Радиотехника и электроника, 2022, T. 67, № 2, стр. 140-148
Синтез двухзеркальной бифокальной цилиндрической системы с минимальными аберрациями
В. А. Калошин a, *, Ви Ут Нам b
a Институт радиотехники и электроники им. В.А. Котельникова РАН
125007 Москва, ул. Моховая, 11, стр. 7, Российская Федерация
b Московский физико-технический институт (национальный исследовательский университет)
141700 Долгопрудный, Московской обл., Институтский пер., 9, Российская Федерация
* E-mail: vak@cplire.ru
Поступила в редакцию 12.01.2021
После доработки 10.03.2021
Принята к публикации 17.03.2021
- EDN: DQRTEQ
- DOI: 10.31857/S003384942202005X
Аннотация
Развита методика синтеза цилиндрических двухзеркальных бифокальных систем с использованием последовательного нахождения участков зеркал и заданием начального участка вспомогательного зеркала в виде полинома второй и четвертой степени. Один из коэффициентов полиномов определен в результате решения найденного в работе уравнения, которое в общем случае обеспечивает непрерывность вторых производных функций,описывающих поверхности зеркал. Начальный участок главного зеркала найден в результате решения задачи синтеза плоского фронта для центрального положения источника. Определены параметры оптимизации с целью минимизации величины средне-квадратической аберрации при фиксированном расстоянии между зеркалами и угле зрения бифокальной системы. На плоскости этих параметров для углов зрения 50, 70 и 105 град найдены границы области существования решения задачи синтеза и приведены зависимости величины средне-квадратической аберрации от параметров, при этом показано, что ее минимум достигается на границе области существования решения и найден набор параметров, обеспечивающих этот минимум.
ВВЕДЕНИЕ
Бифокальные двухзеркальные системы позволяют расширить угол зрения по сравнению с однозеркальными и апланатическими двухзеркальными системами. В связи с этим синтезу бифокальных систем посвящено большое количество работ [1–14].
В работе [14] на основе известного подхода [1–6] развита методика точного решения задачи синтеза цилиндрических бифокальных двухзеркальных систем в приближении геометрической оптики. В рамках развитой методики осуществлен выбор начальных участков зеркал и обеспечена непрерывность функций, описывающих форму зеркал, и их производных. Непрерывность вторых производных этих функций, которая обеспечивает непрерывность отраженных полей в первом приближении геометрической оптики, была реализована приближенно. Форма начальных участков зеркал при этом задавалась в виде отрезков парабол, один из коэффициентов которых был найден путем численной минимизации скачка второй производной на границах соседних участков зеркал. При этом вопрос о том, обеспечивают ли найденные решения задачи синтеза двухзеркальной системы для заданного угла зрения минимальную среднеквадратическую аберрацию (СКА) остался открытым.
Цель данной работы – дальнейшее развитие методики синтеза и оптимизации цилиндрических бифокальных двухзеркальных систем с целью реализации минимальной СКА в заданном угле зрения. При этом в процессе синтеза задается начальный участок только одного из зеркал.
1. МЕТОДИКА СИНТЕЗА БИФОКАЛЬНОЙ ДВУХЗЕРКАЛЬНОЙ СИСТЕМЫ
Рассмотрим задачу синтеза цилиндрической бифокальной двухзеркальной системы, с одной стороны которой расположены два симметричных относительно оси y (рис. 1) фокуса (точки идеальной фокусировки F1 и F2) с декартовыми координатами (${{x}_{{{{F}_{1}}}}},{{y}_{{{{F}_{1}}}}}$) и (${{x}_{{{{F}_{2}}}}},{{y}_{{{{F}_{2}}}}}$). При положении источника цилиндрической волны в каждом из этих фокусов с другой стороны бифокальной системы формируются два симметричных относительно оси y плоских фронта.
Пусть форма вспомогательного (первого) и основного (второго) зеркала описываются неизвестными четными фунциями y1(x) и y2(x) соответственно, а функция y10(x), описываюшая начальный участок вспомогательного зеркала, задана, т.е. на интервале [–x0, x0] функция y1(x) = y10(x) известна. При этом поверхности первого и второго зеркал пересекают ось y в точках (0, b) и (0, 0) соответственно (рис. 1). Потребуем, чтобы лучи из источника, расположенного в точке F0 с координатами (0, –f0) после двух отражений от зеркал формировали плоский фронт y = h, где h – произвольная постоянная. При этом луч, идущий вдоль оси y, падает на первое зеркало в точке (0, b), отражается от него, падает на второе зеркало в точке (0, 0), снова отражается и снова идет вдоль оси y. Эйконал от источника до фронта этого (осевого) луча имеет вид
Пусть другой луч, выходящий из точки F0, падает на первое зеркало в точке P с координатами (xP, yP), отражается от него, падает на второе зеркало в точке Q с координатами (xQ, yQ) и отражается от него параллельно оси y. При этом его эйконал определяется формулой
(2)
$\begin{gathered} L = \sqrt {{{x}_{P}}^{2} + {{{({{y}_{P}} + {{f}_{0}})}}^{2}}} + PQ + \\ + \,\,h - {{y}_{P}} - PQ\cos ({{\alpha }_{{PQ}}}), \\ \end{gathered} $Потребуем, чтобы все лучи, выходящие из точки F после двух отражений от зеркал, были параллельно оси y и формировали плоский фронт на выходе системы. Для этого необходимо равенство эйконалов всех лучей (от источника до фронта). Потребуем, чтобы эйконалы всех лучей были равны эйконалу центрального луча:
(3)
$\begin{gathered} \sqrt {x_{P}^{2} + {{{({{y}_{P}} + {{f}_{0}})}}^{2}}} + PQ - {{y}_{P}} - \\ - \,\,PQ\cos ({{\alpha }_{{PQ}}}) = {{f}_{0}} + 2b. \\ \end{gathered} $Решение этого уравнения имеет вид
(4)
$PQ = \frac{{{{f}_{0}} + 2b + {{y}_{p}} - \sqrt {x_{P}^{2} + {{{({{y}_{P}} + {{f}_{0}})}}^{2}}} }}{{(1 - \cos ({{\alpha }_{{PQ}}}))}}.$Зная расстояние от точки P до точки Q и угол ${{\alpha }_{{PQ}}}$, нетрудно найти координаты точки Q:
(5)
$\begin{gathered} {{x}_{Q}} = {{x}_{P}} + PQ\sin ({{\alpha }_{{PQ}}}), \\ {{y}_{Q}} = {{y}_{P}} + PQ\cos ({{\alpha }_{{PQ}}}). \\ \end{gathered} $Множество точек Q образует начальный участок второго зеркала.
Для реализации на стыках начальных участков с соседними непрерывности функций, описывающих форму поверхности зеркал и их производных, необходимо, чтобы луч плоской волны, падающей на зеркало под углом к оси yпосле отражения в точке D попадал в точку A, а после отражения в точке A – в фокус F1. Из геометрии, представленной на рис. 2, нетрудно найти координаты этого фокуса, а также фокуса F2, учитывая, что он симметричен фокусу F1 относительно оси y:
(6)
$\begin{gathered} {{x}_{{{{F}_{1}}}}} = {{x}_{A}} - f\sin ({{\alpha }_{{A{{F}_{1}}}}}), \\ {{y}_{{{{F}_{1}}}}} = {{y}_{A}} - f\cos ({{\alpha }_{{A{{F}_{1}}}}}), \\ {{x}_{{{{F}_{2}}}}} = - {{x}_{{{{F}_{1}}}}};\,\,\,\,{{y}_{{{{F}_{2}}}}} = {{y}_{{{{F}_{1}}}}}, \\ \end{gathered} $где xA = –x0; yA = y(–x0); ${{\alpha }_{{A{{F}_{1}}}}} = $ $ = \operatorname{arctg} \left( {{{({{x}_{D}} - {{x}_{A}})} \mathord{\left/ {\vphantom {{({{x}_{D}} - {{x}_{A}})} {({{y}_{D}} - {{y}_{A}})}}} \right. \kern-0em} {({{y}_{D}} - {{y}_{A}})}}} \right)$ + $2~\operatorname{arctg} (y{\kern 1pt} '({{x}_{A}}))$ – угол между осью y и линией, соединяющей фокус F1 с краем (точка A) начального участка вспомогательного зеркала; $f$ – расстояние от края начального участка до фокуса.
Рассмотрим луч, который из фокуса F1 падает на первое зеркало в точке A, отражается и падает на второе зеркало в точке D. Из геометриина рис. 1 следует, что угол выхода луча из системы определяется формулой
где $y_{2}^{'}({{x}_{D}})$ – первая производная функции y2(x) в точке D.
Для определения нового участка второго зеркала предложим, что луч из фокуса ${{F}_{1}}$ падает на начальный участок первого зеркала, отражается от него в точке S с координатами (xS, yS), падает на второе зеркало в точке T с координатами (xT, yT) и отражается под углом $\delta $ (см. рис. 2). Отсюда получаем угол между осью y и падающим от точки ${{F}_{1}}$ в точку S лучом ${{\alpha }_{{{{F}_{1}}S}}} = {\text{arctg}}({{({{x}_{S}} - {{x}_{{{{F}_{1}}}}})} \mathord{\left/ {\vphantom {{({{x}_{S}} - {{x}_{{{{F}_{1}}}}})} {({{y}_{S}} - {{y}_{{{{F}_{1}}}}})}}} \right. \kern-0em} {({{y}_{S}} - {{y}_{{{{F}_{1}}}}})}})$ и угол ${{\alpha }_{{ST}}} = {{\alpha }_{{{{F}_{1}}S}}} - 2{{\gamma }_{S}}$ между осью y и лучом, отраженным от зеркала в точке S.
Для того чтобы двухзеркальная система формировала на выходе плоский фронт, необходимо равенство эйконалов всех лучей, которые выходят из фокуса ${{F}_{1}}$ и после отражения от зеркал идут параллельно (под углом $\delta $ к оси Y). Отсюда получаем уравнение
(8)
$\begin{gathered} ST + ({{x}_{D}} - {{x}_{S}} - ST\sin ({{\alpha }_{{ST}}}))\sin (\delta ) + \\ + \,\,({{y}_{D}} - {{y}_{S}} + ST\cos ({{\alpha }_{{ST}}}))\cos (\delta ) = \\ = {{f}_{0}} + {{l}_{0}} - \sqrt {{{{({{x}_{F}}_{{_{1}}} - {{x}_{S}})}}^{2}} + {{{({{y}_{F}}_{{_{1}}} - {{y}_{S}})}}^{2}},} \\ \end{gathered} $Решение этого уравнения имеет вид
(9)
$ST = \frac{{{{f}_{0}} + {{l}_{0}} - \sqrt {{{{({{x}_{S}} - {{x}_{{{{F}_{1}}}}})}}^{2}} + {{{({{y}_{S}} - {{y}_{{{{F}_{1}}}}})}}^{2}}} + ({{x}_{S}} - {{x}_{D}})\sin (\delta ) + ({{y}_{S}} - {{y}_{D}})\cos (\delta )}}{{(1 - \sin ({{\alpha }_{{ST}}})\sin (\delta ) + \cos ({{\alpha }_{{ST}}})\cos (\delta ))}}.$Зная длину ST и угол αST, можно определять координаты точки T по формулам
(10)
${{x}_{T}} = {{x}_{S}} + ST\sin ({{\alpha }_{{ST}}}),\,\,\,\,{{y}_{T}} = {{y}_{S}} - ST\cos ({{\alpha }_{{ST}}}).$Множество точек T образует новый участок второго зеркала. При этом функция y2(x) и ее первая производная также непрерывны на стыке начального участка второго зеркала с его новым (соседним) участком.
Для определения нового участка первого зеркала рассмотрим падение плоской волны на второе зеркало. Пусть луч, который падает на начальный участок второго зеркала в точке M с координатами (xM, yM) под углом δ к оси y, отражается от второго зеркала и падает на первое зеркало в точке N с координатами (xN, yN), снова отражается и проходит через фокус ${{F}_{2}}$ (см. рис. 2). Угол между осью y и отраженным лучом в точке М равен ${{\alpha }_{{MN}}} = \delta - 2{{\gamma }_{M}}$.
Приравнивая эйконалы лучей, отраженных от разных точек M зеркала, получим уравнение
(11)
$MN + \sqrt {{{{({{x}_{M}} + MN\sin ({{\alpha }_{{MN}}}) - {{x}_{{F2}}})}}^{2}} + {{{({{y}_{N}} + MN\cos ({{\alpha }_{{MN}}}) - {{y}_{{F2}}})}}^{2}}} - {{d}_{C}} - {{l}_{o}} - f + {{d}_{M}} = 0,$Решение этого уравнения имеет вид
(12)
$\begin{gathered} MN = \\ = \tfrac{{{{A}^{2}} - {{{({{y}_{M}} - {{y}_{{{{F}_{2}}}}})}}^{2}} - {{{({{x}_{M}} - {{x}_{{{{F}_{2}}}}})}}^{2}}}}{{2A + 2({{x}_{M}} - {{x}_{{{{F}_{2}}}}})\sin ({{\alpha }_{{MN}}}) + 2({{y}_{M}} - {{y}_{{{{F}_{2}}}}})\cos ({{\alpha }_{{MN}}})}}, \\ \end{gathered} $Зная расстояние MN и угол αMN, координаты точки N можно найти по формулам
(13)
$\begin{gathered} {{x}_{N}} = {{x}_{M}} + MN\sin ({{\alpha }_{{MN}}}), \\ {{y}_{N}} = {{y}_{M}} + MN\cos ({{\alpha }_{{MN}}}). \\ \end{gathered} $Множество точек N образует новый участок первого зеркала. При этом фунция y1(x) и ее первая производная непрерывны на стыке начального отрезка с новым.
Для обеспечения непрерывности амплитудного распределения отраженных волн в первом приближении геометрической оптики необходимо,чтобы вторые производные функций, описываюших поверхности зеркал, были непрерывными. Первая производная функции y1(x) в точке N имеет вид
(14)
$y_{N}^{'} = {\text{tg}}( - {{\gamma }_{N}}) = {\text{tg}}\left( {\frac{{{{\alpha }_{{MN}}} - {{\alpha }_{{F2}}}}}{2}} \right).$Так как координаты точки$N$определяются через координаты точки $M$, вторую производную второго отрезка первого зеркала в точке $N$ определяем дифференцированием его первой производной в точке N по координате ${{x}_{M}}$:
Для того чтобы вторая производная первого зеркала на стыках была непрерывной, значение второй производной первого участка в точке В должно равняться значению второй производной в точке N, когда точки M и C совпадают. Заменим xM на –x0 в выражении для второй производной (15) и приравняем его значению второй производной начального отрезка первого зеркала в точке B. В результате получим уравнение
где
– значения функции y1(x), ее первой и второй производной соответствено в точке B с координатами (x0, y0).
2. СИНТЕЗ И ОПТИМИЗАЦИЯ БИФОКАЛЬНЫХ ДВУХЗЕРКАЛЬНЫХ СИСТЕМ
Задача синтеза и оптимизации состоит в нахождении формы зеркал и фокальной кривой, обеспечивающие минимальную величину СКА эйконала на выходе двухзеркальной системы, которую будем определять по формуле
(17)
$\sigma = \frac{1}{D}\sqrt {\frac{1}{n}\sum\limits_{i = 1}^n {{{{({{L}_{i}} - {{L}_{0}})}}^{2}}} } ,$Зададим исходные параметры системы: расстояние между зеркалами b, полуразмер начального отрезка x0, расстояние f от конца начального отрезка до фокуса F1, расстояние p от первого зеркала до фокуса F0 начальной системы, и используем изложенный выше алгоритм синтеза бифокальной системы
с начальным отрезком первого зеркала в виде полинома второго порядка $y(x) = a{{x}^{2}} + b$ и четвертого $y(x) = {{a}_{4}}{{x}^{4}} + {{a}_{2}}{{x}^{2}} + b$. Один из коэффициентов полинома находим из условия непрерывности второй производной
функций, описывающих форму зеркал (16). В первом случае, подставляя ${{y}_{0}} = ax_{0}^{2} + b$;$y_{0}^{'} = 2a{{x}_{0}}$;
в уравнение (16), находим a. Во втором случае аналогично находим a4 при заданном значении a2, которое в данном случае является дополнительной степенью свободы для оптимизации.
Реализуя описанный выше алгоритм синтезирования отрезков зеркал m раз, находим форму зеркал, которые состоят из 2m + 1 отрезков.
Проведем анализ СКА двухзеркальной системы, синтезированной для фиксированного значения угла зрения в зависимости от ее параметров. Для вычисления СКА системы по формуле (17) необходимо найти эйконалы лучей, для определения которых, в свою очередь, необходимо знать направление фронта и величину эйконала ${{L}_{0}}$ опорного луча, относительно которого будет рассчитываться СКА. Если источник находится в фокусе, углы выхода всех лучей из системы одинаковы и определяются формулой (7). При смещенном положении источника углы выхода лучей будут разные. Найдем k таких лучей и выберем из них несколько опорных, проходящих вблизи центра двухзеркальной системы. По формуле (17) найдем СКА для каждого опорного луча с соответствующим (ортогональным) фронтом (рис. 3) и выберем из полученных величин СКА минимальное значение. Полученное приближенное значение СКА уточняем, меняя угол выхода опорного луча и находя минимум СКА.
Для определения фокальной кривой найдем геометрическое место положений источника (см. рис. 3), которые обеспечивают наименьшую величину СКА. Декартовые и полярные координаты источника связаны формулами xFj = $ = - {{R}_{j}}{\text{sin}}\left( {{{\theta }_{j}}} \right)$, ${{y}_{{Fj}}} = - {{R}_{j}}{\text{cos}}\left( {{{\theta }_{j}}} \right)$. Задача состоит в том, чтобы найти оптимальную функцию ${{R}_{j}}\left( {{{\theta }_{j}}} \right)$. Для 20 значений угла ${{\theta }_{j}}$ находим ${{R}_{j}}~~$с использованием стандартной численной процедуры нахождения минимума. Применяя сплайн-итерполяцию, находим функцию ${{R}_{j}}\left( {{{\theta }_{j}}} \right)$ и таким образом получаем фокальную кривую.
Проведем исследование зависимости величины СКА от параметров бифокальной системы. На рис. 4 представлены зависимости СКА от угла зрения системы c разным размером начального участка 2x0 в виде параболы, разными расстояниями между зеркалами b1 и разным числом синтезированных отрезков m. Видно, что СКА медленно уменьшается при увеличении x0. Это объясняется тем, что только система из начальных участков имеет фокус в точке F(0, –f0) на оси x. Новые синтезированные участки уже не обеспечивают точную фокусировку при положении источника в этой точке, их число при заданной апертуре системы увеличивается при уменьшении x0 и это, соответственно, приводит к увеличению СКА.
Рис. 4.
Зависимость СКА бифокальной двухзеркальной системы с начальным участком первого зеркала в виде параболы в зависимости от угла зрения при f = 0.6, p = 0.7 и разных значениях x0 и b1: кривая 1 – x0 = 0.026, b1 = 0.146; кривая 2 – x0 = 0.0455, b1 = = 0.2495, кривая 3 – x0 = 0.065, b1 = 0.355.

При увеличении числа синтезированных отрезков зеркал их края приближаются друг к другу. В результате зеркала либо пересекаются (рис. 5а), либо у них появляются точки возврата (рис. 5б). Параметры системы, при которых у зеркала при построении первого нового участка возникают точки возврата или решение задачи синтеза перестает существовать, будем называть критическими.
Рис. 5.
Геометрия бифокальной двухзеркальной системы с параметрами n = 1.6, b1 = 0.2, а) x0 = 0.006, f = 0.65, p = 0.77; б) x0 = 0.035, f = 0.72, p = 0.7479.

Далее исследуем СКА бифокальной системы в зависимости от параметров f и p = f0 + b для трех наборов фиксированных параметров: расстояния b между зеркалами и x0 (отношение b/x0 определяет угол зрения). Линии уровня СКА для трех наборов фиксированных параметров, соответствующих значениям угла зрения 50, 70 и 105 град в зависимости от параметров f и p, показаны на рис. 6а–6в. На рисунках видны границы областей существования решения, а также уменьшение величины СКА по мере приближения параметров системы к этим границам. При этом линии уровней СКА идут почти параллельно границе.
Рис. 6.
Линии уровня 106σ бифокальной зеркальной системы в зависимости от параметров p и f/p при b = 0.1 и разных углов зрения: а – угол зрения 50 град (x0= 0.0175, б – угол зрения 70 град (x0 = 0.028), в – угол зрения 105° (x0 = 0.042).

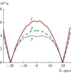
На рис. 7 представлены зависимости СКА от параметра p системы при движении вдоль границы (при критической величине f) для тех же трех наборов фиксированных параметров. Из рисунка видно, что зависимость СКА от p имеет колебательный характер, при этом для больших углов зрения средная величина СКА при уменьшении p уменьшается. Минимальные величины СКА для исследованного интервала (p < 2.5) и углов зрения 50, 70 и 105 град равны $8.0 \times {{10}^{{ - 6}}}$, $2.2 \times {{10}^{{ - 5}}}~$ и $4.1 \times {{10}^{{ - 5}}}$ соответственно.
Рис. 7.
Зависимости СКА бифокальной зеркальной системы для критических значений f от параметра p при b = 0.1: кривая 1 – угол зрения 50 град (x0 = = 0.0175), кривая 2 – угол зрения 70 град (x0 = 0.028), кривая 3 – угол зрения 105 град (x0 = 0.042).

На рис. 8 приведены зависимости СКА бифокальной двухзеркальной системы от угла зрения для трех оптимальных наборов параметров, которые соответствуют трем углам зрения 50, 70 и 105 град. Как видно из рисунка, при увеличении угла зрения примерно в два раза СКА увеличивается в пять раз. При этом полученные в результате минимальные величины СКА в 60 раз меньше СКА двухзеркальных бифокальных систем, синтезированных в работе [13], и близки к СКА трехфокальных систем [14, 15].
Рис. 8.
Зависимость СКА оптимальной бифокальной двухзеркальной системы от угла зрения: а – x0 = 0.0175, f = 1.695, p = 1.784; б – x0 = 0.028, f = 1.139, p = 1.287; в – x0 = 0.042, f = 1.793, p = 2.306.

Велчина апертуры D для разных наборов параметров получается разной. Для анализа полученных результатов удобно считать все величины относительно апертуры системы. Для этого достаточно умножить все геометрические размеры на множитель, равный обратной величине D. В результате для систем с D = 1 и углами зрения 50, 70 и 105 град величина p равна 1.30, 1.14 и 1.41, а растояние между зеркалами b равно соответственно 0.073, 0.089 и 0.061.
На рис. 9 показаны фокальные кривые синтезированных систем с оптимальными параметрами для углов зрения 50, 70 и 105 град. Видно, что с увеличением угла зрения в два раза угловой размер фокальной кривой увеличивается также в два раза, при этом фокальный размер меняется немонотонно, а различие между минимальным и максимальным размерами составляет 23%.
Рис. 9.
Фокальные кривые синтезированных двухзеркальных систем: кривая 1 – угол зрения 50 град (x0 = = 0.0175), кривая 2 – угол зрения 70 град (x0 = 0.028), кривая 3 – угол зрения 105 град (x0 = 0.042).

Дальнейшее исследование показало, что использование дополнительной степени свободы при задании формы первого участка вспомогательного зеркала в виде полинома четвертого порядка не приводит к дополнительному уменьшению СКА.
ЗАКЛЮЧЕНИЕ
На основе полученных результатов можно сделать следующие выводы.
1. Разработанная методика позволяет синтезировать и оптимизировать двухзеркальные бифокальные цилиндрические системы по минимуму СКА.
2. Синтезированные и оптимизированные в результате разработанной методики бифокальные двухзеркальные системы имеют СКА в десятки раз меньшие, чем известные.
3. Увеличение угла зрения в два раза приводит к увеличению СКА в пять раз, при этом различие между минимальным и максимальным продольным размером составляет 23%.
4. Задание формы начального участка вспомогательного зеркала в виде полинома четвертого порядка вместо полинома второго порядка и использование дополнительной степени свободы не приводит к дополнительному уменьшению СКА.
Список литературы
Кинбер Б.Е., Классен В.И., Стеблин В.И. // Волны и дифракция. М., 1981. С. 101.
Кинбер Б.Е., Классен В.И., Стеблин В.И. // РЭ. 1983. Т. 23. № 8. С. 1509.
Rappaport C.M. // IEEE Trans. 1984. V. AP-32. № 11. C. 1196.
Вааз И.Л., Кинбер Б.Е. // РЭ. 1986. Т. 31. № 8. С. 1507.
Классен В.И., Кинбер Б.Е., Шишлов А.В., Тоболев А.К. // Антенны. 1987. № 34. С. 324.
Бодулинский В.К. // Компьютерная оптика. 1987. № 1. С. 79.
Craig W.P., Rappaport C.M., Jeffrey S.M. // IEEE Trans. 1993. V. AP-41. № 11. P. 1481.
Shishlov A.V., Shitikov A.M. // Proc. 27 Sci. Conf. on Antenna Theory and Technology. Moscow. 1994. P. 227.
Pino A.G., Rappaport C.M., Rubinos J.O., Lorenzo M.E. // IEEE Trans. 1995. V. AP-43. № 10. P. 1022.
Lorenzo M.E., Rappaport C.M., Pino A.G. // Proc. IEEE APS Intern. Symp. 2001. V. 2. P. 284.
Pino A.G., Llombart N., Gonzalez V.B., Rubino L.O. // IEEE Trans. 2012. V. AP-60. № 9. P. 4119.
Plastikov A.N. // IEEE Trans. 2016. V. AP-64. № 7. P. 3251.
КалошинВ.А., Ле Д.Т. // Журн. радиоэлектроники. 2018. № 9. http://jre.cplire.ru/jre/sep18/13/text.pdf.
Калошин В.А., Нгием Х.Д., Фролова Е.В. // Журн. радиоэлектроники. 2018. № 1. http://jre.cplire.ru/ jre/jan18/3/text.pdf.
Калошин В.А., Ле Д.Т. // Журн. радиоэлектроники. 2020. № 4. http://jre.cplire.ru/jre/apr20/4/text.pdf.
Дополнительные материалы отсутствуют.
Инструменты
Радиотехника и электроника







