Известия РАН. Серия биологическая, 2022, № 3, стр. 272-278
Качество и аномалии пыльцы сосны обыкновенной на Центральном Кавказе
М. З. Моллаева 1, *, Ф. А. Темботова 1
1 Институт экологии горных территорий им. А.К. Темботова РАН
360051 Нальчик, Россия
* E-mail: monika.011@yandex.ru
Поступила в редакцию 07.10.2020
После доработки 28.02.2021
Принята к публикации 28.02.2021
- EDN: LSUOVD
- DOI: 10.31857/S102634702203012X
Аннотация
В настоящей работе впервые для Центрального Кавказа описаны такие качественные показатели как жизнеспособность и аномалии пыльцевых зерен сосны обыкновенной (Pinus sylvestris L.). В результате гистологического анализа морфологических нарушений структуры пыльцы на исследуемой территории выделены шесть морфотипов. Частота встречаемости аномальных пыльцевых зерен на изученных площадках варьировала незначительно и составила менее 10%, за исключением выборки Эльбрус (17%). Выявлена корреляция аномальных изменений пыльцы сосны с высотой ее мест произрастания. В исследованных естественных насаждениях сосны обыкновенной отмечено потенциально высокое качество пыльцы, связь качественных показателей пыльцы сосны обыкновенной с высотным градиентом практически не выявлено (r = 0.11 при р = 0.005).
Одной из основных лесообразующих пород Центрального Кавказа (ЦК) является Pinus sylvestris var. hamata Steven. (Петрова и др., 2017). Массивы сосновых лесов Кабардино-Балкарии расположены в ущельях рек Баксан, Чегем, Черек, фрагментарно представлены в ущелье реки Малка, произрастают в пределах высот от 1100–2800 м над ур. м. (Нечаев, 1960; Темботова и др., 2012), отдельные деревья встречаются на высоте 3000 м над ур. м. (Саблирова и др., 2015).
Генеративные органы сосны обыкновенной (Pinus sylvestris L.) очень чувствительны к любым изменениям окружающей среды. Морфологические нарушения структуры и жизнеспособность пыльцы сосны обыкновенной согласно данным литературы обусловлены климатическими условиями мест произрастания (Тихонова, 2005; Носкова и др., 2009; Черепанова, Мищихина, 2012), и загрязнением атмосферы (Калашник, 2012; Василевская, Петрова, 2014; Махнева, 2017; Benca et al. 2018).
В норме пыльца Pinus sylvestris имеет эллипсовидную форму с двумя симметрично расположенными воздушными мешками (Моносзон-Смолина, 1949). Изучению и описанию морфологических изменений пыльцы сосны обыкновенной посвящен ряд исследований, в результате которых авторы выделили различные морфологические типы пыльцевых зерен. Естественный полиморфизм пыльцевых зерен вида представлен большим количеством морфотипов (Василевская, Петрова, 2014). На основе анализа формы клеток, способов прикрепления, размерам воздушных мешков тератоморфной пыльцы предложено 8 морфотипов (Мельникова, 2004), Дзюба (2007) объединила их в cемь. С учетом отклонений в развитии экзины и наличию опухолевых новообразований выделено четыре типа (Тупицын и др., 2012).
Формирование качественной пыльцы является главным фактором, обеспечивающим нормальное оплодотворение и дальнейшее развитие семян растений, что особенно важно для голосеменных, характеризующихся длительностью фенологических репродуктивных циклов. Известно, что содержание питательных веществ (крахмала и жиров) в пыльце тесно коррелирует с ее жизнеспособностью (Третьякова, 1990, Зуева, Махнева, 1993). У голосеменных растений хорошо выражен крахмальный тип пыльцы, в связи с чем фертильность пыльцевых зерен возможно определить при помощи йодной реакции: фертильные окрашиваются полностью или частично, стерильные – не окрашиваются. (Поддубная–Арнольди, 1976; Pollen management…, 1981). Палинологический метод, учитывающий соотношение нормальных и аномальных, фертильных и стерильных пыльцевых зерен, является одним из основных инструментов биомониторинга окружающей среды.
Несмотря, на большое количество работ по изучению морфологических изменений пыльцевых зерен сосны обыкновенной, связь высоты мест произрастания с морфологическими аномальными изменениями ее пыльцы в горных условиях Кавказа ранее не рассматривалась. Однако имеются фрагментарные сведения о наличии аномалий и снижения фертильности пыльцы других хвойных видов в высокогорных условиях Южного Урала (Калашник, 2009), и Алтая (Земляной, 1971; Велисевич, 2017). В связи с выше изложенным, целью работы является сравнительный анализ фертильности и аномальных изменений пыльцевых зерен в природных горных популяциях Pinus sylvestris L., произрастающих на Центральном Кавказе.
МАТЕРИАЛЫ И МЕТОДЫ
Исследования проводили на Центральном Кавказе в пределах Кабардино-Балкарской республики. Объектами исследований послужили природные популяции сосны обыкновенной, произрастающих в бассейне р. Баксан, где расположен основной массив естественных сосновых насаждений. Разновысотные выборки (8) заложены как вдоль ущелья, так и по боковым его отрогам в пределах высот 1500–2500 м над ур. моря – Верхний Баксан (1500 м), Эльбрус (1800 м), Юсеньги (1800 м), Сылтран (1900 м), Адыр-Су (2350 м), Джантуган (2350 м), Чегет (2400 м), Терскол (2500 м) (рис. 1).
Сбор материала (10–15 микростробил с каждого дерева, (36–50 деревьев) проводили в период массового вылета пыльцы. Собранный материал (микростробилы) фиксировали в спиртово-уксусном растворе (фиксатор Кларка). Микропрепараты изучали в проходящем свете под микроскопом Axio Imager A2 (“Carl Zeiss”, Германия) с использованием системы формирования изображений AxioVision.
В лабораторных условиях оценивали морфологические изменения пыльцы (форму, количество воздушных мешков) с использованием стандартных методик (Моносзон–Смолина, 1949). Общее число изученных пыльцевых зерен сосны на исследуемой территории составило 13 965 шт.
Содержание крахмала оценивали по интенсивности окрашивания и занимаемому объему внутреннего пространства пыльцевого зерна – жизнеспособной считалась пыльца, тело которой заполнено крахмалом полностью, на 1/3 либо 2/3 объема и более, стерильной – пустые клетки (Третьякова, 1990; Ямбуров; 2008; Пименов и др., 2011).
РЕЗУЛЬТАТЫ ИССЛЕДОВАНИЙ
На первом этапе исследований определяли аномалии пыльцы (морфотипы) и частоту встречаемости различных морфотипов пыльцы сосны. Ранее на примере 4-х выборок сосны (Моллаева, 2017) было выявлено несколько типов аномалий. Увеличение числа выборок и их изолированное расположение позволило нам выявить новые аномалии и характер распространения аномальных клеток с высотой мест произрастания.
Морфологический анализ пыльцы сосны обыкновенной на исследуемой территории выявил целый спектр аномальных изменений пыльцевых зерен (рис. 2).
Рис. 2.
Пыльцевые зерна (1) сосны обыкновенной и типы их аномалий, выявленные на Центральном Кавказе: 2 и 2а – “воротничковая”; 3 – клетка с 3 воздушными мешками; 4 – клетка с редукцией тела; 5 – клетка с разномерными воздушными мешками; 6 – клетка с одним воздушным мешком; 7 – клетка с “гигантским” телом. Увеличение: объектив 40×, окуляр 10×.

Было отмечено 6 типов аномалий пыльцы: зерна, характеризующиеся наличием аномального числа воздушных мешков, – одним либо тремя мешками, клетка с разномерными воздушными мешками, (1 воздушный мешок в 2 раза больше 2‑го), недоразвитыми воздушными мешками (“воротничковая форма”), пыльцевые зерна с редуцированным телом; “гигантские” пыльцевые зерна.
Частота встречаемости аномальных пыльцевых зерен в разновысотных выборках сосны Баксанского ущелья варьирует от 7–10 до 17% от общего числа изученных пыльцевых зерен (табл. 1). Высокая встречаемость аномальных пыльцевых зерен наблюдается в окр. с Эльбрус (17%), минимальная, почти в три раза меньше в Адыр-Су (6.5%). Наиболее распространённой аномалией пыльцы деревьев сосны на исследуемой территории является редукция тела (табл. 1), встречаемость которой в большинстве выборок составляет 50% от общего числа аномальных пыльцевых зерен, за исключением выборки Джантуган – 14.74% (табл. 1).
Таблица 1.
Встречаемость различных типов аномалий пыльцы Pinus sylvestris L. на Центральном Кавказе (бассейн р. Баксан)
| Типы аномалий | Разновысотные выборки, % | |||||||
|---|---|---|---|---|---|---|---|---|
| 1 | 2 | 3 | 4 | 5 | 6 | 7 | 8 | |
| Редуцированное тело | 48.69 | 33.60 | 39.30 | 41.82 | 25.0 | 14.74 | 39.35 | 52.08 |
| Воротничковая форма | 18.25 | 36.09 | 29.30 | 26.92 | 41.60 | 53.84 | 27.02 | 10.41 |
| 3 воздушных мешка | 3.45 | – | – | – | – | 1.80 | – | – |
| 1 воздушный мешок | 29.6 | 30.29 | 31.40 | 31.25 | 30.0 | 25.0 | 28.76 | 22.91 |
| Разномерные воздушные мешки | – | – | – | – | 1.28 | – | – | – |
| “Гигантское тело” | – | – | – | – | 2.08 | 5.12 | 6.84 | 14.69 |
Т. н. “воротничковая форма” пыльцы или редукция воздушных мешков занимает вторую позицию по частоте встречаемости среди остальных морфотипов пыльцевых зерен, варьирует в пределах от 10% (Терскол, 2500 м) до 53% (Джантуган, 2350 м). Аномальные клетки с одним воздушным мешком встречаются также во всех выборках и составляют ~30% от общего числа здоровых клеток. Следует отметить, что редкая 3-х мешковая пыльца встречена только в двух выборках – Джантуган (1.8%) и В. Баксан (3.45%). Т. н. “гигантские” пыльцевые зерна обнаружены в высокогорных выборках Адыр-Су, Джантуган, Чегет и Терскол, процент встречаемости их также невелик, однако наблюдается увеличение числа этих клеток с продвижением в горы. Самой редкой аномалией пыльцы на исследуемой территории является разноразмерность воздушных мешков, встречается только в Адыр-Су и составляет лишь 1.28% (табл. 1)
Различия процентного соотношения аномалий пыльцы между исследуемыми выборками достоверные и близкие к достоверным (при p = 0.05). С целью изучения влияния высоты места произрастания деревьев, как комплекса факторов среды, на качество и аномальную изменчивость пыльцы, исследуемые выборки были сгруппированы в следующие высотные уровни: 1500 м (В. Баксан); 1800–2000 м (Эльбрус, Юсеньги, Сылтран); 2100–2400 м (Адыр-Су, Джантуган, Чегет); 2500 м (Терскол).
Корреляционный анализ показал зависимость таких аномалий как “гигантское тело” (r = 0.76 при p = 0.05) и пыльцы с одним воздушным мешком (r = 0.72 при p = 0.05) с высотным градиентом в условиях северного макросклона Центрального Кавказа (Баксанское ущелье). Частота встречаемости аномальной пыльцы с тремя воздушными мешками с увеличением высоты мест произрастания, наоборот снижается (r = 0.65 при p = 0.05). Такие морфотипы пыльцы как “редуцированное тело” (r = –0.16 при p = 0.05), “воротничковая форма” (r = 0.04 при p = 0.05) и разноразмерность воздушных мешков пыльцевого зерна (r = 0.22 при p = 0.05) слабо коррелируют с высотой.
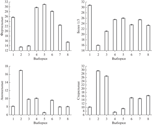
На втором этапе исследования определяли качество пыльцы по содержанию крахмала в ней. Гистохимический анализ пыльцевых зерен сосны обыкновенной, с помощью которого определяли их фертильность, показал следующие результаты (рис. 3).
Как видно из рис. 3, на исследуемой территории в большинстве разновысотных выборках сосны преобладает жизнеспособная (полностью окрашенная) пыльца. Максимальный процент жизнеспособных пыльцевых зерен был установлен в выборке Адыр-Су (31%), минимальный – в выборках, расположенных на высоте 1800 м (Юсеньги и Эльбрус) 13%.
Также отдельно вели подсчет пыльцы, заполненной крахмалом от 1/3 до 2/3 объема клетки (слабо окрашенные), считая их условно фертильными. По процентному соотношению слабоокрашенных пыльцевых зерен лидирует выборка Верхний Баксан, где отмечалось небольшое количество фертильных. Почти во всех выборках процентное соотношение условно жизнеспособных пыльцевых зерен составляет 20% и более, за исключением выборки Эльбрус, где значение достигает 15%. По числу стерильных (неокрашенных) клеток “лидирующие позиции” занимают выборки Эльбрус и Юсеньги, где 1/3 зерен являются пустыми по окраске от общего числа изученных клеток. Наименьшее количество стерильных зерен встречается в выборках Сылтран (7.4%) и Адыр-Су 9.3%, тогда как в остальных выборках (В. Баксан, Джантуган, Чегет, Терскол) их число составляет 10–15%. Высокая встречаемость аномальных пыльцевых зерен наблюдается в окрестностях поселка Эльбрус (17%), что в 2 раза больше чем у большинства выборок и почти в три раза меньше чем в Адыр-Су (6.5%). Достоверные различия (при p = 0.05) по процентному соотношению фертильных зерен выявлены в Эльбрус, Юсеньги и Терскол при сравнении с другими выборками, по наличию слабоокрашенных клеток – от всех и друг от друга Баксан, Эльбрус и Юсеньги, по числу стерильных от всех отличаются Эльбрус и Юсеньги, по числу аномальных клеток отличны Эльбрус и Адыр-Су. Однако, несмотря на выявленные различия между разновысотными выборками сосны обыкновенной, содержание крахмала в пыльце с высотой местности не коррелирует (r = = 0.11 при p = 0.05). Слабая корреляция выявлена по числу аномальных клеток (r = 0.20 при p = 0.05).
ОБСУЖДЕНИЕ РЕЗУЛЬТАТОВ
Изменчивость морфотипов пыльцевых зерен P. sylvestris. В разновысотных природных популяциях сосны обыкновенной Центрального Кавказа были выявлены 6 типов аномалий, что в 2 раза больше, чем известно из данных литературы. Так, Калашник (2009) для естественных насаждений сосны обыкновенной, лиственницы Сукачева, ели сибирской, пихты сибирской, произрастающих в условиях гор Южного Урала, выявлены следующие три типа аномалий пыльцы: зерна с 4-мя воздушными мешками, с одним воздушным мешком и без воздушных мешков.
Выявленные нами шесть морфотипов пыльцевых зерен для Pinus sylvestris в условиях Баксанского ущелья, отмечены ранее рядом исследователей (Пименов и др., 2011; Калашник, 2012; Тупицын и др., 2012; Василевская, Петрова, 2014; Велисевич, 2017; Махнева, 2017) для сосны, произрастающей в неблагоприятных условиях среды (атмосферного загрязнения, заболачивания территории, в условиях сухой степи и т.д.).
Между числом аномалий пыльцы P. sylvestris и высотой над уровнем моря в условиях северного макросклона ЦК выявлена положительная корреляция. Это позволяет заключить, что условия среднегорий Центрального Кавказа являются экстремальными для сосны обыкновенной.
Воздушные мешки пыльцевых зерен ветроопыляемых хвойных видов, в частности, сосны обыкновенной, выполняют важную аэродинамическую функцию – перенос пыльцы на большие расстояния (Мамаев, 1965; Некрасова, 1983), чем, вероятно, можно объяснить наблюдаемое на большей высоте (выборки Джантуган и В. Баксан) увеличение числа воздушных мешков пыльцы, что способствует улучшению ее летательной способности (“парусности”), как ответной реакции растения на условия произрастания.
Наличие в высокогорных выборках (Адыр-Су, Джантуган, Чегет и Терскол) “гигантского тела” пыльцевого зерна, вероятно, обусловлено адаптацией сосны к экстремальным условиям, необходимостью увеличения объема питательных веществ клетки. Аналогичную аномалию наблюдали у сосны обыкновенной в условиях загрязнения г. Мончегорска (Василевская, Петрова, 2014) и г. Красноярска (Третьякова, Носкова, 2004), а также у Pinus sibirica в аридных условиях Алтая (Велисевич, 2017).
Изменчивость качества пыльцевых зерен Pinus sylvestris. Гистохимический анализ в исследуемых выборках сосны обыкновенной Центрального Кавказа, произрастающей в условиях Баксанского ущелья, показал высокую жизнеспособность пыльцы для горных популяций, что не согласуется с данными литературы. Так, например, для горных популяций у ряда видов древесных растений, в частности хвойных, наблюдается снижение жизнеспособности их пыльцы по сравнению с равнинными популяциями (Земляной, 1971; Николаева, 1974; Калашник, 2009; Куликова, 2015; Велисевич, 2017), чего нельзя сказать о фертильности пыльцы сосны в условиях гор ЦК. Корреляция фертильности пыльцевых зерен P. sylvestris в градиенте высоты местности на исследуемой территории не выявлена (r = 0.11 при p = 0.05).
Таким образом, по результатам исследования пыльцы Pinus sylvestris L. на Центральном Кавказе (на примере Баксанского ущелья) выделено шесть морфотипов аномалий: 1 – редукция тела; 2 – воротничковый, или редукция воздушных мешков; 3 – один воздушный мешок; 4 – три воздушных мешка; 5 – разноразмерность воздушных мешков; 6 – “гигантское тело”.
Впервые для горных популяций сосны обыкновенной выявлена средняя положительная корреляция аномалий пыльцы с высотой мест произрастания в условиях северного макросклона Центрального Кавказа (Баксанское ущелье). Наиболее тесно связаны с высотой такие аномалии как “гигантское тело” и пыльцевые зерна с одним воздушным мешком, пыльцевые зерна с тремя воздушными мешками. Наличие “гигантского тела” пыльцевого зерна вероятно обусловлено адаптацией сосны к экстремальным высокогорным условиям как необходимостью увеличения объема питательных веществ клетки. Однако необходимы дальнейшие исследования, как на территории Центрального Кавказа, так и в других регионах Кавказа для выявления наличия общей закономерности аномалий пыльцы в горах с высотой мест произрастания.
В целом, процент аномальных клеток пыльцевых зерен на изученных площадках варьировал незначительно и составил менее 10%, за исключением выборки Эльбрус (17%).
В исследованных нами естественных насаждениях сосны обыкновенной выявлено потенциально высокое качество пыльцы: во всех выборках процент фертильной пыльцы и пыльцы содержащей крахмал до 2/3 объема клетки составляет 30%, т.е. ~60% изученных пыльцевых зерен можно считать жизнеспособными. Корреляции качественных показателей пыльцы сосны обыкновенной с высотным градиентом практически не выявлено.
Список литературы
Василевская Н.В., Петрова Н.В. Морфологическая изменчивость пыльцы Pinus sylvestris L в условиях промышленного города (на примере Мончегорска) // Ученые записки Петрозаводского гос. ун-та. 2014. № 4. С. 7–12.
Велисевич С.Н. Качество пыльцы высокогорных популяций Pinus sibirica Du Tour (Pinaceae) в аридных и гумидных районах Алтая // Журн. Сибир. ун-та. Биология. 2017. № 10(3). С. 301–311.
Дзюба О.Ф. Тетроморфные пыльцевые зерна в современных и палеопалинологических спектрах и некоторые проблемы палиностратиграфии // Нефтегазовая геология: теория и практика. 2007. № 2. С. 1–22.
Земляной А.И. Особенности микроспорогенеза у кедра сибирского на Алтае. Известия СО АН СССР. Сер. Биол. наук, 1971. № 15(3). С. 51–58
Зуева Г.В., Махнева С.Г. Фертильность пыльцы сосны обыкновенной. //Леса Урала и хозяйство в них. Екатеринбург. УИЛТИ, 1993. Вып. 16. С. 225–237
Калашник Н.А. Характеристика естественных насаждений хвойных видов Южного Урала по цитогенетическим показателям // Вестник ОГУ. 2009. № 6. С. 157–160.
Калашник Н.А. Аномалии пыльцы у сосны обыкновенной в различных экологических условиях // Бюл. Бот. сада Саратовского гос. ун-та. 2012. № 10. С. 46–52.
Куликова А.И., Боярских И.Г. Состояние пыльцы Lonicera caerulea в локальной зоне геолого-геофизической неоднородности горного Алтая // Сиб. экологический журн. 2015. № 4. С. 608–616.
Мамаев С.А. Морфологическая изменчивость пыльцы Pinus sylvestris, произрастающей на Урале. Ботанический журн. 1965. № 50(5). 680–685.
Махнева С.Г. Показатели пыльцы сосны обыкновенной в биомониторинге техногенного загрязнения среды (на примере двух промышленных центров Урала) // “Биологические системы: устойчивость, принципы и механизмы функционирования”: сборник статей V Всероссийской научно-практической конференции. Нижний Тагил. 2017. С. 230–237.
Мельникова Т.А. Аномальная пыльца рода Pinus как индикатор палеоклиматических флуктуаций в голоцене // Вестник ДВО РАН. 2004. № 3. С. 178–182.
Моллаева М.З. Морфологические изменения пыльцы сосны обыкновенной на Центральном Кавказе. Современные проблемы экспериментальной ботаники. Материалы I Международной конференции молодых ученых. Минск. 2017. С. 192–195.
Моносзон–Смолина М.Х. К вопросу о морфологии пыльцы некоторых видов рода Pinus // Ботанический журн. 1949. № 4. С. 352–380.
Некрасова Т.П. Пыльца и пыльцевой режим хвойных Сибири. Новосибирск. 1983. 169 с.
Нечаев Ю.А. Лесные богатства Кабардино-Балкарии. Нальчик. 1960 Новосибирск. 1983. 169 с.
Носкова Н.Е., Третьякова И.Н., Муратова Е.Н. Микроспорогенез и формирование пыльцы у сосны обыкновенной (Pinus sylvestris L.) в условиях современного климата Сибири // Известия РАН. Серия биологическая. 2009. № 3. С. 379–384.
Петрова И.В., Санников С.Н., Темботова Ф.А., Санникова Н.С., Фарзалиев В.С., Моллаева М.З., Егоров Е.В. Геногеография популяций Pinus sylvestris L. Большого Кавказа и Крыма // Экология. 2017. № 6. С. 431–439
Пименов А.В., Сидельникова Т.С., Ефремов С.П. Морфология и качество пыльцы желто- и красно-пыльниковой форм Pinus sylvestris L. в болотных и суходольных условиях произрастания (Томская область) // Ботанический журн. 2011. Т. 96. № 3 С. 367–375.
Поддубная–Арнольди В.А. Цитоэмбриология покрытосеменнных растений. М.: Наука, 1976. 507 с.
Саблирова Ю.М., Темботова Ф.А., Пшегусов Р.Х. Типологическое разнообразие, состояние и распространение сосновых лесов Баксанского ущелья (Центральный Кавказ) // Известия Самарского НЦ РАН. 2015. Т. 17. № 4-2. С. 389–394.
Темботова Ф.А., Пшегусов Р.Х., Тлупова Ю.М. Леса северного макросклона Центрального Кавказа (эльбрусский и терский варианты поясности // В кн.: Разнообразие и динамика лесных экосистем России. М.: КМК, 2012. Т. 1. С. 249–259.
Тихонова И.В. Морфологические признаки пыльцы в связи с состоянием деревьев сосны в сухой степи // Лесоведение. 2005. № 1. С. 63–69.
Третьякова И.Н. Эмбриология хвойных: физиологические аспекты. Новосибирск. 1990. 157 с.
Третьякова И.Н., Носкова Н.Е. Пыльца сосны обыкновенной в условиях экологического стресса // Экология. 2004. № 1. С. 26–33.
Тупицын С.С. Рябогина Н.Е., Тупицына Л.С. Уровень тератогенеза как показатель состояния биообъекта в разных экологических условиях. // Известия Самарского НЦ РАН. 2012. Т. 14. № 1-(3). С. 822–828.
Черепанова О.Е., Мищихина Ю.Д. Влияние факторов среды (температуры и влажности воздуха) на качество пыльцы сосны обыкновенной (Pinus sylvestris L.) // Аграрный вестник Урала. 2012. № 7. С. 72–73.
Ямбуров М.С. Структура мужских побегов и качество пыльцы “ведьминой метлы” сосны обыкновенной // Вестник Томского государственного университета. Биология. 2008. № 3. С. 42–47.
Benca J.P., Duijnstee I.A.P., Looy C.V. UV-B-induced forest sterility: Implications of ozone shield failure in Earth’s largest extinction // Science Advances. 2018. V. 4. P. 1–10.
Pollen management handbook / Ed. Franklin E.C.: Washington, D.C.: U.S. Dep. Agrie., 1981. 98 p.
Дополнительные материалы отсутствуют.
Инструменты
Известия РАН. Серия биологическая




