/10.1063/1.4919027
Иоффе М.С., Канаев Б.И., Пастухов В.П., Питерский В.В., Юшманов Е.Е. // Итоги науки и техники. Физика плазмы. Т. 9 / Под ред. Шафранова. М.: ВИНИТИ. 1989.
Морозов А.И., Савельев В.В. // УФН. 1998. Т. 168. Вып. 11. С. 1153. https://doi.org/10.3367/UFNr.0168.199811a.1153
Khristo M.S., Beklemishev A.D. // Plasma and Fusion Research. 2019. V. 14. P. 2403007. https://doi.org/10.1585/pfr.14.2403007
Khristo M.S., Beklemishev A.D. // Plasma Physics and Controlled Fusion. 2022. V. 64. № 9. P. 095019. https://doi.org/10.1088/1361-6587/ac8616
Багрянский П.А., Солдаткина Е.И., Соломахин А.Л. // Физика плазмы. 2008. Т. 34. Вып. 4. С. 259.
Kaiser T.B., Pearlstein L.D. // Physics of Fluids. 1985. V. 28. № 3. P.1003. https://doi.org/10.1063/1.865092
Berk H.L., Wong H.V., Tsang K.T. // Physics of Fluids. 1987. V. 30. № 9. P. 2681. https://doi.org/10.1063/1.866033
Kotelnikov I. // Plasma Physics and Controlled Fusion. 2020. V. 62. № 7. P. 75002. https://doi.org/10.1088/1361-6587/ab8a63
Chernoshtanov I.S. // 2020. arXiv:2002.03535v1. http://arxiv.org/abs/2002.03535
Morse L.R. // Phys. Fluids. 1967. V. 10. № 7. https://doi.org/10.1063/1.1762322
Котельников И.А., Щетников А.И. Препринт ИЯФ СОАН СССР. № 87-10. Новосибирск, 1987.
Kotelnikov I.A. // Proc. Int. Conf. Open Plasma Confinement Systems for Fusion / Ed by A.A. Kabantse, Novosibirsk, 1993 P. 545, Singapore, 1993. IAEA, World Scientific.
Пастухов В.П. // Физика плазмы. 1980. Т. 6. № 5. С. 1003.
Пастухов В.П. // Физика плазмы. 2021. Т. 47. № 9. С. 808.
Magee R.M., Roche T., Thompson M.C., Tobin M., Beall M., Deng B.H., Korepanov S. // Nucl. Fusion. 2018. V. 58. № 8. P. 082011. https://doi.org/10.1088/1741-4326/aab6c6
Magee R.M., Necas A., Clary R., Korepanov S., Nicks S., Roche T., Thompson M.C., Binderbauer M.W. and Tajima T. // Nature Physics. 2019. V. 15. № 3. P. 281. https://doi.org/10.1038/s41567-018-0389-0
Mirnov V.V., Lichtenberg A.J. “Multiple-mirror plasma confinement / Reviews of Plasma Physics. V. 19 / Ed by B.B. Kadomtsev. New York, 1996. P. 53.
Huba J.D. “NRL plasma formulary”, Naval Research Laboratory, Washington, DC, 2013.
Князев Б.А., Мирнов В.В., Чеботаев П.З. // Вопросы атомной науки и техники. Сер. Термоядерный синтез. 1983. № 3 (13). С. 12.
Астрелин В.Т., Бурдаков А.В., Поступаев В.В. // Физика плазмы, 24, 450–462 (1998).
Аржанников А.В., Астрелин В.Т., Бурдаков А.В., Иванов И.А., Койдан В.С., Меклер К.И., Поступа-ев В.В., Ровенских А.Ф., Полосаткин С.В., Синицкий С.Л. // Письма в ЖЭТФ. 2003. Т. 77. С. 426.
Beklemishev A.D. // Fusion Sci. Technol. 2007. V. 51. № 2T. P. 180. https://doi.org/10.13182/FST07-A1344
Rosenbluth M.N., Longmire C.L. // Ann. Phys. 1957. V. 1. P. 120. https://doi.org/10.1016/0003-4916(57)90055-6
Васильев Ю.В., Мирнов В.В. // Прикладная механика и техническая физика. 1974. № 6. С. 14.
Najmabadi F., Lichtenberg A.J., Lieberman M.A. // Phys. Fluids. 1983. V. 26. № 4. P. 1018. https://doi.org/10.1063/1.864233
Beklemishev A.D. // Phys. Plasmas. 2015. V. 22. P. 103506. https://doi.org/10.1063/1.4932075
Postupaev V.V., Sudnikov A.V., Beklemishev A.D., Ivanov I.A. // Fusion Eng. Des. 2016. V. 106. P. 29–33. https://doi.org/10.1016/j.fusengdes.2016.03.029
Sudnikov A.V., Beklemishev A.D., Postupaev V.V., Burdakov A.V., Ivanov I.A., Vasilyeva N.G., Kuklin K.N., Sidorov E.N. // Fusion Eng. Design. 2017. V. 122. P. 86. https://doi.org/10.1016/j.fusengdes.2017.09.005
Sudnikov A.V., Beklemishev A.D., Postupaev V.V., Iva-nov I.A., Inzhevatkina A.A., Sklyarov V.F., Burdakov A.V., Kuklin K.N., Rovenskikh A.F., Melnikov N.A. // Plasma Fusion Res. 2019. V. 14. P. 2402023. https://doi.org/10.1585/pfr.14.2402023
Sudnikov A.V., Ivanov I.A., Inzhevatkina A.A., Larichkin M.V., Lomov K.A., Postupaev V.V., Tolkachev M.S., Ustyuzhanin V.O. // Journal of Plasma Physics. 2022. V. 88. № 1. P. 905880102. https://doi.org/10.1017/S0022377821001276
Chernoshtanov I.S., Ayupov D.A. // Phys. Plasmas. 2021. V. 28. № 3. P. 032502. https://doi.org/10.1063/5.0040715
Postupaev V.V., Burdakov A.V., Ivanov A.A. // Fusion Sci. Technol. 2015. V. 68. P. 92. https://doi.org/10.13182/FST14-846
Поступаев В.В., Юров Д.В. // Физика плазмы. 2016. Т. 42. С. 966. https://doi.org/10.7868/S036729211611007X
Postupaev V.V., Batkin V.I., Beklemishev A.D., Burda-kov A.V., Burmasov V.S., Chernoshtanov I.S., Gorbov-sky A.I., Ivanov I.A., Kuklin K.N., Mekler K.I., Rovenskikh A.F., Sidorov E.N., Yurov D.V. // Nucl. Fusion. 2017. V. 57. P. 036012. https://doi.org/10.1088/1741-4326/57/3/036012
Ivanov I.A., Batkin V.I., Burdakov A.V., Burmasov V.S., Kuklin K.N., Mekler K.I., Polosatkin S.V., Postupa-ev V.V., Sidorov E.N., Rovenskikh A.F. // AIP Advances. 2017. V. 7. P. 125121. https://doi.org/10.1063/1.5009528
Postupaev V.V., Batkin V.I., Burdakov A.V., Burma-sov V.S., Ivanov I.A., Kuklin K.N., Mekler K.I., Rovenskikh A.F., Sidorov E.N. // Plasma Phys. Contr. Fusion. 2020. V. 62. P. 025008. https://doi.org/10.1088/1361-6587/ab53c2
Mirnov V.V., Ryutov D.D. // Nucl. Fusion. 1972. V. 12. P. 627. [with corrigenda Mirnov V.V., Ryutov D.D. // Nucl. Fusion. 1973. V. 13. P. 314. https://doi.org/10.1088/0029-5515/13/2/029]https://doi.org/10.1088/0029-5515/12/6/001
Postupaev V.V., Batkin V.I., Burdakov A.V., Burma-sov V.S., Ivanov I.A., Kuklin K.N., Lykova Yu.A., Melnikov N.A., Mekler K.I., Nikishin A.V., Polosatkin S.V., Rovenskikh A.F., Sidorov E.N., Skovorodin D.I. // N-ucl. Fusion. 2022, V. 62. № 8. P. 086003. https://doi.org/10.1088/1741-4326/ac69fa
Поступаев В.В., Баткин В.И., Бурдаков А.В., Бурмасов В.С., Иванов И.А., Куклин К.Н., Лыкова Ю.А., Меклер К.И., Мельников Н.А., Никишин А.В., Полосаткин С.В., Ровенских А.Ф., Сидоров Е.Н., Скля-ров В.Ф., Сковородин Д.И. // Физика плазмы. 2022. Т. 48. № 11. С. 1005. https://doi.org/10.31857/S0367292122600340
Дополнительные материалы отсутствуют.
Инструменты
Физика плазмы







