Химия высоких энергий, 2023, T. 57, № 4, стр. 341-346
Получение низкомолекулярных органических компонентов методом микроволнового пиролиза торфа
А. Б. Алыева b, С. А. Ананичева a, b, *, М. Ю. Глявин b, А. Н. Денисенко b, С. В. Зеленцов a, Т. О. Крапивницкая b, **, Н. Ю. Песков a, b, А. А. Сачкова a
a Национальный исследовательский Нижегородский государственный университет им. Н.И. Лобачевского
603022 Нижний Новгород, пр. Гагарина, 23, Россия
b Институт прикладной физики РАН
603155 Нижний Новгород, ул. Ульянова, 46, Россия
* E-mail: bulanovasvetlana@list.ru
** E-mail: kto@ipfran.ru
Поступила в редакцию 27.12.2022
После доработки 14.03.2023
Принята к публикации 15.03.2023
- EDN: QMPPCV
- DOI: 10.31857/S0023119323040034
Аннотация
Разработана установка для проведения экспериментов по микроволновому (МВ) пиролизу торфа на рабочей частоте источника 2.45 ГГц. Проведены экспериментальные исследования МВ-пиролиза торфа для получения из него низкомолекулярных органических компонентов. Определены продукты разложения торфа под воздействием МВ излучения, и предложены схемы деструкции компонентов торфа. Получен углеродистый остаток с относительным содержанием углерода 83–85 мас. %, водорода 4–5 мас. %, азота 2–3 мас. %, серы менее 0.3 мас. %.
ВВЕДЕНИЕ
Ценным ресурсом, обширными запасами которого обладает Российская Федерация (порядка 234 млрд тонн), является торф [1]. Его добыча и высокотехнологичная переработка позволяет решить экологические и ресурсосберегающие проблемы.
В настоящее время основным методом переработки торфа является пиролиз. Работа установок основана при этом на нагреве от стенок реактора к объекту (печи, котлы) и распространения в объеме путем конвекции и теплопередачи [2]. Пиролиз с помощью нагрева сырья МВ излучением имеет ряд принципиальных отличий от стандартного метода. Возникает градиент температуры внутри объекта, страдает качество пиролиза. Получение продуктов пиролиза стабильного качества (что является важным фактором для химической промышленности) с использованием стандартного пиролиза представляется затруднительным. Пиролиз при воздействии МВ в отличие от нагрева за счет передачи тепла от стенок реактора к образцу обеспечивает однородность нагрева по всему объему, большую эффективность передачи тепла, а также свободен от локальных перегревов около стенок реактора. Таким образом, необходимо провести сравнение плазмохимических превращений при стандартном нагреве и при помощи МВ-излучения для исследования эффективности процессов.
Целью настоящей работы являлось исследование особенностей МВ-пиролиза верхового сфагнового торфа и анализ полученных продуктов.
МЕТОДИКА ЭКСПЕРИМЕНТА
Пиролиз торфа осуществлялся посредством разработанного нами МВ-комплекса, предназначенного для переработки каустобиолитов, в частности, торфа [3].
МВ-комплекс осуществляет работу следующим образом. Торф (масса до 5 кг) загружается в МВ-реактор для пиролиза, и затем реактор вакуумируется. МВ-излучение от магнетрона поступает внутрь реактора. При нагреве торфа начинается разложение веществ, входящих в его состав. Посредством системы откачки летучие продукты удаляются из реактора и конденсируются в системе первичного фракционирования и в поглотителе Рихтера, охлаждаемого жидким азотом. Твердая фракция выгружается после окончания процесса (30 мин). В табл. 1 приведены параметры типичного эксперимента.
Таблица 1.
Параметры типичного эксперимента
| Параметр | Величина |
|---|---|
| Частота МВ-излучения, ГГц | 2.45 |
| Средняя мощность источника, Вт | 900 |
| Время эксперимента, мин | 30 |
| Масса сухого торфа, г | 300 |
| Максимальная температура нагрева, °C | 250 |
| Давление, атм | 0.1 |
Собирались жидкие, газообразные и твердые продукты. Качественная идентификация продуктов фракции проводилась при помощи хромато-масс-спектрометра Solutionver. 4.11 GC-MS (фирма Shimadzu) с использованием базы данных NIST 11 по методике, изложенной в [4]. Анализ полученных твердых продуктов проходил при помощи элементного анализатора Vario El Cube для одновременного определения углерода, водорода, серы и азота.
РЕЗУЛЬТАТЫ И ОБСУЖДЕНИЯ
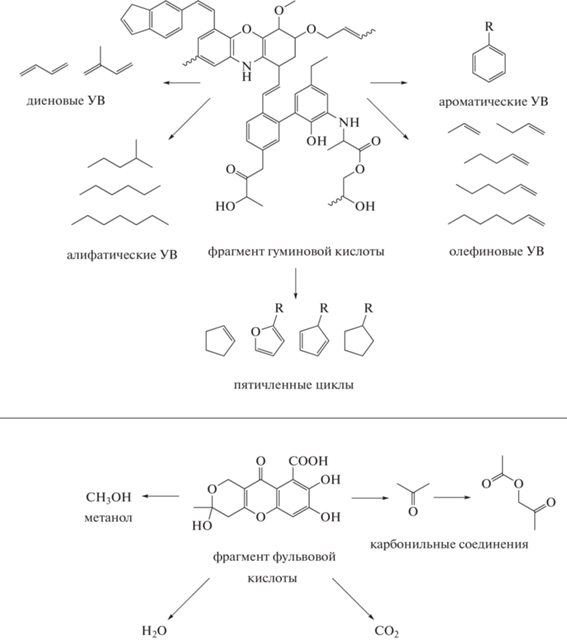
Торф состоит из нескольких групп химических соединений, таких как лигнин, гуминовые и фульвовые кислоты, целлюлоза. Рассмотрим предполагаемые пути термолиза соединений из этих групп. Ввиду высокого содержания кислорода, для гуминовых кислот в ходе пиролиза возможно формирование продуктов окисления, даже в анаэробных условиях. В опубликованных ранее статьях [4–6] рассматриваются основные процессы, протекающие при пиролизе гуминовых кислот. Предполагаемая схема пиролиза и идентифицированные продукты представлены на рис. 1.
Как отмечают авторы [7, 8], изначально при нагревании гуминовых кислот идет потеря адсорбированной воды, при нагреве же выше 200°C происходит деструкция алифатических фрагментов с формированием малых органических молекул, а при 250–300°C – декарбоксилирование и дальнейшая дефрагментация протекают более интенсивно [9]. Основные структурные изменения связаны с модификацией C=O группы и С–Н связей в алифатических соединениях.
Среди продуктов деструкции образца торфа нами были идентифицированы алканы (гексан, гептан), за появление которых отвечает гомолитический разрыв С–С связи с последующей реакцией образующегося алкильного радикала с источником атомов водорода. Кроме того, происходит частичный распад ароматических структур с образованием шестиатомных линейных продуктов.
Изогексан образуется при изомеризации изначально образующегося гексильного радикала с последующим отрывом атома водорода.
Дегидрирование и диспропорционирование углеводородов (УВ) при термической деструкции углеводородов приводят к образованию пропена, бутена, пентена, гексена, гептена. Дальнейшее дегидрирование их приводит к образованию сопряженных диеновых углеводородов (бутадиен, метилбутадиен). Так, в работах [10, 11] отмечено, что воздействие МВ-излучения катализирует образование кратных связей при дегидрировании. Из олефинов, содержащих алкоксигруппу, посредством циклизации с последующим дегидрированием можно получить производные фурана.
Пятичленные циклы (циклопентан, циклопентадиен, циклопентен) образуются из алканов, посредством циклизации с последующим дегидрированием.
Нами показано, что при инициированном МВ-излучением низкотемпературном пиролизе торфа среди газофазных продуктов наблюдается значительно меньшее содержание алканов и олефинов, а содержание карбонильных и гетероциклических соединений выше, чем при стандартном методе.
При разрыве С–С связей происходит образование кислот, таких как масляная, изогексановая, уксусная, кротоновая, муравьиная. Карбоксильные радикалы способны взаимодействовать с другими радикалами с образованием сложноэфирных соединений, таких, как ацетоксибутанон и ацетоксиацетон. Важнейшей реакцией карбоксильных соединений при термодеструкции является декарбоксилирование с выделением углекислого газа, что характерно при наличии в торфе гуминовой и фульвовой кислот и соответствующих им карбоксильных производных (рис. 2) (ср. с [12]).
Наличие гидроксильных групп в исходных веществах обусловливает дегидратацию с образованием кратных связей. Однако для фульвовых кислот в большей степени характерна деструкция по С–О связи, поскольку данная связь имеет меньшую энергию, чем С–С связь, что делает возможным образование кислородсодержащих производных, таких, как метанол и ацетон. Последний в процессе радикально-цепного механизма образует ацетоксиацетон при взаимодействии с карбоксильным радикалом.
Лигнин является высокомолекулярным (более 10 000 г/моль), разветвленным, полифенольным полимером, состоящий из гидрокси- и метокси-замещенных фенилпропановых звеньев (рис. 2) [13]. Это вещество крайне термостабильно, что затрудняет некоторые процессы термохимической конверсии [14]. Он разлагается в более широком диапазоне температур по сравнению с целлюлозой и гемицеллюлозой. Метоксигруппы при термодеструкции образуют метиловый спирт. Значительное количество фенильных и бензильных фрагментов образуют фенол, ксилолы, корилон и крезолы. Наличие карбонильных групп и гидроксильных групп способствует образованию при его пиролизе гидроксиальдегидов и гидроксикетонов, например, гидроксибутанона. Схема термической деструкции лигнина в жидкой фазе представлена на рис. 2 (ср. с [15]).
Целлюлоза является важнейшим структурным компонентом первичных клеточных стенок древесной и травянистой биомассы (рис. 3) [16–18]. Целлюлоза имеет в своем составе большое количество гидроксильных групп, служащих основой для процесса дегидратации. Схему термической деструкции целлюлозы можно представить следующим образом (рис. 3) [19].
Первым этапом в разложении целлюлозы является снижение степени полимеризации макромолекулы, затем протекает более глубокая ее деструкция. В целлюлозе имеются неустойчивые при термолизе С–О связи, разрыв которых не только приводит к образованию мономерных звеньев, но и к разрыву пиранозного цикла и последующему формированию фуранозного цикла. Наряду с 1,4-β-гликозидными связями расщеплению подвержены фрагменты с 1,5-циклической ацетальной связью. Кроме того, целлюлоза имеет в своем составе свободные гидроксильные группы, лабильные к термическому воздействию. При этом возможна не только внутримолекулярная дегидратация целлюлозы, но и дегидратация с образованием межмолекулярных связей. Несмотря на меньшую лабильность связи С–С по сравнению со связями С–О, наблюдалась глубокая деструкция с разрушением данных связей вплоть до образования таких низкомолекулярных продуктов, как диоксид углерода и вода. Благодаря этим процессам возможно образование широкого спектра продуктов, представленных на схеме (рис. 3).
По сравнению с термическим пиролизом, при МВ-пиролизе в газовой фазе более характерны образование кислородсодержащих производных, включая гетероциклы, и в значительно меньшей доле предельных соединений, причем образование непредельных углеводородов сопоставимо. В жидкой фракции, образованной при МВ-термолизе, преобладают карбоксильные, карбонильные и фенольные соединения, а при нагреве имеют место гетероциклические соединения и спирты. Стоит отметить, что образуются преимущественно сопряженные системы с кратными связями С=С и С=О.
Полученный в результате экспериментов элементный состав углеродистого остатка в сравнении с образцом исходного сухого торфа до облучения приведен на рис. 4.
Рис. 4.
Элементный состав исходного сырья (черные линии на белом) и твердого продукта (белые линии на черном).

Установлено, что МВ-пиролиз торфа на частоте 2.45 ГГц приводит к более глубокому распаду исходного сырья (ω(N) = 2.5%, ω(S) < 0.3%) и к образованию широкого набора низкомолекулярных органических соединений (предельные, непредельные, ароматические, циклические, гетероциклические, карбонильные, карбоксильные углеводороды).
ЗАКЛЮЧЕНИЕ
Нами проведен пиролиз верхового сфагнового торфа Греко-Ушаковского месторождения в экспериментальном МВ-комплексе. Полученные в результате МВ-пиролиза газообразные, жидкие и твердые фракции были охарактеризованы такими методами, как элементный анализ (твердая фракция) и хромато-масс-спектрометрия (жидкая и газообразная фракции). По результатам анализов нами предложены вероятностные пути деструкции основных составляющих торфа. На основании элементного анализа установлено, что при МВ-нагреве торфа процентное содержание углерода увеличивается, по сравнению с исходным сырьем.
Список литературы
Хорошавин Л.Б., Медведев О.А., Беляков В.А., Михеева Е.В., Руднов В.С., Байтимирова Е.А. Торф: возгорание торфа, тушение торфяников и торфокомпозиты. М.: ФГБУ ВНИИ ГОЧС (ФЦ), 2013. 256 с.
Батенин В.М., Бессмертных А.В., Зайченко В.М. и др. // Теплоэнергетика. 2010. № 11. С. 36–42.
Песков Н.Ю., Крапивницкая Т.О., Соболев Д.И., Глявин М.Ю., Денисенко А.Н. Комплекс для микроволнового пиролиза органических материалов Патент № 2737007 C1 РФ. 2020.
Крапивницкая Т.О., Богдашов А.А., Денисенко А.Н. и др. // Изв. вузов. Прикладная химия и биотехнология. 2019. Т. 31. № 4.
Крапивницкая Т.О., Буланова С.А., Сорокин А.А. и др. // Изв. вузов. Прикладная химия и биотехнология. 2020. Т. 2. № 10. С. 339.
Баскаков С.А., Лобач А.С., Васильев С.Г. и др. // Химия высоких энергий. 2016. Т. 50. № 1. С. 46.
Kucerík J., Kovár J., Pekar M. // J. Therm. Anal. Calorim. 2004. V. 79. № 1. P. 55.
Provenzano M.R., Senesi N. // J. Therm. Anal. Calorim. 1999. V. 57. № 2. P. 517.
Montecchio D., Francioso O., Carletti P. et al. // J. Therm. Anal. Calorim. 2006. V. 83. № 2. P. 393.
Салихов К.М. 10 лекций по спиновой химии. Казань: УНИПРЕСС, 2000. 52 с.
Передерий М.А., Хаджиев С.Н., Цодиков М.В. // Вестник РФФИ. 2011. № 4. С. 54.
Fizer M., Sidey V., Milyovich S., Fizera O. // J. Molecular Graphics and Modelling. 2021. V. 102. P. 107800.
Kojima Y., Kato Y., Akazawa M. et al. // Biofuel Research Journal. 2015. V. 2. № 4. P. 317.
Brebu M., Vasile C. // Chem. Technol. 2010. V. 44. № 3. P. 353.
Kojima Y., Kato Y., Akazawa M. et al. // Biofuel Research Journal. 2015. V. 8. P. 317.
Mohan D., Pittman J.C.U., Steele P.H. // Energy Fuels. 2006. V. 20. № 3. P. 848.
Demirbas A. // J. Hazard. Mater. 2008. V. 157. № 2. P. 220.
Demirbas A. // Energy Source Part B. 2007. V. 2. № 4. P. 391.
Liu C., Lu X., Yu Z. et al. // Catalysts. 2020. V. 10. № 9. P. 1006.
Дополнительные материалы отсутствуют.
Инструменты
Химия высоких энергий





