Российские нанотехнологии, 2024, T. 19, № 3, стр. 310-321
ТЕХНОЛОГИЯ ИЗГОТОВЛЕНИЯ TSV-СТРУКТУР ДЛЯ СОЗДАНИЯ КРЕМНИЕВЫХ ИНТЕРПОЗЕРОВ С ПРИМЕНЕНИЕМ ТЕХНОЛОГИИ ВРЕМЕННОГО БОНДИНГА
Н. А. Дюжев 1, Е. Э. Гусев 1, *, М. Ю. Фомичёв 1, П. С. Иванин 1
1 Национальный исследовательский университет “Московский институт электронной техники”
Москва, Россия
* E-mail: bubbledouble@mail.ru
Поступила в редакцию 21.11.2023
После доработки 29.02.2024
Принята к публикации 18.04.2024
Аннотация
Впервые в России представлена технология временного бондинга пластин, применяемая для формирования сквозных отверстий в кремнии (TSV-структур) с высоким аспектным соотношением глубины к диаметру (более 10 к 1), а также метод переноса знаков совмещения с лицевой на обратную сторону тонкой Si-пластины, заключающийся в применении стеклянной пластины-носителя, позволяющий обеспечить достаточную величину прогиба сборки для проведения литографии. Модернизированные операционные параметры бондинга Si–стекло, заключающиеся в управлении скоростью остывания плит и прикладывании давления к пластинам на фазе их остывания, обеспечили сокращение прогиба результирующей сборки на 75% перед утонением и на 65% после утонения до остаточной толщины 125 мкм при сохранении механической целостности пластин.
ВВЕДЕНИЕ
Актуальность технологии формирования сквозных отверстий в кремнии (TSV-структур) с высоким аспектным соотношением подтверждается широкой областью применения в современных изделиях микро- и наноэлектроники: для осуществления межсоединений активных элементов устройств [1], для формирования ионных ловушек в разделе фотоника [2], в приборах на основе GaN [3]. Характерным элементом в ней являются сквозные отверстия, соединяющие истоковые области с подложкой транзистора. Такое решение значительно снижает индуктивность истока и упрощает монтаж кристалла в корпус [3].
Суть применения TSV-структур заключается в уменьшении времени задержки сигнала и обеспечении более низкой рассеиваемой мощности сигнала из-за уменьшенной длины межсоединений. Поскольку TSV, применяющиеся в 3D-сборках, представляют собой межсоединения небольшой длины со значительно меньшими площадками захвата, чем на стандартных подложках, они могут иметь значительно меньшую емкость межсоединений по сравнению с параллельными или плоскими межсоединениями. На рис. 1 схематично показана разница между 2D- и 3D-межсоединениями с применением TSV-технологии. Таким образом, благодаря применению 3D-интеграции по технологии TSV длина межсоединений по сравнению с 2D-интеграцией, как правило, уменьшается в десятки раз [4].
Для удовлетворения требований, предъявляемых к многослойной интеграции, необходима операция утонения кремниевых пластин (стандартная для микроэлектроники). Однако при утонении до толщины 200 мкм и менее пластины имеют слабую механическую устойчивость, а также низкую жесткость при изгибе и поэтому легко ломаются. Для изготовления и стабилизации таких ультратонких пластин во время механической обработки или перемещения их необходимо зафиксировать на пластине-носителе [5]. Поэтому была разработана технология временного бондинга рабочей пластины, содержащей такие структуры, как транзисторы или отверстия для межсоединений TSV, с пластиной-носителем с целью обеспечения стабилизации и защиты от повреждения во время прохождения множества производственных шагов. Таким образом, после выполнения бондинга рабочая пластина может быть утонена в составе сборки с носителем так, как если бы это была единая целая пластина.
Для большинства применений временного бондинга требуется обеспечить возможность переноса знаков совмещения с лицевой на обратную сторону тонкой пластины. Широко применяемым подходом для такого совмещения является использование прозрачных пластин в качестве пластин-носителей. Для совмещения по обратной стороне создаются специальные знаки, расположенные на склеиваемой стороне пластины, которые можно увидеть через прозрачную пластину-носитель после склеивания. Координаты расположения знаков сохраняются в цифровом виде. Благодаря этому обеспечивается формирование структур с обратной стороны в соответствии с расположением структур на передней стороне, а также точное совмещение рабочей пластины с пластиной, содержащей знаки [6].
В качестве прозрачного носителя в мировой практике широко используются пластины из боросиликатного стекла [7]. Температурные коэффициенты линейного расширения (ТКЛР) боросиликатных стекол достаточно близки к ТКЛР кремния (Si – 2.54 × 10–6 °С–1, стекло – 3.2 × 10–6 °С–1). Однако из-за разницы этих коэффициентов возникают механические напряжения, приводящие к прогибу сборок после бондинга. Слишком большая величина прогиба пластин в сборке приводит к высокой неравномерности толщины рабочей Si-пластины при утонении. Повышается вероятность разделения пластин в сборке или возникновения трещин в тонкой рабочей пластине. Также во время проведения контактной фотолитографии увеличивается площадь соприкосновения между маской и поверхностью пластины, а значит, повышается вероятность формирования элементов с минимальными топологическими размерами [8]. При формировании маски для создания сквозных отверстий необходимо минимизировать величину прогиба сборки. При контактной литографии для формирования элементов с линейными размерами ~1.0 мкм нельзя превышать величину прогиба в 100 мкм. Следовательно, необходимо отрабатывать операционные параметры временного бондинга с целью минимизировать результирующий прогиб сборки пластин.
Увеличение аспектного соотношения отверстий в рабочей пластине позволяет увеличить плотность межсоединений. TSV обычно имеет диаметр и высоту в пределах 1–10 и 10–150 мкм соответственно [9–11].
Из-за особенностей плазмохимического травления Si (Bosch-процесса), применяемого для создания отверстий с высоким аспектным соотношением, их стенки, как правило, имеют шероховатый профиль, который может стать причиной нарушения конформности осаждения слоев в последующих шагах по металлизации TSV. В результате это может приводить к утечкам тока и проблемам с надежностью готовых устройств. От степени шероховатости стенок отверстий зависит качество формирования диэлектрического, барьерного и зародышевого слоев, поскольку вместе с ростом шероховатости увеличивается количество пустот в TSV. Таким образом, при формировании TSV шероховатость стенок должна быть минимизирована [12]. Например, в [13] представлен оптимизированный Bosch-процесс создания отверстий в Si-пластине с шероховатостью стенок не более 100 нм. Диаметр полученных отверстий – 20 мкм, а глубина – 200 мкм. Продемонстрированы бездефектное выполнение последующих шагов формирования изолирующего, барьерного, зародышевого слоев и заполнение TSV металлом.
После того как в Si-пластине вытравлено сквозное отверстие, оно конформно заполняется слоями материалов разного назначения (барьерный, диэлектрический, затравочный слой).
Таким образом, к сквозным отверстиям в кремнии предъявляются следующие требования: высокое аспектное соотношение отверстий, низкое значение шероховатости поверхности стенок, минимальное значение прогиба сборки из пластин.
Цель данной работы – адаптировать предоставленную зарубежным производителем технологию временного соединения пластин, позволяющую сохранить механическую целостность тонкой пластины при обработке и транспортировке; подобрать операционные параметры бондинга Si–стекло, обеспечивающие сокращение прогиба результирующей сборки, отработать метод переноса знаков совмещения с лицевой на обратную сторону тонкой Si-пластины с применением стеклянной пластины-носителя и продемонстрировать формирование отверстий, пригодных для изготовления в тонкой Si-пластине TSV с высоким аспектным соотношением.
МЕТОДИКА ЭКСПЕРИМЕНТА
Базовый маршрут формирования сквозных отверстий с высоким аспектным соотношением в тонкой Si-пластине представлен на рис. 2.
Рис. 2.
Базовый технологический маршрут сборки: а – нанесение функциональных слоев, б – задубливание, в – склеивание (бондинг), г – утонение, д – Bosch-травление, е – дебондинг, ж – химическая очистка.

На рабочую кремниевую пластину наносят адгезивный слой методом центрифугирования с определенной дозировкой материала, на стеклянную пластину-носитель таким же способом наносят антиадгезивный слой (рис. 2а). Далее слои адгезива и антиадгезива задубливаются в печке (рис. 2б). Измерение толщины слоев адгезивного и антиадгезивного материалов проводится на эллипсометре. В процессе бондинга (рис. 2в) пластины соединяются обращенными друг к другу слоями, после чего в установке для бондинга зажимаются верхней и нижней плитами с оказанием давления и нагревом до максимальной температуры 200°C (рис. 3 (II фаза)).
Рис. 3.
Операционные параметры температуры и давления базового процесса бондинга: 1 – температура нижней нагреваемой плиты (Tн), 2 – температура верхней нагреваемой плиты (Tв), 3 – базовое давление процесса бондинга (Pбаз). Графики разделены пунктирами на подготовительную фазу (I фаза), активную фазу бондинга (II фаза), фазу остывания пластин (III фаза).

В базовом рецепте зависимости температуры от времени для верхней и нижней плиты (Тв, Тн) различаются незначительно. Давление плит при стандартном рецепте прикладывается только во время активной фазы (II фаза) и составляет ~800 мбар (Pбаз). В случае бондинга пластины Si со стеклом по стандартному рецепту, предназначенному для соединения Si-пластин, результирующая сборка приобретает избыточный прогиб. Методы уменьшения прогиба сборки заключаются в увеличении скорости остывания плиты бондера, соприкасающейся со стеклом, а также в прикладывании дополнительного давления к соединенным пластинам на фазе их остывания. Контроль геометрии пластин проводится на оптическом профилометре по линиям a и b (рис. 4).
Контроль на наличие пустот между пластинами в сборке, а также контроль толщины проводятся методом просвечивающей ИК-микроскопии. Контроль толщины сборки или пластины проводится по линиям a и b (рис. 4).
Далее выполняют шлифовку и полировку рабочей пластины до достижения необходимой толщины (рис. 2г).
Наносится слой фоторезиста на Si-пластину, соединенную со стеклянным носителем. Затем проводится фотолитография на утоненной задней стороне рабочей пластины для формирования маски, совмещенной с топологией на передней стороне пластины благодаря переносу знаков (рис. 5). Процесс переноса знаков осуществляется следующим образом. Сканируются знаки совмещения на фотошаблоне, зафиксированном на одном месте; тем самым формируется цифровой образ их расположения. Далее путем прецизионного позиционирования пластины, расположенной над фотошаблоном, происходит совмещение знаков на пластине с цифровым образом знаков на фотошаблоне (рис. 5). В результате, когда соответствующие знаки на фотошаблоне и на пластине располагаются друг над другом, пластина фиксируется в текущем положении и проводится экспонирование фоторезиста на пластине через фотошаблон.
После этого проводят травление материала рабочей пластины до слоя адгезива для формирования отверстий (рис. 2д). Для создания в кремниевой утоненной пластине TSV с высоким аспектным соотношением применяется плазмохимическое травление. В течение плазмохимического травления используются два газа. Первый газ для травления SF6, второй – для пассивации C4F8. Воздействия травления и пассивации имеют длительность не более 100 мс и чередуются циклично. Скорость удаления материала кремния достигает 10 мкм/мин. Многократное чередование газов позволяет сформировать отверстие необходимой глубины с высоким аспектным соотношением.
Для достижения шероховатости боковых стенок отверстий менее 100 нм после глубокого реактивного ионного травления кремния применяются термическое окисление и газофазное травление в парах плавиковой кислоты (HF) с добавлением этанола (C2H6O) [14]. Измерение шероховатости боковых стенок отверстий для TSV проводится методом атомно-силовой микроскопии.
На следующем шаге разделяют пластины методом механического дебондинга (рис. 2е).
Сборка из двух пластин монтируется на стандартную рамку с монтажной пленкой, которая удерживается вакуумом на державке. В начале проведения операции дебондинга лезвие-активатор вводится в пространство между пластинами, инициируя разделение промежуточных слоев. Затем пластина-носитель, удерживаемая в контакте с гибкой пластиной с помощью вакуумной фиксации, плавно поднимается вместе с ней над удерживаемой статично рабочей пластиной с того края, куда помещено лезвие, с силой, рассчитанной с помощью разработанной программы [15]. Одновременно с этим по гибкой пластине прокатывается прижимной ролик с оказанием определенного давления, немного изгибая как гибкую пластину, так и пластину-носитель. Таким образом контролируется сила разделения пластин и обеспечивается возможность сохранения их в целости.
Данный метод дебондинга позволяет сохранить механическую целостность тонкой Si-пластины со сквозными отверстиями, так как сочетание механических свойств слоев клея и антиадгезива между пластинами позволяет отделять Si-пластину от пластины-носителя в направлении, перпендикулярном плоскости пластин. При этом во время утонения Si-пластины сохраняется целостность сборки при прикладывании шлифовальным диском внешнего воздействия параллельно плоскости пластин. Также тонкая Si-пластина во время дебондинга располагается на липкой монтажной пленке, поддерживающей ее механическую прочность.
В завершение тонкая Si-пластина проходит этап очистки от остатков адгезива (рис. 2ж). Для этого применяются D-лимонен в качестве растворителя клея и изопропиловый спирт (IPA) для удаления следов D-лимонена. Затем проводится обработка в деионизированной воде. После облучения монтажной пленки ультрафиолетом она теряет адгезию, и тонкая пластина безопасно отделяется от нее.
ЭКСПЕРИМЕНТАЛЬНАЯ ЧАСТЬ
Отработку следующих технологических операций проводили на пластинах диаметром 150 мм. Для склеивания (бондинга) пластин на рабочую Si-пластину наносили слой адгезива BrewerBond 305–30 толщиной 25 ± 0.5 мкм, а на стеклянную пластину-носитель – антиадгезивный материал BrewerBond 530 толщиной 0.2 ± 0.02 мкм, необходимый для механического разъединения (дебондинга) пластин. Сушку материалов BrewerBond проводили в печи с максимальной температурой нагрева 200°C (базовая температура задубливания адгезива и антиадгезива).
Для определения равномерности нанесения адгезива измеряли толщину нанесенных на пластины слоев адгезива и антиадгезива в 25 точках. С помощью программы MATLAB была рассчитана относительная погрешность воспроизведения равномерности слоев.
Толщина слоя адгезива BB305-30, нанесенного на рабочую пластину со скоростью вращения 1150 об./мин, составила 25 мкм. Вычисленная относительная погрешность толщины адгезионного слоя составляет 2.11%. Толщина антиадгезивного материала BB530, нанесенного на пластину-носитель со скоростью 2500 об./мин, составила 0.2 мкм. Вычисленная относительная погрешность равномерности слоя антиадгезива составляет 10.53%.
Si-пластина была соединена со стеклянной пластиной по технологии временного бондинга по стандартному рецепту [16], в котором остывают с одинаковой скоростью и отсутствует давление плит при остывании сборки. Фото сборки представлено на рис. 6.
Следующий шаг – контроль качества бондинга. Для этого с помощью метода просвечивающей ИК-микроскопии была построена карта пустот между пластинами. Светлые пятна на полученном изображении (рис. 7а) свидетельствуют о том, что в сборке присутствует небольшое количество пустот между пластинами. Рассчитанное количество пустот составило всего 0.81% от всей площади пластины.
Рис. 7.
Контроль количества пустот: а – карта пустот между пластинами, б – определение пустот с помощью программы ImageJ.

Далее провели измерение прогиба полученной сборки. Результирующий прогиб составил 140 мкм, что является достаточно большим значением для успешного проведения дальнейших технологических операций (таких как утонение, контактная фотолитография). Для оценки влияния на результирующий прогиб сборки фактора различия материалов соединяемых пластин был проведен эксперимент по бондингу двух одинаковых Si-пластин, не содержащих отверстий. Прогиб такой сборки после бондинга, проведенного по стандартному рецепту, не превышает 10 мкм [16].
Во время нагревания пластин стекло расширяется быстрее, чем Si, так как ТКЛР Si < ТКЛР стекла (рис. 8б). Из-за этого в финальной сборке после остывания возникает прогиб (рис. 8в). Увеличение разницы между скоростями остывания нижней и верхней плит бондера обеспечивает более быстрое остывание стекла (по сравнению с Si) и соответственно увеличивает скорость его обратной деформации (возвращения к исходным размерам). Это позволяет компенсировать изгибание сборки и уменьшает результирующий прогиб.
Рис. 8.
Схематичные изображения набора пластин во время бондинга: а – перед нагревом, б – нагрев пластин, в – образующийся прогиб сборки после остывания, г – ускоренное остывание стекла.

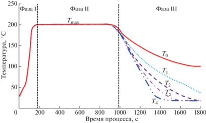
Был проведен ряд экспериментов по бондингу Si-пластин со стеклом c изменением скорости остывания нижней плиты, контактирующей со стеклом (рис. 9). При этом скорость остывания верхней плиты, контактирующей с Si-пластиной, оставалась стандартной (рис. 3, 2).
Рис. 9.
График изменения температуры нижней плиты во время бондинга: Tmax – температура в активной фазе, T0 – температура нижней плиты в фазе остывания по базовому рецепту, T1, T2, T3, T4 – температуры нижней плиты, соответствующие четырем экспериментам по изменению скорости ее остывания.

Базовая скорость остывания нижней плиты равна 10°С/мин. В четырех экспериментах скорость остывания нижней плиты V1 = 15, V2 = 20, V3 = 25, V4 = 30°С/мин.
При наибольшей выбранной скорости остывания нижней плиты, равной 30°С/мин, наименьший прогиб сборки составил 49 мкм (рис. 10, 4). Таким образом, минимальный прогиб сборки Si-пластины со стеклом был получен при самой большой разнице между скоростями остывания плит.
Рис. 10.
Рельеф четырех сборок, полученный при разных скоростях остывания нижней плиты: 1 – скорость остывания V1, 2 – V2, 3 – V3, 4 – V4.

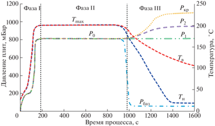
В исходном рецепте давление в начале фазы остывания нагреваемых плит (Pбаз) сразу уменьшается до минимальных значений (менее 60 мБар). Это означает, что в течение фазы остывания (фаза III) на сборку почти не оказывается давления. Таким образом, не вносятся компенсирующие механические напряжения, препятствующие возникновению прогиба. На основании этого было принято решение добавить в фазу остывания пластин дополнительное давление плит на сборку пластин для обеспечения дополнительной фиксации их положения и уменьшения результирующего прогиба (рис. 11).
Рис. 11.
Значение операционных параметров температуры и давления во время бондинга: P0 – давление во время активной фазы, Pбаз – базовое давление во время остывания нагреваемых плит, P1 = P0, P2 > P1, Pкр – критическое давление, после которого произошел разлом сборки, Tmax – максимальная температура активной фазы процесса, Tв – температура верхней плиты, Tн – температура нижней плиты.

Был проведен ряд экспериментов по бондингу Si–стекло с приложением дополнительного давления на фазе остывания пластин. Для проведения экспериментов по изменению параметра давления выбрана скорость остывания нижней плиты V4, равная 30°С/мин, обеспечивающая наименьший прогиб сборки.
Увеличение давления P0 во время активной фазы приводит к вытеканию адгезива через края пластины. Поэтому увеличение давления осуществляется только на фазе остывания плит, когда активная фаза полностью завершилась, а адгезив перешел в задубленное состояние. Увеличение давления во время фазы остывания проводилось в несколько шагов до значения Pкр. При достижении критического давления стеклянная пластина треснула. Поэтому увеличения давления выше Pкр не проводилось.
Результаты измерения рельефа сборок, сформированных при различных операционных параметрах давления бондинга, представлены на рис. 12.
Рис. 12.
Рельеф сборок, сформированных при различных операционных параметрах бондинга: 1 – прогиб сборки при Pбаз = 49 мкм, 2 – прогиб сборки по рецепту с P1 = 45 мкм, 3 – прогиб сборки при P2 = 34 мкм.

Утонение, включающее в себя стадии шлифовки и полировки, было выполнено до остаточной толщины рабочей пластины в 125 мкм. Прогиб сборки после утонения увеличился до 48 мкм. Эффект увеличения прогиба сборки объясняется внесением дефектов (механических напряжений) в материал Si при утонении. Кроме того, отношение разброса толщины Si-пластины к текущей толщине пластины возрастает в процессе утонения. Взаимосвязь указанного выше отношения и прогиба сборки заключается в возможности Si-пластины сопротивляться силам изгиба в системе Si/адгезив/антиадгезив/стекло. В целом тонкая пластина (по сравнению с толстой) обладает меньшей силой сопротивления к силам изгиба в данной системе.
Суммарная толщина сборки после утонения составляет 620 мкм. Структура сборки рабочей утоненной Si-пластины толщиной 125 мкм и стеклянной пластины-носителя толщиной 470 мкм показана на рис. 13.
Проведено измерение толщины сборки и толщины Si-пластины после утонения (рис. 4). Измерения проводили в двух направлениях: параллельном a базовому срезу пластины и перпендикулярном b (рис. 14, 15).
Общая толщина сборки по направлениям а и b составляет 620 ± 3 мкм, толщина тонкой пластины по направлениям a и b – 125 ± 1 мкм.
Вследствие уменьшения прогиба сборки кремния со стеклом открывается возможность применения контактной фотолитографии с переносом знаков совмещения. После точного позиционирования сборки пластин над фотошаблоном проводится экспонирование фоторезиста через фотошаблон, а затем стандартные процессы фотолитографии для формирования рисунка маски на утоненной стороне Si-пластины. Таким образом, посредством наблюдения знаков через стеклянную пластину было проведено совмещение рисунка на лицевой стороне утоненной рабочей пластины с формируемым рисунком на обратной стороне утоненной рабочей пластины (рис. 16).
Рис. 16.
Фотографии знаков, полученные на установке совмещения: а – на фотошаблоне, б – совмещение знаков на пластине со знаками на фотошаблоне.

Далее с помощью глубокого реактивного ионного травления кремния сформировали массив TSV-структур в утоненной рабочей пластине (рис. 17).
Рис. 17.
Схематичное изображение образования отверстий методом глубокого реактивного ионного травления кремния (Bosch-процесс).

После выполнения необходимых операций обработки рабочую пластину безопасно отделили от пластины-носителя посредством механического дебондинга.
Изображение одного массива сформированных в кремнии отверстий, полученное на растровом электронном микроскопе после резки пластины, показано на рис. 18. Глубина отверстий составляет 125 ± 1 мкм, диаметр – 3.45 ± 0.43 мкм.
После Bosch-травления значение параметра шероховатости (Ra) стенок TSV составляет 330 нм (рис. 19а). Для уменьшения показателя шероховатости боковой стенки TSV применяли термическое окисление с использованием газа SF6 с расходом 85 см3/мин и газа O2 с расходом 425 см3/мин в течение 10 мин. Далее сквозные отверстия травили в парах HF с добавлением C2H6O 60 с. Результат шероховатости после термического окисления и травления в HF составляет 8 нм (рис. 19б), что в 40 раз меньше по сравнению с исходным значением параметра Ra.
Рис.19.
Измерение шероховатости стенки TSV: а – после Bosch-травления, б – после Bosch-травления, термического оксиления и дополнительного травления в плавиковой кислоте.

С целью сравнения параметров сформированных отверстий с другими известными результатами был проведен анализ публикаций по этой теме. Сравнение размеров полученных отверстий с размерами отверстий иных исследователей, проведенное по оценке аспектного соотношения, отображено на рис. 20.
Как видно на рис. 20, размеры сквозных отверстий в массиве данных зарубежных исследователей находятся в пределах аспектного соотношения 1 : 24. Структуры, полученные в данной работе, имеют аспектное соотношение ~1 : 36, что является хорошим параметром отверстий для создания TSV-структур с точки зрения компоновки межсоединений.
ЗАКЛЮЧЕНИЕ
Подобраны операционные параметры бондинга стеклянной пластины-носителя с кремниевой рабочей пластиной, заключающиеся в увеличении разницы скоростей остывания стекла и кремния. Экспериментально определено наилучшее значение давления плит на набор пластин в течение фазы остывания, равное 900 мбар, позволяющее уменьшить прогиб сборки Si со стеклом до 34 мкм после бондинга и до 48 мкм после утонения с сохранением механической целостности пластин.
Продемонстрирована возможность переноса знаков совмещения с лицевой на обратную сторону тонкой пластины благодаря использованию стеклянной пластины-носителя и технологии временного бондинга.
В Si-пластине получен массив сквозных отверстий глубиной 125 ± 3 мкм и диаметром 3.45 ± ± 0.43 мкм. Достигнутый результат шероховатости поверхности после газофазного травления в парах плавиковой кислоты с добавлением этанола составляет 8 ± 1 нм. После бондинга и утонения площадь пустот между пластинами не превышает 1% от площади пластины. Разброс значений толщины Si-пластины после утонения составил не более 10 мкм. Размерные характеристики полученных отверстий находятся на одном уровне с современными мировыми результатами. Сформированные отверстия пригодны для создания металлизированных TSV-структур. Отработанную технологию временного бондинга можно применять как для трехмерной интеграции электронных компонентов по технологии TSV, так и для создания интерпозеров.
Работа выполнена при финансовой поддержке Министерства науки и высшего образования (соглашение № 075-15-2021-1350 от 05 октября 2021 г.) с использованием оборудования Центра коллективного пользования “Микросистемная техника и электронная компонентная база” МИЭТ.
Список литературы
Беспалов В.А., Гусев Е.Э., Дюжев Н.А. и др. // Нано- и микросистемная техника. 2022. Т. 24 (4). С. 167.
Apriyana A.A., Lim Y.D., Tan C.S. et al. // IEEE Photonics J. 2021. V. 13. № 4. P. 1. https://doi.org/10.1109/group4.2019.8853904
Тарасов С.В., Цоцорин А.Н., Семейкин И.В. и др. // Электроника и микроэлектроника СВЧ. 2018. Т. 1. С. 88.
Li Yan, Goyal Deepak // 3D Microelectronic Packaging From Architectures to Applications: From Architectures to Applications. Springer Nature, 2021. P. 49.
Munck K.D. // Generic building blocks for 3D integration and their application on hybrid CMOS image sensors. Diss. 2008.
Niklaus F., Stemme G., Lu J.-Q., Gutmann R. J. // J. Appl. Phys. 2006. V. 99 № 3. P. 10. https://doi.org/10.1063/1.2168512
Синев Л.С., Петров И.Д. // Стекло и керамика. 2016. Т. 73 (1). С. 35.
Дюжев Н.А., Махиборода М.А., Гусев Е.Э. // Нано- и микросистемная техника. 2017. Т. 19. № 1. С. 30.
Knickerbocker J.U., Andry P.S., Dang B. et al. // IBM J. Res. Dev. 2008. V. 52. № 6. P. 553.
Lu J.Q. // Proc. IEEE. 2009. V. 97. № 1. P. 18.
Koyanagi M., Fkushima T., Tanaka T. // Proc. IEEE. 2009. V. 97. № 1. P. 49.
Shen W.W., Chen K.N. // Nanoscale Res. Lett. 2017. V. 12. P. 2. https://doi.org/10.1186/s11671-017-1831-4
Killge S., Neumann V., Bartha J.W. // 3D Stacked Chips: From Emerging Processes to Heterogeneous Systems. 2016. P. 9. https://doi.org/10.1007/978-3-319-20481-9_2
Chaplygin Y.A., Fateev I. // 2020 IEEE Conference of Russian Young Researchers in Electrical and Electronic Engineering (EIConRus). IEEE. 2020. P. 2119.
Гусев Е.Э., Иванин П.С., Фомичёв М.Ю. и др. // Свидетельство о гос. регистрации программы для ЭВМ № 2021613847. 2021.
Fomichev M.Y., Makhiboroda M.A., Djuzhev N.A. et al. // 2021 IEEE Conference of Russian Young Researchers in Electrical and Electronic Engineering (ElConRus). IEEE. 2021. P. 2558. https://doi.org/10.1109/ElConRus51938.2021.9396080
Jourdain A., Schleicher A., Vos J. // 70th Electronic Components and Technology Conference. 2020. P. 42. https://doi.org/10.1109/ECTC32862.2020.00020
Murugesan M., Mori K., Kojima T., Hashimoto H. // 31st Annual SEMI Advanced Semiconductor Manufacturing Conference. 2020. P. 1. https://doi.org/10.1109/ASMC49169.2020.9185397
Dinh Q., Kondo K., Hirato T. // International 3D Systems Integration Conference. 2019. P. 1. https://doi.org/10.1109/3DIC48104.2019.9058846
Shen W.-W., Chen K.-N. // Nanoscale Res. Lett. 2017. V. 12. № 56. https://doi.org/10.1186/s11671-017-1831-4
Ko C.-T., Chen K.-N. // Microelectron. Reliab. 2013. V. 53. № 1. P. 7. https://doi.org/10.1016/j.microrel.2012.08.011
Dukovic J., Ramaswami S., Pamarthy S., Yalamanchili R. // IEEE International Memory Workshop. 2010. P. 1. https://doi.org/10.1109/IMW.2010.5488399
Bauer J., Fursenko O., Marschmeyer S., Heinrich F. // J. Vac. Sci. Technol. B. 2019. V. 37. № 6. https://doi.org/10.1116/1.5120617
Ham Y.-H., Kim D., Baek K.-H. // Electrochem. Solid-State Lett. 2011. V. 15. № 5. https://doi.org/10.1149/2.esl113678
Luo W., Zhang J., Li Y. et al. // J. Mater. Sci. Mater. Electron. 2016. V. https://doi.org/27. № 7. 10.1007/s10854-016-4723-y27
Zhang J., Ding Y., Wei W. et al. // Nucl. Instrum. Methods Phys. Res. 2020. V. 980. № 164425. https://doi.org/10.1016/j.nima.2020.164425
Gambino J., Doan T., Trapasso J. et al. // Proceedings – Electronic Components and Technology Conference. 2013. P. 221. https://doi.org/10.1109/ECTC.2013.6575575
Yan Y., Wang G., Su H. et al. // 21st International Conference on Electronic Packaging Technology. 2020. P. 1. https://doi.org/10.1109/ICEPT50128.2020.9202456
Дополнительные материалы отсутствуют.
Инструменты
Российские нанотехнологии











