Успехи современной биологии, 2019, T. 139, № 4, стр. 391-401
О необходимости пересмотра категорий, используемых в Красной книге Российской Федерации и Красных книгах ее субъектов
М. В. Ушаков *
Воронежский государственный университет, Заповедник “Галичья гора”
Липецкая область, Россия
* E-mail: ushakov@dev-reserve.vsu.ru
Поступила в редакцию 02.12.2018
После доработки 28.02.2019
Принята к публикации 28.02.2019
Аннотация
Рассматриваются категории, используемые в Красных книгах РФ. Они архаичны и происходят от устаревших категорий Международного союза охраны природы (МСОП), которые существовали до начала 1990-х годов. Такие категории субъективны, и включение в них таксонов определяется лишь мнением оценщика. Субъективность российских категорий поддерживается также тем, что эти же категории определяют еще необходимость охраны таксонов. Это ведет к противоречиям при оценивании на уровне субъекта РФ таксонов, занесенных в Красную книгу РФ. Такие противоречия, как и другие ситуации, возникающие в субъекте РФ, решаются добавлением специальных категорий, которые не улучшают логическую конструкцию используемой шкалы риска. Современная система категорий МСОП – объективна, что является результатом применения количественных критериев для оценивания риска исчезновения таксона. Разработанная МСОП шкала категорий непротиворечива и отражает изменение вероятности исчезновения таксона. Для интеграции в мировую систему оценки угроз потребуется пересмотр существующей в РФ системы категорий. При этом необходимо будет отделить научную оценку риска исчезновения таксона от необходимости его охраны. Кроме того, Красная книга субъекта РФ должна содержать раздельные списки: видов, занесенных в Красную книгу РФ, и видов, находящихся под угрозой только на уровне субъекта РФ.
ВВЕДЕНИЕ
Категории угрозы исчезновения организмов являются той важной частью работы, ради которой и составляются Красные Списки и выпускаются Красные книги. К сожалению, коллективы, участвующие, например, в подготовке Красных книг субъектов РФ, часто воспринимают категории довольно формально. Чтобы это увидеть, достаточно сопоставить содержащуюся в очерках информацию (в том числе и картографическую) с самими категориями.
Хотя акцент статьи направлен на обсуждение систем категорий, применяемых в Красных книгах субъектов РФ, тем не менее, такое обсуждение невозможно без более широкого рассмотрения категорий, используемых в Красной книге РФ и Красных Списках МСОП. Эти показатели природоохранного статуса таксонов сильно переплетены друг с другом. При этом для понимания существующих в настоящее время категорий и связанных с ними проблем необходимо учитывать их историю.
КРАТКИЙ ИСТОРИЧЕСКИЙ ЭКСКУРС В ПРОБЛЕМУ КАТЕГОРИЙ ДЛЯ КРАСНЫХ КНИГ
Международная Красная книга была задумана Питером Скоттом в 1963 г. Она должна была перечислять виды по степени угрозы их будущему существованию (Scott et al., 1987). В первых томах, изданных в 1966–68 гг., было всего две категории: Endangered и Rare (Red.., 1966, 1968). В 1969 г. категории были пересмотрены и увеличены до четырех: Endangered, Rare, Depleted и Indeterminate (Munton, 1987). Во втором издании Красная книга МСОП (Red.., 1972) содержала уже пять вновь пересмотренных категорий, каждая из которых была отмечена соответствующим цветом: Endangered (E) Red Sheets, Vulnerable (V) Amber Sheets, Rare (R) White Sheets, Out of danger (O) Green Sheets и Indeterminate (I) Grey Sheets. Позже в разных изданиях добавлялись категории Extinct (Ex), Insufficiently known (K), Commercially Threatened (CT), Threatened Community (TC), Threatened Phenomenon (TP) (Munton, 1987).
Эти показатели природоохранного статуса до конца 1980-х гг. были субъективны и сохранялись до тех пор, пока решения о статусе таксона принимались ограниченным кругом экспертов. Необходимость широкого применения категорий потребовала пересмотра их содержательной части и получения логически связной шкалы с разработкой критериев включения в них таксонов и их популяций. Этому также способствовали работы, посвященные минимальной жизнеспособной популяции (Shaffer, 1981; Gilpin, Soulé, 1986; Viable…, 1987), которые определяли факторы и оценивали вероятность ее вымирания в течение определенного времени. В 1991 г. была предложена (Mace, Lande, 1991) новая концепция глобальных Категорий и Критериев, официально принятая МСОП как Версия 1.0. В последующие годы система дорабатывалась и в существующем виде была представлена Версией 3.1 в 2001 г. (IUCN.., 2001). Ее обновленная редакция была опубликована в 2012 г. (IUCN…, 2012). Система включает девять категорий (рис. 1). Особенность системы – наличие направления повышения риска вымирания таксона и его популяций при последовательном переходе от одной категории к другой, а также присвоение таксонам и их популяциям категорий от наибольшего оцениваемого риска к наименьшему. В этой концепции была определена группа категорий: Critically endangered (CR), Endangered (EN) и Vulnerable (VU), обозначенная как Threatened (Находящиеся под угрозой исчезновения), которая собственно и сосредоточивала внимание на тех таксонах и их популяциях, которым может грозить вымирание в ближайшем будущем (Mace, Lande, 1991; IUCN.., 2001, 2012). Для отнесения таксонов и их популяций к этим категориям были разработаны количественные критерии с пороговыми значениями, определяющие вероятность вымирания минимальной жизнеспособной популяции в течение заданного промежутка времени. Другие же категории, не входящие в эту группу, а также не относящиеся к вымершим организмам, содержат все остальные таксоны, которым не грозит опасность вымирания в ближайшее время и которые поэтому рассматриваются системой как вполне обычные и широко распространенные организмы.
Рис. 1.
Шкала категорий риска вымирания таксонов и их популяций МСОП на глобальном уровне (IUCN.., 2001, 2012): EX – Исчезнувшие, EW – Исчезнувшие в дикой природе, CR – Находящиеся в критическом состоянии, EN – Находящиеся в опасном состоянии, VU – Уязвимые, NT – Находящиеся в состоянии, близком к угрожаемому; LC – Вызывающие наименьшие опасения, DD – Недостаточно данных, NE – Не оцененные. Для рис. 1–5: Группа Threatened объединяет категории для таксонов и их популяций, которые находятся под угрозой исчезновения. Стрелка с переходом от белого к черному показывает направление повышения риска исчезновения таксонов и их популяций от низкого риска (белый цвет) до полного исчезновения (черный цвет). Знак “?” отмечает переходы между категориями, когда направление усиления риска исчезновения не определено или нарушено.

Потребность в использовании Категорий и Критериев МСОП на уровне государств и других крупных географических единиц привела к созданию системы коррекций глобальных критериев. В 2003 г. вышло руководство по двухуровневой системе коррекции (Guidelines.., 2003), а в 2012 г. – ее модификация в виде трех уровней коррекции (Guidelines.., 2012). Предложенная коррекция глобальных критериев учитывает устойчивость региональных популяций. Для регионального уровня МСОП использует логически связную шкалу из 11 категорий: к девяти категориям были добавлены еще две – Reginally Extinct (RE) и Not Applicable (NA). Эта шкала показана на рис. 2. В ней сохраняется группа категорий Threatened с количественными критериями для CR, EN и VU.
Рис. 2.
Шкала категорий риска вымирания таксонов и их популяций МСОП на национальном и региональном уровнях (Guidelines.., 2003, 2012): EX – Исчезнувшие, EW – Исчезнувшие в дикой природе, RE – Исчезнувшие в регионе; CR – Находящиеся в критическом состоянии, EN – Находящиеся в опасном состоянии, VU – Уязвимые, NT – Находящиеся в состоянии, близком к угрожаемому; LC – Вызывающие наименьшие опасения, DD – Недостаточно данных, NA – Не применимые; NE – Не оцененные.

ПРЕИМУЩЕСТВА И ОГРАНИЧЕНИЯ СОВРЕМЕННОЙ СИСТЕМЫ КАТЕГОРИЙ И КРИТЕРИЕВ МСОП
На настоящий момент система Категорий и Критериев МСОП (IUCN…, 2001, 2012; Guidelines.., 2003, 2012) – единственная принятая многими странами мира система научной оценки риска исчезновения таксона, количественно связывающая вероятность его вымирания с положением на шкале угроз. Характерной чертой этой системы является непротиворечивая шкала, на которой располагаются категории статуса в порядке увеличения вероятности вымирания популяции таксона. Для присвоения таксону одной из трех категорий (CR, EN или VU) из группы Threatened используются пять количественных критериев (A–E) с пороговыми значениями. При этом с определенной уверенностью таксон можно отнести даже к категории Near Threatened (NT), не относящейся к группе Threatened (Guidelines…, 2017). Таким образом, таксоны и их популяции могут быть вполне однозначно ранжированы по шкале угроз – от вымерших до тех, кому ничего не угрожает. Все это делает оценку риска исчезновения таксона объективной. На региональном уровне глобальные категории корректируются с учетом устойчивости региональной популяции и ее зависимости от внерегиональных популяций.
МСОП, приняв современные Категории и Критерии, создал универсальную систему, по логике которой оцениванию должны подвергнуться все живущие на планете таксоны. На сегодня оценено около 100 000 таксонов (The IUCN…, 2018), остальные попадают в категорию NE. Стоит цель до 2020 г. достигнуть показателя в 160 000 таксонов. Универсальность системы также заключается в том, что она должна быть применима для совершенно разных групп таксонов.
Тем не менее, к современной системе МСОП различными специалистами высказываются претензии, нередко связанные с применением критериев на региональном уровне. Например, существуют обвинения в таксономической предвзятости (Hallingbäck, 2007; Lozano et al., 2007; Cardoso et al., 2011), связанные с акцентом при разработке критериев на позвоночных животных. Также Красный Список сильно зависит от принятых в процессе оценивания субъективных решений (Eaton et al., 2005).
Однако применимость Категорий и Критериев МСОП главным образом связана с масштабом, для которого они разрабатывались. Глобальные Категории и Критерии (IUCN…, 2001, 2012) применимы только к мировой (глобальной) популяции. По определению МСОП (Guidelines…, 2003, 2012, 2017), это общее число особей таксона по всему ареалу распространения. На региональном и национальном уровнях выполняется оценивание части мировой популяции с последующей коррекцией глобальных Категорий (Guidelines…, 2003, 2012). Тут важно уточнение, что для МСОП регионы – это достаточно крупные географические территории: континенты, страны, государства или провинции (Guidelines…, 2003, 2012). При этом разработчики указывают (хотя и уклоняются от уточнения нижних границ) на существование минимального размера территории, меньше которой получаемые оценки становятся ненадежными (Guidelines…, 2003, 2012, 2017). Мы можем предложить определение понятия региона как территории, на которой существование и функционирование популяции определяется протекающими внутри- и межпопуляционными процессами, а не местными условиями среды. Минимальный размер такой территории, видимо, будет составлять несколько сотен тысяч квадратных километров. Поэтому географические и административные образования меньшей площади не подходят для применения Категорий и Критериев МСОП и не относятся к региональному уровню. Это важно понимать при рассмотрении Красных книг субъектов РФ далее в разделе “Проблемы российских систем категорий и предлагаемые решения”.
СИСТЕМЫ КАТЕГОРИЙ, ИСПОЛЬЗУЕМЫЕ В РФ
История категорий, используемых сегодня в Красной книге РФ, освещена в статье Д.В. Гельтмана (Гельтман, 2017) и вводной статье к недавно выпушенной книге “Редкие и находящиеся под угрозой исчезновения животные России” (Ильяшенко и др., 2018). Первое издание Красной книги СССР (1978) содержало всего две категории: А. Находящиеся под угрозой исчезновения; Б. Редкие. Их прототипами стали категории Endangered и Rare из первых Красных книг МСОП. Во втором издании Красная книга СССР (1984), а также Красная книга РСФСР (1983, 1988) содержат уже пять категорий, которые сохраняются почти в неизменном виде в публикуемых позже Красных книгах РФ (2001, 2008). Как отмечено (Гельтман, 2017), для ботанического тома Красной книги РСФСР (1988) категории статуса были переведены из актуальной тогда The IUCN plant red data book (1978). Возникшая в те годы в СССР система категорий оформлялась на основе категорий книг МСОП, изданных в 1970-е гг., и в целом им соответствовала. Некоторые разночтения в названиях и содержании природоохранного статуса между ботаническими и зоологическими республиканскими изданиями объясняются особенностями перевода, а также существованием частных различий в ходе эволюции систем категорий МСОП (Гельтман, 2017). В доступных в настоящее время на сайте IUCN Red List (http://oldredlist.iucnredlist.org/about/publication/historical-red-lists) Красных книгах МСОП начала 1980-х гг., например в The IUCN Mammal Red Data Book (1982), используется семь категорий: Extinct (Ex) – Исчезнувшие; Endangered (E) – Находящиеся в опасном состоянии; Vulnerable (V) – Уязвимые; Rare (R) – Редкие; Indeterminate (I) – Неопределенные; Out of danger (O) – Находящиеся вне опасности; Insufficiently known (K) – Недостаточно известные.
Очевидно, что эти категории и стали основой системы категорий, принятой в СССР и позже в РФ. Категория Endangered (E) в Красных книгах СССР и РФ стала Категорией 1 – Находящиеся под угрозой исчезновения. В результате неудачного перевода категории Vulnerable (V) появилась Категория 2 – Сокращающиеся в численности. Полученное название не отражает содержания категории и может вводить в заблуждение. Категория Rare (R) стала Категорией 3 – Редкие. Категория Indeterminate (I) в своем значении (а именно: таксон, который очевидно относится к категориям Endangered (E), Vulnerable (V) или Rare (R), но не имеет достаточных данных для их назначения) стала Категорией 4 – Неопределенные по статусу. В более поздних версиях категорий МСОП категория Indeterminate (I) ликвидируется. Существующая в современной системе МСОП категория Data Deficient (DD) имеет совершенно иное значение и не равнозначна категории Indeterminate (I). Предшественницей категории Data Deficient (DD), по-видимому, была категория Insufficiently known (K). Категория Out of danger (O) относится к таксону, ранее включенному в одну из категорий Endangered (E), Vulnerable (V), Rare (R) или Indeterminate (I), но в результате принятых природоохранных мероприятий находящемуся в относительной безопасности. Эта категория стала Категорией 5 – Восстанавливаемые и восстанавливающиеся. Однако в отличие от категории МСОП категория советской (и российской) версии стала относиться к таксонам, которые еще находятся под угрозой исчезновения, но уже приближаются к состоянию, когда не будут нуждаться в срочных мерах по сохранению и восстановлению. Сегодня в системе МСОП категория Out of danger (O) отсутствует.
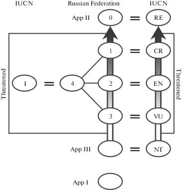
Зоологический том Красной книги РФ (2001) явился продуктом многочисленных дискуссий и согласований между федеральным центром и субъектами РФ, проходивших на протяжении 1990-х гг. (Ильяшенко и др., 2018). В результате часть таксонов была помещена в непредусмотренные ранее отдельные Приложения. На рис. 3 показана система категорий, использованная в Красных книгах РФ (2001, 2008). Так как в основе этой системы лежали категории из ранних Красных книг МСОП, то они унаследовали главную черту тех изданий – субъективность. Другими словами, категории количественно не связаны с вероятностью риска исчезновения таксона. Их назначение основано на экспертных заключениях.
Рис. 3.
Шкала категорий риска исчезновения таксонов и их популяций, принятых в Красной книге РФ (2001, 2008): 0 – Вероятно исчезнувшие, 1 – Находящиеся под угрозой исчезновения, 2 – Сокращающиеся в численности, 3 – Редкие, 4 – Неопределенные по статусу, 5 – Восстанавливаемые и восстанавливающиеся.
Приложения к Красной книге РФ (2001): App I – 1. Аннотированный перечень таксонов и популяций, исключенных из Красной книги РФ; App II – 2. Аннотированный перечень таксонов и популяций мировой фауны, исчезнувших в РФ; App III – 3. Аннотированный перечень таксонов и популяций, нуждающихся в особом внимании к их состоянию в природной среде.

В 1990-х гг. начинают выходить Красные книги субъектов РФ. За основу большинства из них была взята структура Красной книги РФ. Однако отсутствие у участников четкого понимания задачи издания и каких-либо критериев для составления списков угрожаемых таксонов привело к большому разнообразию концепций книг. Так, в литературе (Ильяшенко и др., 2018) отмечается, что анализ Красных книг субъектов РФ, изданных в период с 1990 г. по 2016 г., показал, что в них использовано 163 варианта определения статуса редкости и угрозы исчезновения объектов, отличающихся от установленных в Красной книге РСФСР (1983) и Красной книге РФ (2001). Автором статьи также был произведен небольшой анализ Красных книг, изданных за последние пять лет (с 2013 г. по 2018 г.). За указанный период вышел 41 том (Красная книга…, 2013–2018). В 17 томах (41.5%) в одной книге были объединены сведения о редких и исчезающих растениях, грибах, лишайниках и животных. Сведения о редких и исчезающих растениях, грибах, лишайниках содержатся в 27 томах (65.9%). В 31 томе (75.6%) приводятся сведения о редких и исчезающих животных. Таким образом, есть некоторое смещение в сторону бóльшего количества изданных зоологических разделов, которое, надеемся, не скажется на результатах статистики.
За пять последних лет в Красных книгах субъектов РФ было использовано 10 разных вариантов систем категорий. Вполне ожидаемо, что чаще всего, в 26 томах (63.4%), применялась система категорий, использованная в Красной книге РФ. Еще в четырех томах (9.8%) система категорий из Красной книги РФ была представлена переводом категорий МСОП Д.В. Гельтмана.
В 10 томах (24.4%) была предпринята попытка учесть в категориях особый статус организма. Часто к категориям из Красной книги РФ просто добавлялись категории, описывающие какую-то ситуацию с таксоном внутри субъекта РФ (рис. 4). Томов с такими категориями было издано 8 (19.5%). Добавление категории нередко было связано с таксоном, включенным в Красную книгу РФ, но не представляющимся угрожаемым на территории субъекта РФ, или случайно заходящим на территорию субъекта РФ. Эта ситуация возникает из-за того, что эксперты считают необходимым оценивать для субъекта РФ состояние таксона из Красной книги РФ. Другая ситуация, сопровождаемая появлением новых категорий, вызвана практической ролью Красной книги субъекта РФ, когда таксону, с одной стороны, не угрожает исчезновение в ближайшем будущем, но он обращает на себя внимание благодаря хозяйственной или научной ценности. Поэтому необходимость охраны такого таксона закладывается его помещением в Красную книгу в специальную категорию.
Рис. 4.
Применяемые в субъектах РФ шкалы категорий риска исчезновения таксонов и их популяций.
MR (Красная книга Мурманской области, 2014): 0 – Вероятно исчезнувшие в регионе, 1 – Находящиеся под угрозой исчезновения, исчезающие, 2 – Уязвимые, в том числе сокращающиеся, 3 – Редкие, находящиеся в состоянии, близком к угрожаемому, 4 – Неопределенные по статусу, 5 – Имеющие особый статус. NNR (Красная книга Нижегородской области, 2014): 0 – Виды, исчезнувшие на территории Нижегородской области, А – Виды, находящиеся под угрозой исчезновения, Б – Уязвимые виды, В – Редкие виды, Г – Виды, являющиеся редкими в результате действия естественных или антропогенных факторов, численность которых имеет тенденцию к росту, Д – Неопределенные виды, Е – Угрожаемые виды, Ж – Коммерчески угрожаемые виды, З – Виды или группы видов, для которых к занесению в Красную книгу и особой охране подлежат ключевые местообитания. OR (Красная книга Омской области, 2015): 0 – Вероятно исчезнувшие, 1 – Находящиеся под угрозой исчезновения, 2 – Сокращающиеся в численности, 3 – Редкие, 4 – Неопределенные по статусу, 5 – Восстановленные или восстанавливающиеся, 6 – Редкие залетные и заходящие, 7 – Коммерчески угрожаемые. RKh (Красная книга Республики Хакасия, 2014): 0 – Вероятно исчезнувшие, I – Находящиеся под угрозой исчезновения, II – Сокращающиеся в численности, III – Редкие, IV – Неопределенные по статусу, V – Восстанавливаемые и восстанавливающиеся, VI – Редкие расселяющиеся виды, VII – Редкие виды животных, занесенные в Красную книгу РФ, систематически отмечаемые на территории Республики Хакасия, характер пребывания которых не установлен. LRB (Рекомендованная Лабораторией Красной книги ФГБУ “ВНИИ Экология” (2003. Россия..., 2004) шкала категорий риска исчезновения таксонов и их популяций в субъектах РФ): 00 – Исчезнувшие, 0 – Вероятно исчезнувшие, 1 – Находящиеся под угрозой исчезновения, 2 – Сокращающиеся в численности, 3 – Редкие, 4 – Неопределенные по статусу; 5 – Восстанавливаемые и восстанавливающиеся, 6 – Редкие с нерегулярным пребыванием (отсутствует для растений и грибов), 7 – Вне опасности. TR (Красная книга Тульской области, 2013): 0 – Исчезнувшие, 1 – Исчезающие, 2 – Находящиеся под актуальной угрозой исчезновения, 3 – Находящиеся под угрозой исчезновения в отдаленной перспективе, 4 – Редкие, недостаточно изученные виды.

Особый интерес представляют четыре тома (9.8%), в которых были применены категории с количественными критериями. В Красной книге Новгородской области (2015), а также в двух томах Красной книги Краснодарского края (2017) использовались региональные категории МСОП (Guidelines…, 2003, 2012) с цитированием количественных критериев. В Красной книге Тульской области (2013) использовалась собственная система категорий с количественными критериями (рис. 4: TR). В отличие от остальных томов, в этих четырех книгах была предпринята попытка объективного оценивания риска угрозы исчезновения для таксонов, а использованные системы содержали вектор увеличения риска исчезновения таксонов.
Приведенный обзор показывает, что Красная книга национального11 уровня ожидаемо является некоторым стандартом для Красных книг уровня субъекта РФ. В силу этого Красные книги субъектов РФ просто копируют ту систему категорий, которая использовалась в Красной книге РФ. Субъективность присвоения этих категорий позволяет игнорировать в общем нетипичные для национального уровня ситуации, возникающие в субъектах РФ (например, с нерезидентными таксонами, неразмножающимися таксонами, с таксонами, имеющими сильно различающийся статус на разных уровнях и т.д.). В то же время многие субъекты РФ идут по пути “совершенствования” системы, следствием которого становится появление категорий, охватывающих разные ситуации с таксоном. И, наконец, обнаруживаются отдельные субъекты РФ, желающие получить обоснованный природоохранный статус, который отражал бы объективную картину состояния местной популяции таксона.
Во многих Красных книгах субъектов РФ системы категорий сопоставляются с современными категориями МСОП и используется их аббревиатура. Однако такое сопоставление некорректно, так как сопоставляются субъективные категории с объективными. Более того, содержание категорий двух систем значительно различается. К примеру, Категория 4 – Неопределенные по статусу часто обозначается как DD. В системе МСОП категория Data Deficient (DD) относится к таксону, для оценивания которого имеющихся данных недостаточно. Такими таксонами могут быть вполне обычные, многочисленные виды, часто имеющие немногочисленные данные для оценивания. И именно обычные (но не обязательно!) таксоны чаще будут иметь категорию DD. Поэтому правильным обозначением Категории 4 будет Indeterminate (I) из ранней системы категорий МСОП, которая, собственно, и относится к угрожаемым категориям.
ПРОБЛЕМЫ РОССИЙСКИХ СИСТЕМ КАТЕГОРИЙ И ПРЕДЛАГАЕМЫЕ РЕШЕНИЯ
В силу того, что первые Красные книги в СССР и России заимствовали системы категорий МСОП, развитие этого института на начальном этапе в целом происходило в общем тренде. Однако после 1990-х гг. произошло расхождение двух систем. И если разработчиками Категорий и Критериев МСОП была предложена их новая концепция, то Россия, как всегда, пошла своим собственным путем, остановившись на устаревших представлениях в области ранжирования и оценивания рисков исчезновения таксонов. Поэтому используемая в Красной книге РФ система категорий в ее текущем архаическом состоянии не может быть сопоставлена с современной системой категорий МСОП по двум причинам. Во-первых, как уже выше говорилось, она является субъективной, в то время как в современной системе МСОП используются объективные категории с количественными критериями. Во-вторых, разработчики современных категорий МСОП настойчиво подчеркивают, что главной целью системы является научная оценка риска исчезновения таксона, исключающая определение природоохранных приоритетов для него (Mace, Lande, 1991; IUCN…, 2001, 2012). Красная книга РФ в природоохранном статусе пытается совмещать и оценку риска исчезновения, и необходимость охраны таксона. Такое положение является следствием изначальной субъективности категорий, которая в свою очередь порождает субъективность в оценках риска. В планируемом новом издании Красной книги РФ предлагается сохранить субъективные категории, которые должны присваиваться как таксонам, находящимся под угрозой исчезновения, так и ценным в хозяйственном и научном отношении объектам животного мира (Ильяшенко и др., 2018). При этом субъективные категории обозначаются как “правовой статус”, так как он утверждается нормативными документами. Также предлагается применение природоохранного статуса МСОП, при этом его называют “категорией угрозы исчезновения объекта по международному стандарту МСОП”, и природоохранных приоритетов, которые почему-то приравниваются к природоохранному статусу (хотя природоохранный статус – это показатель угрозы исчезновения таксона, а природоохранный приоритет – это определение степени необходимости принятия мер по сохранению таксона).
В целях единства ранжирования таксонов по степени риска их исчезновения Красная книга РФ, как региональное издание, должна перейти на региональную систему категорий МСОП с необходимостью оценивания таксонов согласно Региональному Руководству МСОП (Guidelines…, 2003, 2012). Описан один вариант перехода (Гельтман, 2017). Он заключается в полной замене национальной системы категорий региональной системой МСОП. Однако следует учесть одно соображение. Как было показано выше, субъекты РФ при подготовке своих Красных книг ориентируются на национальное издание.
Для большинства субъектов РФ площадь их территорий составляет несколько десятков тысяч квадратных километров. На таких территориях появление или исчезновение подходящих биотопов определяется местными условиями среды, а для таксона это может носить критичный характер. Поэтому масштаб большинства субъектов РФ в понимании МСОП правильнее называть местным (local level), а не региональным. Ранее автор (Ушаков, 2016), подобно другим специалистам, допустил ошибку, относя субъект РФ к региональному уровню, и критиковал применение для него количественных критериев МСОП. Фактически в статье рассматривался местный уровень, на который не распространяется действие системы МСОП. Поэтому сделанные тогда выводы верны с учетом, что речь идет не о региональном уровне. В связи с этим повторю, что согласно концепции МСОП (то есть с точки зрения минимальной жизнеспособной популяции), применение количественных критериев для большинства субъектов РФ некорректно, поэтому для оценивания таксонов на этом уровне должны разрабатываться количественные критерии на другой основе (Ушаков, 2016).
Изложенные соображения говорят о том, что российская система категорий должна согласовываться с современной системой МСОП (Guidelines.., 2003, 2012), что позволит применять ее на национальном уровне, но также должна создать возможности для разработки количественных критериев оценивания таксонов в субъектах РФ. Главной чертой такой системы должна быть непротиворечивая шкала категорий, которой могут быть сопоставлены категории МСОП с количественными критериями. Существующая в Красной книге РФ (2001) система категорий с Приложениями после некоторой модификации может быть такой основой. Это второй вариант перехода к системе МСОП, учитывающий возможность разработки количественных критериев для уровня субъекта РФ.
Чтобы система категорий Красной книги РФ согласовывалась с современной системой МСОП, необходимо убрать Категорию 5 – Восстанавливаемые и Восстанавливающиеся. Эта категория нарушает логическую конструкцию шкалы, так как если вид восстановлен, то он не является угрожаемым, а для угрожаемого таксона вполне достаточно трех категорий из группы Threatened, а также Категории 4 – Неопределенные по статусу (I). На рис. 5 показана схема приведения национальной системы категорий в соответствие современной системе категорий МСОП. Категория 4 — Неопределенные по статусу (I) также нарушает логическую последовательность шкалы. Однако имеет смысл ее оставить, так как изученность многих оцениваемых таксонов в стране недостаточно хорошая, а в субъектах РФ эта ситуация значительно хуже. Исторически случайно появившиеся Приложения подходят для ранжирования таксонов, не относящихся к группе Threatened. Модернизированная система категорий для Красной книги РФ может быть представлена как:
Рис. 5.
Сопоставление модернизированной национальной системы категорий с системой категорий МСОП. Обозначения категорий см. рис. 1–3. I – Не определенные.

• Категория 1 – Находящиеся в критическом состоянии, CR.
• Категория 2 – Находящиеся в опасном состоянии, EN.
• Категория 3 – Уязвимые, VU.
• Категория 4 – Неопределенные по статусу, I.
• Приложение 1. Аннотированный перечень таксонов и популяций, исключенных из Красной книги РФ.
• Приложение 2. Аннотированный перечень таксонов и популяций растительного и животного мира, исчезнувших в РФ, RE.
• Приложение 3. Аннотированный перечень таксонов и популяций, нуждающихся в особом внимании к их состоянию в природной среде, NT.
Первые три категории входят в группу Threatened, и относимые к ним таксоны должны оцениваться с помощью количественных глобальных критериев МСОП (IUCN…, 2001, 2012; Guidelines…, 2017) с последующей коррекцией для регионального уровня (Guidelines…, 2003, 2012). Таксоны, включаемые в Приложение 3, также могут быть оценены с помощью количественных критериев МСОП (Guidelines…, 2017). Таксоны, попадающие в Категорию 4 – Неопределенные по статусу, I, по причине недостаточности данных не могут быть оценены по количественным критериям МСОП, но предполагается, что они могут быть отнесены к одной из трех категорий группы Threatened. Эта категория наиболее актуальна для уровня субъекта РФ.
В соответствии с требованиями МСОП (IUCN…, 2001, 2012) категории статуса должны приводиться вместе с критериями, по которым был оценен таксон. Пример такого цитирования для гипотетического таксона:
• Категория 2 – Находящиеся в опасном состоянии, EN° A1c; B1ab(ii); C2a(i).
Эта запись означает, что таксон в регионе на первом этапе в результате оценивания в соответствии с глобальными Категориями и Критериями МСОП (IUCN, 2012; Guidelines.., 2017) включен в Категорию 1 – Находящиеся в критическом состоянии, CR^ по критерию A1 как таксон с сократившимся более чем на 90% размером популяции за последние 10 лет в результате (c) уменьшения занимаемой площади (area of occupancy); по критерию B1 его пространство нахождения (extent of occurrence) оценивается менее чем в 100 км2, при этом (a) популяция сильно фрагментирована и (b(ii)) предполагается продолжающееся ухудшение (continuing decline) в занимаемой площади; по критерию C2 размер популяции оценивается меньше 250 половозрелых особей с продолжающимся снижением их количества, при этом (a(i)) нет субпопуляций, содержащих более 50 половозрелых особей. После коррекции на региональном уровне в соответствии с Руководством МСОП (Guidelines…, 2012) статус таксона был понижен на одну ступень (символ градуса ° рядом с аббревиатурой категории говорит об изменении первоначальной категории) – до Категории 2 – Находящиеся в опасном состоянии, EN.
Предлагаемый вариант, с одной стороны, приводит отечественную систему категорий в соответствие с современной системой МСОП, с другой стороны, позволяет ее использовать для разработки количественных критериев на уровне субъекта РФ; тем самым достигается единство с точки зрения ранжирования риска исчезновения таксонов на разных уровнях.
Субъект РФ часто сталкивается со случаями встреч особей таксонов в очень ограниченных или даже единичных количествах. Также существуют случайно заходящие или нерегулярно встречающиеся таксоны. Значительная часть приведенных таксонов оказывается занесенной в Красную книгу РФ, что вынуждает специалистов оценивать их на местном уровне. Это выливается в создание новых категорий, которые только ухудшают логическую конструкцию шкалы. На региональном уровне МСОП ситуация с таксонами, имеющими ограниченное количество особей, решается введением правила, которое исключает такие таксоны из оценивания (Guidelines…, 2003, 2012). Таким правилом, например, может быть приходящаяся на регион установленная доля мировой популяции, меньше которой таксон не оценивается и ему назначается категория Not Applicable (NA). Для субъекта РФ подобным правилом должно быть исключение из оценивания всех встречающихся в нем таксонов, занесенных в Красную книгу РФ. Все другие таксоны, имеющие очень ограниченное или единичное количество встреченных особей (за исключением случайно заходящих или нерегулярно встречающихся, которые не должны подлежать оцениванию), будут попадать в Категорию 1 – Находящиеся в критическом состоянии, CR. Предлагаемое правило поможет избавиться от усложнения систем категорий для субъекта РФ и сохранить логическую структуру местной шкалы угроз. Это правило приводит к необходимости разделения списков таксонов, встречающихся на территории субъекта РФ и занесенных в Красную книгу РФ, и таксонов, оцененных на уровне субъекта РФ. Кроме того, такое разделение будет исключать возможность двусмысленного положения таксонов из Красной книги РФ на уровне субъекта РФ, которое задается нормативными документами, определяющими охрану таксонов и на уровне РФ, и на уровне ее субъекта (Ушаков, 2016). Поэтому оптимальная структура Красной книги субъекта РФ может выглядеть так:
I. Список таксонов и популяций, занесенных в Красную книгу РФ, региональные популяции которых встречаются на территории субъекта РФ. Используются те категории природоохранного статуса, которые приняты в Красной книге РФ.
II. Список таксонов и популяций, занесенных в Красную книгу субъекта РФ по следующим категориям природоохранного статуса22:
Категория 1 – Находящиеся в критическом состоянии, CR.
Категория 2 – Находящиеся в опасном состоянии, EN.
Категория 3 – Уязвимые, VU.
Категория 4 – Неопределенные по статусу, I.
Приложение 1. Аннотированный перечень таксонов и популяций, исключенных из Красной книги субъекта РФ.
Приложение 2. Аннотированный перечень таксонов и популяций, исчезнувших в субъекте РФ, LE33.
Приложение 3. Аннотированный перечень таксонов и популяций субъекта РФ, нуждающихся в особом внимании к их состоянию в природной среде, NT.
ЗАКЛЮЧЕНИЕ
Используемые системы категорий в Красных книгах РФ и ее субъектов исторически происходят от устаревших субъективных категорий МСОП, которые были распространены в международных Красных книгах до начала 1990-х гг. Они унаследовали архаические свойства тех категорий и на нынешнем этапе являются препятствием их интеграции в современную международную систему. И хотя желание сопоставить российские категории с существующими в настоящее время категориями МСОП встречается достаточно часто, такое сопоставление является некорректным. Субъективность российских категорий делает возможным совмещение оценки риска исчезновения таксона с необходимостью его охраны. Однако такое совмещение приводит к тому, что устанавливаемый статус уже не представляет собой оценку риска исчезновения таксона, а по большей части является некоей умозрительной природоохранной важностью с точки зрения эксперта.
Современные категории МСОП объективны. Эту объективность им обеспечивают количественные критерии, которые и позволяют оценить степень риска исчезновения таксона. В РФ запрос на объективные категории пока еще не сформирован. Есть лишь отдельные попытки. Однако переход на объективные категории – лишь дело времени. Такой переход необходим, чтобы российская система природоохранного статуса стала частью мировой системы. И очевидно, что переход потребует подготовки Красной книги на основе научной оценки риска исчезновения таксонов и формирования списка таксонов, нуждающихся в охране в соответствии с определяемыми приоритетами. Такие книги с природоохранным статусом и списки с природоохранными приоритетами должны утверждаться отдельно. Также для субъекта РФ необходимо разделение перечней охраняемых таксонов на два непересекающихся списка: таксонов субъекта РФ, занесенных в Красную книгу РФ, и таксонов, являющихся угрожаемыми на уровне субъекта РФ. Такое разделение списков, с одной стороны, снимет необходимость оценивать на уровне субъекта РФ таксоны, занесенные в Красную книгу РФ, с другой стороны, даст возможность получить непротиворечивую шкалу категорий, позволяющую разрабатывать количественные критерии для таксонов уровня субъекта РФ, который в значительной мере является местным, а не региональным, в понимании МСОП.
Список литературы
Россия. Красный список особо охраняемых редких и находящихся под угрозой исчезновения животных и растений. (2-й выпуск). Часть 1. Позвоночные животные. М.: Лаборатория Красной книги ВНИИ Экология, 2004. 304 с.
Гельтман Д.В. Категории статуса редкости в Красных книгах // Бот. журн. 2017. Т. 102. № 7. С. 875–888.
Ильяшенко В.Ю., Шаталкин А.И., Куваев А.В. и др. Редкие и находящиеся под угрозой исчезновения животные России. Материалы к Красной книге Российской Федерации. М.: КМК, 2018. 112 с.
Красная книга Алтайского края. Т. 1. Редкие и находящиеся под угрозой исчезновения виды растений и грибов. Барнаул: АлтГУ, 2016. 292 с.
Красная книга Алтайского края. Т. 2. Редкие и находящиеся под угрозой исчезновения виды животных. Барнаул: АлтГУ, 2016. 312 с.
Красная книга Астраханской области. Астрахань: АГУ, 2014. 413 с.
Красная книга Брянской области. Брянск: РИО БГУ, 2016. 432 с.
Красная книга Волгоградской области. Т. 1. Животные. Воронеж: Издат-Принт, 2017. 216 с.
Красная книга Волгоградской области. Т. 2. Растения и другие организмы. Воронеж: Издат-Принт, 2017. 268 с.
Красная книга Еврейской автономной области: редкие и находящиеся под угрозой исчезновения виды животных: (рыбы, рептилии, птицы, млекопитающие). Биробиджан: ИКАРП ДВО РАН, 2014. 182 с.
Красная книга Забайкальского края. Растения. Новосибирск: Дом мира, 2017. 384 с.
Красная книга Калужской области. Т. 1. Растительный мир. Калуга: Ваш Домъ, 2015. 536 с.
Красная книга Калужской области. Т. 2. Животный мир. Калуга: Ваш Домъ, 2017. 406 с.
Красная книга Карачаево-Черкесской Республики. Черкесск: Нартиздат, 2013. 360 с.
Красная книга Кировской области: животные, растения, грибы. Киров: Кировская областная типография, 2014. 335 с.
Красная книга Краснодарского края. Животные. Краснодар: Администрация Краснодарского края, 2017. 720 с.
Красная книга Краснодарского края. Растения и грибы. Краснодар: Министерство природных ресурсов Краснодарского края, 2017. 720 с.
Красная книга Липецкой области. Т. 1. Растения, грибы, лишайники. Липецк: Веда социум, 2014. 696 с.
Красная книга Липецкой области. Т. 2. Животные. Липецк: Веда социум, 2014. 484 с.
Красная книга Мурманской области. Кемерово: Азия-принт, 2014. 584 с.
Красная книга Нижегородской области. Т. 1. Животные. Нижний Новгород: ДЕКОМ, 2014. 448 с.
Красная книга Новгородской области. СПб: Дитон, 2015. 480 с.
Красная книга Омской области. Омск: ОмГПУ, 2015. 636 с.
Красная книга Пензенской области. Т. 1. Грибы, лишайники, мхи, сосудистые растения. Пенза: Правительство Пензенской области, 2013. 300 с.
Красная книга Псковской области. Псков: Управление Росприроднадзора по Псковской области, 2014. 544 с.
Красная книга Республики Алтай (животные). Горно-Алтайск: ГАГУ, 2017. 368 с.
Красная книга Республики Алтай (растения). Горно-Алтайск: ГАГУ, 2017. 267 с.
Красная книга Республики Башкортостан. Т. 2. Животные. Уфа: Информреклама, 2014. 244 с.
Красная книга Республики Бурятия: Редкие и находящиеся под угрозой виды животных, растений и грибов. Улан-Удэ: БНЦ СО РАН, 2013. 688 с.
Красная книга Республики Калмыкия. Т. 1. Животные. Элиста: Джангар, 2013. 200 с.
Красная книга Республики Калмыкия. Т. 2. Редкие и находящиеся под угрозой исчезновения растения и грибы. Элиста: Джангар, 2014. 199 с.
Красная книга Республики Марий Эл. Растения. Грибы. Йошкар-Ола: МарГУ, 2013. 324 с.
Красная книга Республики Марий Эл. Животные. Йошкар-Ола: МарГУ, 2015. 256 с.
Красная книга Республики Татарстан: животные, растения, грибы. Казань: Идеал-пресс, 2016. 759 с.
Красная книга Республики Тыва (животные, растения и грибы). Кызыл: Фаворит, 2018. 564 с.
Красная книга Республики Хакасия: Редкие и находящиеся под угрозой исчезновения виды животных. Красноярск, Абакан: СФУ, 2014. 354 с.
Красная книга Российской Федерации (животные). М.: АСТ, 2001. 864 с.
Красная книга Российской Федерации (растения и грибы). М.: КМК, 2008. 855 с.
Красная книга Ростовской области. Т. 1. Животные. Р. н/Д.: Минприроды Ростовской обл., 2014. 280 с.
Красная книга Ростовской области. Т. 2. Растения и грибы. Р. н/Д.: Минприроды Ростовской области, 2014. 344 с.
Красная книга РСФСР (животные). М.: Россельхозиздат, 1983. 454 с.
Красная книга РСФСР (растения). М.: Росагропромиздат, 1988. 592 с.
Красная книга Сахалинской области: Животные. М.: Буки Веди, 2016. 252 с.
Красная книга СССР. Редкие и находящиеся под угрозой исчезновения виды животных и растений. М.: Лесная промышленность, 1978. 460 с.
Красная книга СССР: Редкие и находящиеся под угрозой исчезновения виды животных и растений. М.: Лесная промышленность, 1984. Т. 1. 392 с.; Т. 2. 480 с.
Красная книга Тверской области. Тверь: ТГУ, 2013. 376 с.
Красная книга Тульской области. Животные. Воронеж: Кварта, 2013. 416 с.
Красная книга Ульяновской области. М.: Буки Веди, 2015. 550 с.
Красная книга Ханты-Мансийского автономного округа – Югры. Животные, растения, грибы. Екатеринбург: Баско, 2013. 460 с.
Красная книга Ярославской области. Ярославль: Академия 76, 2015. 472 с.
Ушаков М.В. Теоретические аспекты региональной Красной книги // Бюл. Моск. общ. испыт. природы. Отд. биол. 2016. Т. 121. Вып. 6. С. 46–55.
Cardoso P., Borges P.A., Triantis K.A. et al. Adapting the IUCN Red List criteria for invertebrates // Biol. Conserv. 2011. V. 144. № 10. P. 2432–2440.
https://doi.org/10.1016/j.biocon.2011.06.020
Eaton M.A., Gregory R.D., Noble D.G. et al. Regional IUCN red listing: the process as applied to birds in the United Kingdom // Conserv. Biol. 2005. V. 19. № 5. P. 1557–1570. https://doi.org/10.1111/j.1523-1739.2005.00213.x
Gilpin M.E., Soulé M.E. Minimum viable populations: processes of species extinction // Conservation biology: the science of scarcity and diversity. Sunderland: Sinauer Associates, Inc., 1986. P. 19–34.
Guidelines for application of IUCN Red List criteria at regional levels: Version 3.0. IUCN species survival commission. Gland, Cambridge: IUCN, 2003. ii + 26 p.
Guidelines for application of IUCN Red List criteria at regional and national levels: Version 4.0. Gland, Cambridge: IUCN, 2012. iii + 41 p.
Guidelines for using the IUCN Red List categories and criteria. Version 13. IUCN standards and petitions Subcommittee. 2017. 108 p. http://www.iucnredlist.org.
Hallingbäck T. Working with Swedish cryptogam conservation // Biol. Conserv. 2007. V. 135. № 3. P. 334–340.
https://doi.org/10.1016/j.biocon.2006.10.020
IUCN Red List Categories and Criteria: Version 3.1 – IUCN species survival commission. Gland, Cambridge: IUCN, 2001. ii + 30 p.
IUCN Red List Categories and Criteria: Version 3.1. Second edition. Gland, Cambridge: IUCN, 2012. iv + 32 p.
Lozano F.D., Saiz J.C.M., Ollero H.S., Schwartz M.W. Effects of dynamic taxonomy on rare species and conservation listing: insights from the Iberian vascular flora // Biodiv. conserv. 2007. V. 16. № 14. P. 4039–4050. https://doi.org/10.1007/s10531-007-9206-2
Mace G.M., Lande R. Assessing extinction threats: toward a reevaluation of IUCN threatened species categories // Conservation biology. 1991. V. 5. № 2. P. 148–157.
https://doi.org/10.1111/j.1523-1739.1991.tb00119.x
Munton P. Concepts of threat to the survival of species used in Red Data Books and similar compilations // The road to extinction: problems of categorizing the status of taxa threatened with extinction. Gland, Cambridge: IUCN, 1987. P. 72–95.
Red data book. V. 1. Mammalia. Morges: IUCN, 1966.
Red data book. V. 2. Aves. Morges: IUCN, 1966.
Red data book. V. 3. Amphibia and Reptilia. Morges: IUCN, 1968.
Red data book. V. 1. Mammalia. Morges: IUCN, 1972.
Scott P., Burton J.A., Fitter R. Red Data Books: the historical background // The road to extinction: problems of categorizing the status of taxa threatened with extinction. Gland, Cambridge: IUCN, 1987. P. 1–5.
Shaffer M.L. Minimum population sizes for species conservation // BioScience. 1981. V. 31. № 2. P. 131–134. https://doi.org/10.2307/1308256
The IUCN Plant Red Data Book: comprising red data sheets on 250 selected plants threatened on a world scale. Morges: IUCN, 1978. 540 p.
The IUCN Mammal Red Data Book. Part 1. Threatened mammalian taxa of the Americas and the Australasian zoogeographic region (excluding Cetacea). Gland, Cambridge: IUCN, 1982. 516 p.
The IUCN Red List of threatened species. Version 2018-2. http://www.iucnredlist.org.
Viable populations for conservation. Cambridge: Cambridge Univ. Press, 1987. 189 p.
Дополнительные материалы отсутствуют.
Инструменты
Успехи современной биологии


