Известия РАН. Серия физическая, 2019, T. 83, № 12, стр. 1699-1702
Экспериментальные исследования рождения π0 и η мезонов в U + U взаимодействиях при энергии 192 ГэВ
А. Я. Бердников 1, Я. А. Бердников 1, С. В. Жарко 1, Д. О. Котов 1, П. В. Радзевич 1, *
1 Федеральное государственное автономное образовательное учреждение высшего образования
“Санкт-Петербургский политехнический университет Петра Великого”
Санкт-Петербург, Россия
* E-mail: radzevichp@gmail.com
Поступила в редакцию 04.02.2019
После доработки 15.04.2019
Принята к публикации 27.08.2019
Аннотация
Исследования столкновений ультрарелятивистских тяжелых ядер на RHIC привели к открытию качественно нового состояния вещества – сильно взаимодействующей кварк-глюонной плазмы, в котором кварки и глюоны не связаны внутри адронов, а движутся свободно в пределах всего объема созданной среды. Система столкновений U + U при энергии 192 ГэВ на RHIC является самой тяжелой системой сталкивающихся ядер, используемой в экспериментах на встречных пучках и позволяющей получить самую большую энергетическую плотность среди прочих систем ультрарелятивистских сталкивающихся ядер. В статье представлены результаты измерения факторов ядерной модификации π0- и η-мезонов в (U + U)-столкновениях при энергии 192 ГэВ.
ВВЕДЕНИЕ
Исследование столкновений тяжелых ядер (A + A) на коллайдере релятивистских тяжёлых ионов RHIC (Брукхэйвенская национальная лаборатория, США) привело к экспериментальному подтверждению возможности перехода адронного вещества, находящегося при экстремально высоких условиях температуры, в состояние сильно взаимодействующей кварк-глюонной плазмы (сКГП) [1–4] с партонными степенями свободы, С тех пор основное усилие экспериментов на RHIC и Большого адронного коллайдера LHC было направлено на детальное изучение нового состояния вещества.
При прохождении через кварк-глюонную среду быстрые партоны (с поперечным импульсом больше ~4–5 ГэВ/c) теряют часть своей энергии, что приводит к уменьшению выхода адронов по сравнению с их выходом в элементарных протон-протонных столкновениях (p + p) в рассматриваемом интервале поперечного импульса. Данный эффект называется эффектом гашения адронных струй. Измерение выхода π0- и η-мезонов в A + A является мощным инструментом для исследования эффектов сКГП, в том числе эффекта гашения адронных струй, поскольку выходы этих частиц могут быть измерены с относительно высокой точностью в широком диапазоне поперечного импульса.
Анализ данных в разных системах сталкивающихся тяжелых ядер позволяет провести систематическое исследование эффектов сКГП в зависимости от вариации условий, создаваемых в A + A. Например, в центральных (U + U)-столкновениях достигается наибольшая энергетическая плотность рождающейся кварк-глюонной среды среди прочих систем сталкивающихся ядер на RHIC. Также в отличие от других ядер, используемых в (A + A)-системах, ядра урана обладают сильной азимутальной асимметрией, приводящей к возможности реализации различной геометрии столкновения (режимы “body-body”, “tip-tip” [5]). Все это делает изучение особенностей рождения π0- и η-мезонов в столкновениях ядер U + U необходимой частью систематического изучения сКГП и позволит установить дополнительные ограничения на ряд параметров различных теоретических моделей и подробнее описать механизмы энергетических потерь партонов в кварк-глюонной среде.
Коллективные эффекты, воздействующие на спектры рождения частиц в (A + A)-системах удобно описывать при помощи фактора ядерной модификации RAA:
(1)
${{R}_{{AA}}} = \frac{1}{{\left\langle {{{N}_{{{\text{столкн}}}}}} \right\rangle }}\frac{{d{{N}_{{AA}}}}}{{d{{N}_{{pp}}}}},$МЕТОДИКА АНАЛИЗА ДАННЫХ
Выходы π0- и η-мезонов измерены в каналах π0 → γγ и η → γγ при использовании спектрометра PHENIX [3] на RHIC. Определение кинематических характеристик γ-квантов (энергия, поперечный импульс) осуществляется при помощи системы электромагнитных калориметров, представленной в спектрометре двумя подсистемами, первая из которых состоит из шести секторов сцинтилляционного сэмплинг-калориметра (PbSc), вторая – из двух секторов калориметра Черенкова (PbGl). Каждый сектор расположен в |η| < 0.35 области псевдобыстроты и покрывает 22.5° по азимутальному углу. Описание прочих характеристик калориметра представлено в [7].
Определение выхода π0- и η-мезонов происходит следующим образом. Зарегистрированные в калориметре электромагнитные кластеры подвергаются отбору по энергии, форме и пространственному расположению. Отобранные кластеры обозначаются как γ-кванты и объединяются в пары (γγ) в пределах одного акта (U + U)-столкновения. Отдельно для выбранного интервала поперечного импульса, центральности столкновений и подсистемы электромагнитного калориметра формируются распределения γγ по их эффективной массе. Распределения содержат сигналы π0- и η-мезонов в областях 0.1–0.2 и 0.4–0.7 МэВ/c2 соответственно, загрязненные фоном комбинаторной природы. Условно источники фона можно разделить на две группы: коррелированные и некоррелированные внутри одного события столкновения ядер. Фон, порожденный некоррелированными источниками, может быть оценен при помощи техники смешивания событий: при формировании γγ-пары каждому γ-кванту подбирается партнер из другого события, в результате чего распределение по инвариантным массам таких пар будет представлять собой исключительно некоррелированную часть фона, далее вычитаемую из реальных распределений, содержащих сигал. Итоговые распределения аппроксимируются суммой функций Гаусса и полинома первой или второй степени (для сигналов π0- и η-мезонов соответственно), описывающих сигнал и остаточный коррелированный фон. Выход мезонов измеряется как интеграл под функцией Гаусса.
Измеренные значения выходов нормируются на количество событий в выбранном интервале центральности столкновений и корректируются при помощи эффективности регистрации, оцениваемой при помощи Монте-Карло моделирования процессов рождения π0- и η-мезонов и их дальнейшей регистрации в установке, для учета конечной геометрии детектора и происходящих в нем эффектов, искажающих реальное количество мезонов, рожденных в вершине.
Спектры π0- и η-мезонов, измеренные в разных подсистемах электромагнитного калориметра, усредняются с использованием взвешивающих коэффициентов, обратно пропорциональных величинам погрешностей измерений. Систематические погрешности измерения выхода π0- и η-мезонов учитывают возможные промахи в отборе данных, анализе распределений по инвариантной массе и построении модели Монте-Карло и оцениваются путем сравнения спектров, полученных с использованием различных режимов в обозначенных выше этапах анализа.
РЕЗУЛЬТАТЫ
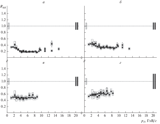
На рис. 1 изображены зависимости факторов ядерной модификации π0- и η-мезонов от их поперечного импульса, измеренных в четырёх различных классах центральности в (U + U)-столкновениях при энергии √sNN = 192 ГэВ. Значения факторов ядерной модификации представлены для набора значений Nстолкн, опубликованных в [8]. В центральных (U + U)-столкновениях наблюдается пятикратное уменьшение выхода мезонов по сравнению с их выходом в p + p. Во всех диапазонах по центральности значения факторов ядерной модификации π0- и η-мезонов совпадают в пределах погрешности измерений, что указывает на независимость потерь энергии партонов в кварк-глюонной среде от характеристик мезонов в конечном состоянии.
Рис. 1.
Зависимость величины фактора ядерной модификации RAA от поперечного импульса pT для нейтральных пионов (квадратные маркеры) и η-мезонов (круглые маркеры) в (U + U)-столкновениях при энергии 192 ГэВ: а – в центральных (0–20%), б – в полуцентральных (20–40%), в – в полуцентральных (40–60%), г – в периферийных (60–80%). Условные обозначения на точках в виде вертикальных “усов” и горизонтальных “прямоугольников” отвечают статистическим и систематическим погрешностям измерений соответственно.

На рис. 2 изображены сравнения зависимостей факторов ядерной модификации η-мезонов от поперечного импульса, измеренных в (U + U)- и (Au + Au)-столкновениях [10, 11 ] при энергии 192 и 200 ГэВ в диапазонах по центральности с близкими значениями Nстолкн. Факторы ядерной модификации η-мезонов представлены для двух различных наборов Nстолкн [8, 9]. При больших значениях Nстолкн факторы ядерной модификации, измеренные в разных сталкивающихся системах, совпадают в пределах погрешности измерений, что указывает на независимость степени подавления η-мезонов от геометрии начального состояния, реализующегося в (A + A)-системах. При малых значениях Nстолкн наблюдается незначительное различие в величинах факторов ядерной модификации, полученных в столкновениях ядер U + U и Au + Au, хотя можно утверждать, что значения факторов ядерной модификации совпадают в пределах погрешности измерений.
Рис. 2.
Зависимость величины фактора ядерной модификации RAA от поперечного импульса pT для η-мезонов в (U + U)-взаимодействиях (круглые и квадратные маркеры – для значений Nстолкн из [8] и [9], соответственно) и (Au + Au)-взаимодействиях [5, 6] (круглые и ромбовидные маркеры для наборов данных, полученных в 2003 и 2007 гг. соответственно) при энергии 192 и 200 ГэВ: а – в центральных (0–20%) (U + U)-взаимодействиях и центральных (0‒5%) (Au + Au)-взаимодействиях; б – в полуцентральных (20–40%) (U + U)-взаимодействиях и (20–40%) (Au + Au)-взаимодействиях; в – в полупериферийных (40–60%) (U + U)-взаимодействиях и (40–50%) (Au + Au)-взаимодействиях; г – в периферийных (60–80%) (U + U)-взаимодействиях, (60–92%) (Au + Au)-взаимодействиях при энергии 192 и 200 ГэВ соответственно. Условные обозначения на точках в виде вертикальных “усов” и серых горизонтальных “прямоугольников” отвечают статистическим и систематическим погрешностям измерений соответственно.

ЗАКЛЮЧЕНИЕ
На основе анализа результатов измерения факторов ядерной модификации π0- и η-мезонов в (U + U)-столкновениях при энергии 192 ГэВ в эксперименте PHENIX можно сделать следующие выводы. Факторы ядерной модификации π0- и η-мезонов подавлены в одинаковой степени, что указывает на независимость степени подавления от аромата и массы исследуемых частиц. Выходы η-мезонов, измеренные в (U + U)- и (Au + Au)-столкновениях при энергии 192 и 200 ГэВ подавлены одинаково при Nстолкн > 90 (в центральных и полуцентральных столкновениях), что указывает на независимость степени подавления от формы области перекрытия сталкивающихся ядер.
При значениях Nстолкн ~ 20 (в периферийных столкновениях) в U + U наблюдается более сильное подавление выхода η-мезонов, чем в Au + Au. При данной точности измерений уверенно разделить результаты, полученные в периферийных (U + U)- и (Au + Au)-столкновениях, не представляется возможным.
Результаты настоящей работы получены в рамках выполнения государственного задания Минобрнауки России 3.1498.2017/4.6.
Список литературы
Back B. et al. (PHENIX Collaboration) // Nucl. Phys. A. 2005. V. 757. P. 28.
Adams J. et al. (PHENIX Collaboration) // Nucl. Phys. A. 2005. V. 757. P. 102.
Adcox K. et al. (PHENIX Collaboration) // Nucl. Phys. A. 2005. V. 757. P. 184.
Wang H. // Nucl. Phys. A. 2014. V. 931. P. 293.
Miller M.L., Reygers K., Sanders S.J., Steinberg P. // Ann. Rev. Nucl. Part. Sci. 2007. V. 57. P. 205.
Aphecetche L., Awes T.C., Banning J. et al. // Nucl. Instrum. Meth. A. 2003. V. 499. P. 521.
Masui H., Mohanty B., Xu N. // Phys. Lett. B. 2009. V. 679. P. 440.
Shou Q.Y., Ma Y.G., Sorensen P. // Phys. Lett. B. 2015. V. 749. P. 215.
Adler S.S. et al. (PHENIX Collaboration) // Phys. Rev. C. 2007. V. 75. Art. № 024909.
Adare A. et al. (PHENIX Collaboration) // Phys. Rev. C. 2010. V. 82. Art. № 011902.
Дополнительные материалы отсутствуют.
Инструменты
Известия РАН. Серия физическая


