Химия высоких энергий, 2023, T. 57, № 4, стр. 260-266
О некоторых особенностях позитронного и сорбционного методов при исследовании микропористости полимеров
В. П. Шантарович a, *, В. Г. Бекешев a, И. Б. Кевдина a, В. В. Густов a, Э. В. Белоусова a
a Исследовательский центр химической физики им. Н.Н. Семенова РАН
119991 Москва, ул. Косыгина 4, Россия
* E-mail: shant@chph.ras.ru
Поступила в редакцию 03.02.2023
После доработки 14.03.2023
Принята к публикации 15.03.2023
- EDN: QOBJRE
- DOI: 10.31857/S0023119323040137
Аннотация
Для ряда полимеров с аморфной (полиэфиримиды PEI) и аморфно-кристаллической (полифениленоксиды PPO) структурой сравниваются данные о микропористости (распределения микропор по размерам) в диапазоне от нескольких ангстрем до нескольких нанометров, полученные путем измерений времени жизни позитронов (методика PALS) и путем измерений сорбции СО2 (низкотемпературная сорбция газа LTGS). Оценки микропористости по данным аннигиляции позитронов и сорбции СО2 сопоставлены с литературными данными о проницаемости этих материалов, полученными как из эксперимента, так и методом групповых вкладов. Обсуждаются найденные расхождения и их возможные причины.
ВВЕДЕНИЕ
Микропористость (распределение микропор по размерам) является важнейшей структурной характеристикой, определяющей проницаемость и селективность полимерных мембранных материалов [1]. Однако в настоящее время в науке нет экспериментальных методов, кроме аннигиляции позитронов (PALS) и низкотемпературной сорбции газов N2, CO2 (LTGS), из данных которых можно было бы извлечь эту информацию для аморфных полимерных материалов [2–6]. Использование этих методов имеет свои трудности, и состоят они в том, что данные обоих методов не являются прямыми. В случае аннигиляции позитронов исходной информацией для восстановления распределения пор по размерам является распределение во времени аннигиляционного излучения позитронов в исследуемом веществе, а в случае сорбции распределение пор восстанавливается по изотерме сорбции газа с помощью одной из теоретических моделей [4–6].
Cравнение результатов восстановления распределения пор по размерам из экспериментальных данных двух видов служит верификации процедуры восстановления и выявляет особенности каждого из методов. В данной работе мы сопоставляем результаты PALS и LTGS по аморфнокристаллическому поли(2,6-диметилфенилен оксид-1,4) PPO [7–9], а также результаты для ряда полиэфиримидов (PEI) [10], в данном случае на основе диаминов.
ИССЛЕДОВАННЫЕ МАТЕРИАЛЫ
Методом дифракции рентгеновских лучей показано [7, 8], что строение пленок и порошков PPO можно представить, как полимер-полимерный нанокомпозит, являющийся высококонцентрированной дисперсией низкоплотных кристаллитов размером не более 7 нм в более плотной аморфной фазе. Структурную формулу элемента полимерной цепи РРО (на вставке) вместе с результатами сорбционных экспериментов (изотермы адсорбции СО2 при 273 К и распределения пор по размерам PSD) для аморфизованного и одного из аморфно-кристаллических образцов (РРО-2) демонстрируют рис. 1, 2.
Рис. 2.
Распределение микропор по размерам (ширина d, нм) в исходной и аморфизованной пленках РРО-2.

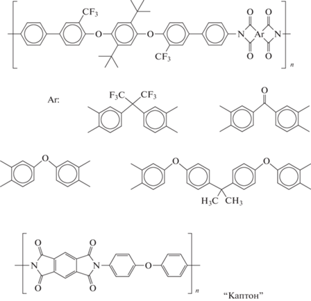
Структура изученных PEI показана на рис. 3. Причем в верхней части приводится основной элемент (6FQDTBDA), а ниже ̶ структурные элементы вставки “Ar”, соответственно: 6FDA, OPDA, BTDA, BPADA. Таким образом, один из исследованных в работе образцов, например, будет обозначен как 6FQDTBDA-BTDA. На рис. 3 показана также структура одного из PEI, “Каптона”.
МЕТОДИКА ЭКСПЕРИМЕНТА
Аннигиляционный спектрометр времени жизни позитронов (PALS)
Детали позитронных экспериментов и особенности методики описаны в литературе [2, 3, 11, 12]. Использовался аннигиляционный спектрометр EG&G ORTEC (USA) с радиоактивным источником позитронов 44Ti, являющийся удобной альтернативой известному изотопу 22Na, и буферным устройством ORTEC-TRUMP-PCI-2K. Разрешающая способность спектрометра (FWHM), полная ширина на полувысоте кривой мгновенных совпадений гамма-квантов от радиоактивного источника 60Со, составляла 300 пс. Протяженность диапазона измерений времен жизни позитронов составляла 100 нс при цене одного канала 0.05 или 0.1 нс/канал. Суммарная по каналам статистика событий аннигиляции (совпадений ядерного и одного из аннигиляционных квантов) в одном эксперименте составляла 106. Результат измерений (времена жизни в распределении событий аннигиляции и их интенсивности) определяли как средние по результатам нескольких экспериментов. Для математической обработки использовали программу PATFIT [3]. Времена жизни орто-позитрония (τ3, τ4, интенсивности I3, I4) в исследуемом веществе использовались для определения эффективного размера нан̵oпор (d3 = 2R3, d4 = 2R4) по известной формуле Тао–Элдрупа [3]. Важно отметить, что имеются случаи, когда удовлетворительное описание достигается при использовании трех компонент (из них одна орто-позитрониевая компонента τ3, I3). Это соответствует унимодальному распределению микропор по размерам.
Низкотемпературная сорбция паров газа (LTGS)
Низкотемпературная сорбция паров газов (N2, CO2) широко используется для исследования пористости материалов, для получения распределения пор по размерам (PSD) [4–6]. При исследовании микропор предпочтительнее использовать сорбцию СО2. Давление насыщенных паров СО2 при нулевой температуре (P0) очень высоко (26141 Торр). Поэтому низкие относительные давления P/P0, необходимые для анализа микропор, достижимы при умеренных абсолютных значениях давления (1–760 Торр). При этом молекулы СО2 легче достигают микропор, чем N2 при 77.4 К, хотя размеры молекул практически совпадают. Таким образом, измерения могут быть выполнены без повышенных требований к вакуумному оборудованию и за менее продолжительное время, чем в случае N2. В наших измерениях использовалась установка NOVA Series 1200e Quantachrome (USA) с интервалом относительных давлений по азоту Р/P0 = 0.005–0.999. В наших экспериментах с СО2 доступный диапазон значений Р/P0 cоставлял 3 × 10–5–3 × 10–2.
Расчет PSD проводили с помощью методов GCMC или NLDFT [13]. Оба метода используют фундаментальные молекулярные параметры, характеризующие взаимодействие газ–газ и газ–твердое тело в адсорбционной системе. Затем экспериментальные изотермы сорбции описывают набором теоретических изотерм, что позволяет получить распределение пор по размерам. Однако такое применение к полимерным мембранным материалам описано ранее, по нашим данным, лишь в работах Вебера [14] и Эльмехальми [15].
ЭКСПЕРИМЕНТАЛЬНЫЕ РЕЗУЛЬТАТЫ
Результаты экспериментов по образцам пленок полифениленоксидов PPO представлены в табл. 1 и на рис. 1, 2. Данные по степени кристалличности (Скр), проницаемости Р(О2) и аннигиляционные характеристики (τ4, I4) явно коррелируют. Аморфизованная пленка (PPO-2)аморф с I4 = 0 отличается от всех остальных. Она меньше всех сорбирует и, следовательно, обладает наименьшей пористостью. Проницаемость растет с ростом степени кристалличности. Это – специфическая, уникальная особенность PPO, выявляемая позитронным и сорбционным методами, т.к. обычно аморфные материалы обладают большей пористостью, чем аморфно-кристаллические [7]. Разница данных PALS и LTGS состоит в том, что в аморфизованном образце полностью отсутствует вторая орто-позитрониевая компонента (τ4, I4) (табл. 1), в то время как по сорбционным данным распределение все же остается бимодальным (рис. 2).
Таблица 1.
Параметры спектров времен жизни орто-позитрония в образцах PPO, соответствующие радиусы пор Ri, степень кристалличности Скр и проницаемость (P, Баррер) по кислороду
| Образец | Cкр, % | τ3, нс | R3, Å | I3, % | τ4, нс | R4, Å | I4, % | P(O2), Б [7, 9] |
|---|---|---|---|---|---|---|---|---|
| РРО-2 аморф | 0 | 2.5 ± 0.02 | 3.28 | 27.78 ± 0.10 | – | – | – | 14.3 |
| PPO-2 | 57.9 | 2.42 ± 0.11 | 3.21 | 20.35 ± 1.30 | 5.30 ± 0.33 | 4.89 | 9.87 ± 1.47 | 26 |
| PPO-1 | 62.4 | 2.17 ± 0.07 | 3.01 | 12.43 ± 0.38 | 6.10 ± 0.14 | 5.23 | 10.67 ± 0.48 | 44 |
| PPO-4 | 69.2 | 1.85 ± 0.09 | 2.71 | 8.74 ± 0.28 | 6.06 ± 0.07 | 5.22 | 18.29 ± 0.39 | 59 |
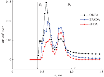
Результаты позитронных и сорбционных измерений для PEI на основе диаминов (формулы на рис. 3) приведены в табл. 2 и на рис. 4. В таблицу включены также данные по проницаемости соответствующих мембран, полученные авторами [7, 9] в результате соответствующих измерений и путем расчета по теории групповых вкладов. Как видно из отмеченных цифр (табл. 2), теория и эксперимент (максимум проницаемости для 6ODT-6FDA) хорошо согласуются друг с другом. В то же время позитронные и сорбционные данные с ними не согласуются.
Таблица 2.
Сравнение позитронных данных для PEI (ширины пор D3, D4) с данными по проницаемости, измеренными Р(О2)изм и полученными (P(O2)оценка ) [7, 9] метом модифицированных групповых вкладов
| Образец PEI |
τ3, нс | I3, % | τ4, нс | I4, % | D3, нм | D4, нм | τ4 × I4 | P(O2)изм, Баррер | Р(О2)оцен, Баррер |
|---|---|---|---|---|---|---|---|---|---|
| 6FODT-ODPA | 1.6 | 6.2 | 5.7 | 1.4 | 0.50 | 1.04 | 7.8 | 3.4 | 8.89 |
| -BTDA | 2.0 | 3.0 | – | – | 0.58 | – | – | 3.0 | 7.71 |
| -6FDA | 1.0 | 4.1 | 2.7 | 4.7 | 0.32 | 0.70 | 12.6 | 12.0 | 21.6 |
| -BPADA | 1.2 | 7.7 | 2.6 | 17.5 | 0.40 | 0.68 | 45 | 3.9 | 6.62 |
| “Каптон” | – | – | – | – | – | 0.69 сорб |
0.825 | ||
| PIM-1* | 1.2 | 8.2 | 6.3 | 17.8 | 0.40 | 1.08 | 112 | 530–590 | |
Рис. 4.
Распределение свободного объема по размерам пор (ширина d, нм) по методу низкотемпературной сорбции диоксида углерода для PEI на основе диамина 6FQDTBDA (-ODPA, -6FDA, -BPADA). D3- и D4-положения пиков (ширины пор) распределения по позитронным данным.

Наконец, к этому нужно прибавить результат по еще одному полиимиду, а именно “Каптону”, в котором методом аннигиляции позитронов поры вообще не наблюдаются. Это видно из полного отсутствия долгоживущих компонент в этом образце (I3 и I4 равны нулю). Полученный результат в аннигиляции позитронов не является новым. Именно поэтому из пленки “Каптона” иногда делают покрытия для радиоактивных источников позитронов. Однако новым является сопоставление с сорбционными данными для СО2, согласно которым микропоры в “Каптоне” присутствуют. Причем, MC и DFT методы обработки дают объем пор 0.038 см3/г. Удельная поверхность 107.21 м2/г, ширина пор 0.686 нм. Проницаемость “Каптона” по кислороду наименьшая для исследованных нами материалов: 0.825 Баррер. Впервые для МС метода распределение оказывается унимодальным (рис. 5).
ОБСУЖДЕНИЕ РЕЗУЛЬТАТОВ
Несомненным результатом данного исследования является наблюдение для большинства РРО и PEI образцов мультимодального (в данном случае бимодального) распределения микропор по размерам как по позитронным, так и по сорбционным данным. Это можно рассматривать в качестве подтверждения представлений о гетерогенности и “локальной жесткости” структуры [1, 18] изученных полимеров. В некоторых случаях есть разногласия по числу компонент. Например, в (PPO-2)аморф и 6FODT-BTDA (табл. 1, 2) по данным PALS распределение унимодально (наблюдается одно орто-позитрониевое время жизни τ3, соответствующее одному среднему радиусу пор R3). В то же время по данным LTGS распределение бимодально (рис. 4). Такое несоответствие можно понять, если учесть, что локализация атома позитрония (нелокализованный атом “квазипозитрония” [6]) в поре требует конечного времени, тем большего, чем меньше концентрация пор. При этом увеличивается вероятность аннигиляции в нелокализованном состоянии или в порах меньшего размера. При этом позитроний “не видит” поры второй группы. Это обстоятельство рассмотрено в работе [6], где диффузионная длина нелокализованного позитрония LPs сравнивается со средними расстояниями между порами, отнесенными к первой и второй орто-позитрониевым компонентам (I3, τ3 и I4, τ4). Тогда можно записать условие наблюдения методом PALS только одной компоненты I3, τ3 при наличии двух сорбционных пиков:
(1)
${{\left[ {{{{{{v}}_{3}}} \mathord{\left/ {\vphantom {{{{{v}}_{3}}} {(\rho {{V}_{3}})}}} \right. \kern-0em} {(\rho {{V}_{3}})}}} \right]}^{{{1 \mathord{\left/ {\vphantom {1 3}} \right. \kern-0em} 3}}}} < {{L}_{{Ps}}} < {{\left[ {{{{{{v}}_{4}}} \mathord{\left/ {\vphantom {{{{{v}}_{4}}} {(\rho {{V}_{4}})}}} \right. \kern-0em} {(\rho {{V}_{4}})}}} \right]}^{{{1 \mathord{\left/ {\vphantom {1 3}} \right. \kern-0em} 3}}}},$где ρ – плотность полимера, V3 и V4 можно определить из перегиба кривой кумулятивного свободного объема [6] по сорбционным данным. Величины ${{v}_{3}}$ и ${{v}_{4}}$ – средние объемы отдельных пор первой и второй группы, найденные по положениям пиков распределений, подобных показанным на рис. 4. В работе [6] на примере полинорборненов показано, что соотношение (1) вполне может быть удовлетворено при характерных для коэффициентов диффузии нелокализованного позитрония значениях 10–5–10–4 см2/c.
Есть еще одно обстоятельство, которое влияет на представление о пористости ряда полимеров по позитронным данным. Оно проявляется на примере полиимидов, в особенности в “Каптоне”, по допплеровскому уширению аннигиляционной линии, и состоит в конкурирующем с образованием позитрония эффекте аннигиляции позитронов на электроотрицательных атомах кислорода, сопряженных с ароматическими циклами или в пятичленном цикле “Каптона” (рис. 3). В результате в последнем случае позитроний вообще отсутствует (I3, I4 = 0), хотя проницаемость “Каптона” по кислороду P(O2)Capt = 0.825 Баррер существенно выше, чем, например, для полиметилметакрилата (P(O2)PMMA = 0.1 Баррер), где интенсивность образования орто-позитрония I3 = 25%.
Величина уширения определяется характерным импульсом PL валентных электронов атомов, на которых происходит аннигиляция. Уширение выявляется методом совпадения сигналов от двух допплеровских детекторов аннигиляционной линии (Coincidence Doppler Broadening Spectrum CDBS) по отношению спектра CDB исследуемого вещества к спектру CDB некоторого стандарта, в состав молекулы которого кислород не входит. Так на рис. 6 показано отношение спектров CDB “Каптона” и полиимида PI304 [16, 19] к полиэтилену. Аннигиляция на электронах кислорода проявляется по интенсивному вкладу отношения CDB в области значений импульса PL = (10–25) × × 10–3m0c, где m0 – масса электрона.
Рис. 6.
Отношение CDB спектров “Каптон”/полиэтилен – кривая (1), PEI 304/PE – (2), PE/PE – (3) [16].

В результате (табл. 2) получается расхождение в выборе образца PEI с максимальной пористостью (проницаемостью) по позитронным данным (параметр τ4 × I4, -DPADA) с одной стороны и из непосредственных измерений проницаемости (P(O2)изм = 12 Баррер, -6FDA) − с другой.
Наконец, очевидно, что сорбционный метод (LTGS) свободен от характерных для позитронного метода PALS осложняющих побочных эффектов ингибирования образования позитрония и возможной аннигиляции до локализации в поре. В этом смысле LTGS оказывается более чувствительным. Например, в “Каптоне” PALS не чувствует пор вообще, тогда как LTGS методом они наблюдаются (рис. 5).
Однако в LTGS не все ясно с количественной обработкой данных. Использование методов Монте-Карло (GCMC) и функционала плотности (NLDFT) из комплекса программного обеспечения [13] для микропор приводит к неоднозначным результатам. Первый вариант впервые дает унимодальное распределение (рис. 5), в то время как в случае NLDFT распределение для “Каптона” бимодально (подобно рис. 4). Здесь необходимы дальнейшие исследования.
ВЫВОДЫ
1. В работе методами PALS и LTGS (CO2) исследовано распределение микропор по размерам в аморфнокристаллическом полифенилен оксиде (РРО) и в аморфных полиэфиримидах (PEI).
2. Для РРО оба метода выявляют необычный эффект – более рыхлую микроструктуру (более крупные свободные микрообъемы) кристаллической фазы по сравнению с аморфной фазой и ее влияние на проницаемость материала.
3. Общей особенностью распределения микропор по размерам в исследованных материалах по данным PALS и LTGS является мультимодальность (бимодальность) распределения пор по размерам, что соответствует представлениям о “локальной жесткости” (микрогетерогенности) мембранных материалов.
4. Каждый из методов имеет определенные особенности, которые могут влиять на оценки пористости. В случае PALS это конечное время, необходимое для локализации атома позитрония в поре, а также возможное подавление образования атома позитрония полярными группами в полимерной цепи (“Каптон”). В случае LTGS-приближенный характер описания изотерм сорбции в полимерах наборами стандартных изотерм в методах функционала плотности (NLDFT) и Монте-Карло (GCMC). Комбинация методов полезна для выявления корректного описания распределения.
Список литературы
Budd P.M., McKeown N.B., Fritsch D., Yampolskii Yu.P., Shantarovich V.P. In: Membrane Gas Separation. Ed. by Y. Yampolskii and B. Freeman. 2010. P. 29.
Mogensen O.E. 1995. Positron Annihilation in Chemistry. Eds: V.I. Goldanskii, E.P. Schaeffer. (Berlin-Heidelberg-New York: Springer-Verlag) 66.
Rudel M., Krause J., Ratzke K., Faupel M., Yampolskii Yu., Shantarovich V., Dlubek G. // Macromolecules. 2008. V. 41. P. 788.
Gun’ko V.M., Leboda R., Skubiszewska-Zieba, Gawdzik B., Charmas B. // Applied Surface Science. 2005. V. 252. P. 612.
Шантарович В.П., Бекешев В.Г., Бермешев М.В., Алентьев Д.А., Густов В.В., Белоусова Э.В., Кевдина И.Б., Новиков Ю.А. // Химия высоких энергий. 2019. Т. 53. № 4. С. 267–273.
Шантарович В.П., Бекешев В.Г., Кевдина И.Б., Бермешев М.В., Возняк А.И. // Химия высоких энергий. 2021. Т. 55. № 1. С. 81–87.
Alentiev A.Yu., Levin I.S., Buzin V.I., Belov N.A., Nikiforov R.Yu., Chirkov S.V., Blagodatskikh I.V., Kechekyan A.S., Bekeshev V.G., Ryzhikh V.E., Yampolskii Yu.P. // Polymer. 2021. V. 226. 123804.
Alentiev A.Yu., Levin I.S., Belov N.A., Nikiforov R.Y., Chirkov S.V., Bezgin D.A., Ryzhikh V.E., Kostina J.V., Shantarovich V.P., Grunin L.Y. // Polymer. 2022. V. 14. № 1.
Auriemma F., Daniel C., Golla M., Nagedra B., Rizzo P., Tarallo O., Guerra G. // Polymer. 2022. 258. 125290.
Алентьев А.Ю., Ямпольский Ю.П., Русанов А.Л., Лихачев Д.Ю., Лазаков Г.В., Комарова Л.Г., Пригожина М.П. // Высок. омол. соед. Сер. А. 2003. Т. 45. № 9. С. 1566.
Weber M.H., Lynn K.G. Positron Porosimetry. In: Principles and Applications of Positron and Positronium Chemistry. Eds. Jean Y.C., Mallon P.E., Schrader D.M. New Jersey-London-Singapore–Hong ader D.M. New Jersey Kong: World Scientific, 2003. P. 167–211.
Shantarovich V.P. // J. Polym. Sci. Part B: Polym. Phys. 2008. V. 46. P. 2485.
NOVAWIN2 V. 2. 1. Operating Manual / Quantachrome Instruments. 2004.
Weber J., Najying Du, Guiver M.D. // Macromolecules. 2011. V. 44. P. 1763–1767.
Elmehalmey W.A., Azzam R.A., Hassan Y.S., Alkordi M.H., Madkour T.M. // ACS OMEGA 2018. V. 3. P. 2757.
Shantarovich V.P., Suzuki T., He C., Gustov V.W. // Radiation Physics and Chemistry. 2003. V. 67. P. 15–23.
Nagai Y., Nonaka T., Hasegava M., Kobayashi Y., Wang C.L., Zheng W., Zhang C. // Phys. Rev. B. 1999. V. 60. № 17. P. 11863.
Токарев А.В., Бондаренко Г.Н., Ямпольский Ю.П. // Высокомолек. соед. Сер. А. 2007. Т. 49. С. 1510–1523.
Shantarovich V.P., Suzuki T., He C., Ito Y., Yampolskii Yu.P., Alentiev A.Yu. // Rad. Phys. and Chem. 2005. V. 73. № 1. P. 45–53.
Дополнительные материалы отсутствуют.
Инструменты
Химия высоких энергий





