Доклады Российской академии наук. Физика, технические науки, 2023, T. 511, № 1, стр. 10-15
ЗАВИСИМОСТЬ ПОЛОЖЕНИЯ ФОНОННЫХ ПОЛОС ИК-ПОГЛОЩЕНИЯ ИЗОТОПОВ ГЕРМАНИЯ ОТ ИХ МАССОВОГО ЧИСЛА
Г. И. Кропотов 1, *, член-корреспондент РАН А. Д. Буланов 2, В. Е. Рогалин 3, **, И. А. Каплунов 4, ***, А. А. Шахмин 1
1 ООО “Тидекс”
Санкт-Петербург, Россия
2 Институт химии высокочистых веществ
им. Г.Г. Девятых Российской академии наук
Нижний Новгород, Россия
3 Институт электрофизики и электроэнергетики Российской академии наук
Санкт-Петербург, Россия
4 Тверской государственный университет
Тверь, Россия
* E-mail: grigorykropotov@tydex.ru
** E-mail: v-rogalin@mail.ru
*** E-mail: kaplunov.ia@tversu.ru
Поступила в редакцию 13.01.2023
После доработки 13.01.2023
Принята к публикации 24.04.2023
- EDN: VORYLJ
- DOI: 10.31857/S2686740023040077
Аннотация
Впервые, в едином эксперименте, исследована зависимость положения пиков фононного поглощения в ИК-спектре (диапазон 11–40 мкм) для всех пяти стабильных моноизотопных монокристаллов германия. Полученная зависимость может быть использована при исследовании массового состава германия различной изотопической чистоты.
Германий, как кристаллы, так и его соединения, широко используются в науке и технике разного назначения. Наиболее существенные направления применения – оптика (детали проходной оптики и акустооптики инфракрасного диапазона, стекла разного назначения, волоконная оптика), полупроводниковая промышленность (датчики, фотоприемники, детекторы гамма-излучений, фотоэлектрические преобразователи), химическая промышленность [1, 2, 4, 6].
Природный германий содержит в своем составе стабильные изотопы с массовыми числами 70, 72, 73, 74, 76 (70Ge – 20.57%, 72Ge – 27.45%, 73Ge – 7.75%, 74Ge – 36.50%, 76Ge – 7.73%) [3]. Использование изотопически чистых кристаллов связано с возможностью технологий их получения [4–6] и открывает ряд новых применений материала. В моноизотопных монокристаллах выявляются новые, ранее не известные свойства. Имеет место значительная аномалия в температурных зависимостях теплопроводности для изотопически чистых монокристаллов [6–9]. При низких температурах (от 100 К и ниже) моноизотопный Ge обладает не только более высокой теплопроводностью, но и термо-ЭДС [10]. Делается предположение о “гигантском” вкладе в коэффициент затухания гиперзвука от рассеяния звуковых волн на изотопическом беспорядке в монокристаллах natGe, по сравнению с моноизотопными кристаллами. Моноизотопные кристаллы отличаются по физическим и структурным характеристикам от кристаллов природного состава (температура фазового перехода, параметры кристаллической решетки, коэффициенты поглощения и отражения) [11–14].
Направления исследований изотопически чистых кристаллов Ge обусловлены новыми применениями материала в микро- и наноэлектронике, инфракрасной оптике, оптике терагерцового диапазона, нанофотонике и других областях.
Моноизотопный Ge может быть перспективен для создания элементов спинтроники, квантовых компьютеров и других задач наноэлектроники [15]. Для использования в квантовых компьютерах в качестве матрицы изотопов германия с четной атомной массой (которые обладают нулевым ядерным спином) требуется минимизировать содержание нечетных изотопов в матрице (73Ge).
В настоящее время монокристаллы изотопа 76Ge уже используются как материал детекторов для исследований процессов двойного бета-распада и ряда фундаментальных физических процессов [6, 16, 17]. Применение изотопически чистого германия позволяет управлять процессом нейтронного трансмутационного легирования полупроводников, управлять степенью компенсации примесей в германии, обеспечивать однородное распределение примесей, достигать высоких концентраций примесей при легировании [18].
Ранее в работах [19, 20] при исследовании спектров ИК-поглощения изотопически чистых монокристаллов 70Ge и 74Ge, полученных в ИАЭ им. И.В. Курчатова, был обнаружен сдвиг нескольких полос фононного поглощения при изменении массового состава. В работах [13, 14] были исследованы оптические характеристики изотопов 72Ge, 73Ge, 74Ge, 76Ge.
В данной работе это исследование было впервые, в едином эксперименте, продолжено для всех пяти стабильных изотопов германия, причем было рассмотрено положение всех основных полос фононного поглощения в ИК-области спектра.
МЕТОДИКА ЭКСПЕРИМЕНТА
Эксперименты проводили на образцах изотопически чистых монокристаллов германия 70Ge, 72Ge, 73Ge, 74Ge, 76Ge. Германий получали гидридным методом в Институте химии высокочистых веществ им. Г.Г. Девятых РАН, затем очищали с получением изотопно обогащенного поликристаллического германия методом зонной плавки [3, 5].
Монокристаллы выращивали в кристаллографическом направлении 〈100〉 в лаборатории Института роста кристаллов (IKZ, г. Берлин) методом Чохральского из кварцевого тигля в среде высокочистого аргона [5, 21]. Выращивались нелегированные кристаллы с высоким удельным электросопротивлением.
Образцы для исследований вырезались из выращенных монокристаллов и затем полировались по специально разработанной технологии химико-механической оптической обработки.
Измерения спектров пропускания проводили на фурье-спектрометре Bruker Vertex 70 в спектральном диапазоне 1.3–670 мкм. Погрешность измерения величины волнового числа составляла ~1 см–1, а коэффициента пропускания – 0.5%. В качестве образцов сравнения использовались оптически обработанные пластины из монокристалла Ge природного изотопического состава (natGe), выращенного в Тверском государственном университете.
РЕЗУЛЬТАТЫ И ОБСУЖДЕНИЕ
На рис. 1 приведена спектральная зависимость коэффициента поглощения (ослабления) природного германия (natGe) и пяти моноизотопных образцов германия в диапазоне 10–40 мкм. Характер каждого спектра примерно одинаков, наблюдается незначительная разница в величине коэффициента поглощения. Для более наглядной визуализации специфического характера спектров кривые сдвинуты вверх путем коррекции значений коэффициента ослабления (изотоп 70Ge – без коррекции, 72Ge – коррекция +2 см–1, природный германий +5 см–1, изотопы 73Ge + 8 см–1, 74Ge + 10 см–1, 76Ge +12 см–1). Основное отличие заключается в соответствии полос поглощения соответствующей длине волны (частоте); наглядно видно, что изотопический состав кристаллов влияет на положение характерных полос поглощения Ge в рассматриваемом спектральном диапазоне. В спектральном диапазоне 11–40 мкм нами выявлено 16 полос поглощения, что соответствует данным работ [13, 14, 22]; для изотопа 70Ge положение ряда характерных полос было выявлено впервые.
В табл. 1 представлены соответствующие значения положения максимума выявленных полос поглощения и сопоставление результатов измерений с известными данными. Эти полосы интерпретированы как двухфононное поглощение в критических точках зоны Бриллюэна [23]. Плотность состояний выражается максимумами полос поглощения, изотопический сдвиг которых относительно спектра природного германия связан с изменением средней атомной массы образца. Наиболее интенсивные полосы наблюдаются в области 23–38 мкм. В области 11–23 мкм выявлены полосы, имеющие малую интенсивность. Полосы невелики, но точно определены, и их зафиксированное положение заметно превышает погрешность прибора. Наличие изотопного сдвига однозначно свидетельствует о том, что эти полосы связаны с фононной структурой монокристаллов изотопов германия.
Таблица 1.
Положение максимума полос поглощения, см–1
| Образцы германия | Обозначение фононных линий [22] | |||||||||||||||
|---|---|---|---|---|---|---|---|---|---|---|---|---|---|---|---|---|
| 3TO | 2TO+LA | 2TO+TA | 2TOX | (TO+LO)L | (TO+L)x | Q2+Q2(O) | (LO+LA)K | (TO+TA2)K | Σ1(O)+Σ3(A) | (TO+TA)X | (TO+TA)L | Λ3(O)+Λ3(A) | (L+TA)Z | (LA+TA)K | (LA+TA1)K | |
| natGe | 839.6 | 750.3 | 641.9 | 560.2 | 522.2 | 502.5 | 469.2 | 423.2 | 389.2 | 360.4 | 350.8 | 351.5 | 342.5 | 318.5 | 287.4 | 273.2 |
| natGe [14] | 841.0 | 750.8 | 647.2 | 560.9 | 522.6 | 501.6 | 473.7 | 423.0 | 389.9 | 361.0 | 351.0 | 348.7 | 342.8 | 318.7 | 286.0 | 271.5 |
| 70Ge | 856.9 | 763.2 | 655.6 | 571.4 | 532.2 | 506.6 | 471.0 | 429.2 | 390.3 | 367.0 | 354.4 | 352.0 | 347.2 | 324.7 | 292.8 | 278.9 |
| 70Ge [19, 20] | 855.0 | 760.0 | 655.0 | – | – | – | – | – | – | – | – | – | – | – | – | – |
| 72Ge | 844.9 | 751.8 | 643.5 | 563.4 | 526.0 | 504.3 | 470.2 | 424.4 | 389.6 | 361.7 | 353.7 | 344.8 | 342.4 | 321.5 | 289.0 | 276.6 |
| 72Ge [14] | 844.0 | 754.0 | 649.8 | 564.5 | 525.0 | 504.4 | 476.5 | 426.3 | 392.3 | 361.5 | 353.0 | 349.9 | 343.3 | 320.7 | 286.0 | 272.0 |
| 73Ge | 839.5 | 750.2 | 641.5 | 558.7 | 521.6 | 502.4 | 469.0 | 421.0 | 388.8 | 360.2 | 351.4 | 346.2 | 341.3 | 319.5 | 287.4 | 272.9 |
| 73Ge [14] | 840.0 | 750.0 | 645.5 | 559.6 | 521.8 | 499.0 | 474.0 | 422.0 | 389.6 | 359.0 | 350.9 | 348.3 | 342.4 | 318.4 | 285.0 | 271.5 |
| 74Ge | 833.7 | 743.6 | 638.1 | 554.0 | 519.4 | 498.0 | 466.7 | 418.4 | 385.2 | 356.5 | 344.8 | 344.8 | 338.4 | 315.5 | 284.1 | 270.6 |
| 74Ge [14] | 833.5 | 744.6 | 640.2 | 555.7 | 517.3 | 497.0 | 469.1 | 419.9 | 387.2 | 356.4 | 348.0 | 345.4 | 339.8 | 316.0 | 284.0 | 270.6 |
| 74Ge [19, 20] | 830.0 | 740.0 | 635.0 | – | – | – | – | – | – | – | – | – | – | – | – | – |
| 76Ge | 822.9 | 736.2 | 629.5 | 548.9 | 512.6 | 492.3 | 466.2 | 414.1 | 380.8 | 352.7 | 344.2 | 342 | 335.6 | 313.5 | 278.6 | 266.7 |
| 76Ge [14] | 823.4 | 736.0 | 633.0 | 549.9 | 511.0 | 491.0 | 464.5 | 415.0 | 382.5 | 353.3 | 344.5 | 342 | 335.7 | 313.0 | 281.0 | 267.0 |
Ранее в работах [19, 20] при исследовании спектров ИК-поглощения изотопически чистых монокристаллов 70Ge и 74Ge был обнаружен сдвиг полос фононного поглощения при изменении массового состава и обобщенно этот сдвиг был аппроксимирован выражением
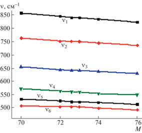
где ν0 – частота максимума соответствующей полосы фононного поглощения природного германия; М – массовое число изотопа; k – степенной коэффициент, находящийся в диапазоне 0.0062–0.0072.Результаты настоящего эксперимента показали (табл. 2), что решеточные пики поглощения для первых 6 полос (табл. 1), наблюдаемые в монокристаллах германия природного изотопического состава, в образцах моноизотопных кристаллов германия (70Ge, 72Ge, 73Ge, 74Ge, 76Ge) сдвигаются в соответствии с зависимостью (1). Результат наглядно проиллюстрирован на рис. 2 на частотах для первых шести полос: зависимости частот ν пиков фононного поглощения этих кристаллов от М – массового числа изотопа.
Таблица 2.
Положение максимума полос поглощения: эксперимент, расчет
| Состав германия | Максимумы фононных полос поглощения в германии | |||||||||||
|---|---|---|---|---|---|---|---|---|---|---|---|---|
| ν1, см–1 | ν2, см–1 | ν3, см–1 | ν4, см–1 | ν5, см–1 | ν6, см–1 | |||||||
| Экспер. | Формула (1)k = 0.00645 | Экспер. | Формула (1)k = 0.00645 | Экспер. | Формула (1) k = 0.00645 |
Экспер. | Формула (1) k = 0.00645 |
Экспер. | Формула (1) k = 0.00645 |
Экспер. | Формула (1) k = 0.0065 |
|
| 70Ge | 856.9 | 856.0 | 763.2 | 762.9 | 655.6 | 653.9 | 571.4 | 570.7 | 532.2 | 532.0 | 506.6 | 510.0 |
| 72Ge | 844.9 | 845.0 | 751.8 | 753.2 | 643.5 | 645.5 | 563.4 | 563.4 | 526.0 | 525.1 | 504.3 | 503.5 |
| 72.59Ge (nat) | 839.6 | 841.8 | 750.3 | 750.3 | 641.9 | 643.1 | 560.2 | 561.2 | 522.2 | 523.1 | 502.5 | 501.6 |
| 73Ge | 839.5 | 839.6 | 750.2 | 748.4 | 641.5 | 641.4 | 558.7 | 559.7 | 521.6 | 521.7 | 502.4 | 500.3 |
| 74Ge | 833.7 | 834.2 | 744.6 | 743.5 | 638.1 | 637.2 | 554.0 | 556.1 | 519.4 | 518.4 | 498.0 | 497.0 |
| 76Ge | 822.9 | 823.5 | 736.2 | 734.0 | 629.5 | 629.1 | 548.9 | 549.0 | 512.6 | 511.8 | 492.3 | 490.6 |
Рис. 2.
Зависимости частот ν пиков фононного поглощения изотопически чистых монокристаллов германия от М – массового числа изотопа для пиков табл. 2.

Таким образом, зарегистрирована зависимость положения максимумов фононных полос поглощения от состава изотопа германия (уравнение (1)). Сдвиг наблюдался от массового числа 76 до 70 (в пределах ∼34 см–1 для первого пика, в пределах ∼26–27 см–1 для второго и третьего пика, ∼22 см–1 для четвертого пика, ∼19 см–1 для пятого пика и ∼14 см–1 для шестого пика). Частотный сдвиг полос поглощения уменьшается по величине с ростом длины волны падающего излучения.
Причем в монокристаллах 70Ge и 72Ge наблюдается рост частоты полосы поглощения (ν), а в монокристаллах 73Ge, 74Ge и 76Ge – частота уменьшается по сравнению с монокристаллами природного изотопического состава (72,59Ge). В работе использовались тонкие образцы монокристаллов (толщина составляла 1.55 мм), что обеспечивало точное количественное определение различия в сдвигах полос поглощения спектров образцов природного (natGe) и моноизотопных кристаллов германия (70Ge, 72Ge, 73Ge, 74Ge, 76Ge) во всех частотных областях спектра.
Ранее в работах [19, 20] с использованием двулучевого ИК-спектрофотометра “Hitachi-225” исследовались спектры ИК-поглощения изотопически чистых монокристаллов 70Ge и 74Ge. Изотопы получены центробежным методом разделения в Институте молекулярной физики РНЦ “Курчатовский институт” с обогащением 99.99%. В Лаборатории им. Лоуренса в Беркли была проведена их тонкая химическая очистка методом многократной зонной плавки (33 прохода). Очищенные таким образом поликристаллические слитки 70Ge и 74Ge применялись в качестве исходного сырья для выращивания монокристаллов Ge n-типа методом Чохральского. Технология получения этих изотопов, а также роста кристаллов, описанная в работах [7, 23], существенным образом отличалась от методов получения образцов, исследовавшихся в данной работе.
Однако полученные при этом значения изотопических сдвигов полос ИК-поглощения полностью коррелировали между собой и соответствовали зависимости (1), экспериментально полученной при измерениях, проведенных на образцах изотопно обогащенного германия, полученного различными методами.
ЗАКЛЮЧЕНИЕ
Впервые, в едином эксперименте, исследована зависимость положения ИК-полос поглощения в диапазоне 11–40 мкм от массового состава для всех пяти стабильных изотопов германия.
Результаты работы наглядно показали, что даже незначительное изменение массы изотопа заметно влияет на положение пиков фононного поглощения.
Полученные данные могут быть применены при исследовании массового состава кристаллов германия различной изотопической чистоты.
Список литературы
Claeys L., Simoen E. Germanium–based technologies: from materials to devices. Berlin: Elsevier, 2007. 449 p. https://doi.org/10.1016/B978-0-08-044953-1.X5000-5
Каплунов И.А., Рогалин В.Е. Оптические свойства и области применения германия в фотонике // Фотоника. 2019. Т. 13. № 1. С. 88–106. https://doi.org/10.22184/FRos.2019.13.1.88.106
Гусев А.В., Гибин А.М., Андрющенко И.А., Гавва В.А., Козырев Е.А. Теплоемкость высокочистого изотопно-обогащенного германия-76 в интервале 2-15 K // ФТТ. 2015. Т. 57. № 9. С. 1868–1870.
Чурбанов М.Ф., Карпов Ю.А., Зломанов П.В., Фёдоров В.А. Высокочистые вещества. М.: Научный мир, 2018. 996 с.
Гавва В.А., Трошин О.Ю., Адамчик С.А., Лашков А.Ю., Абросимов Н.В., Гибин А.М., Отопкова П.А., Созин А.Ю., Буланов А.Д. Получение монокристаллического изотопно-обогащенного германия-70 гидридным методом // Неорганические материалы 2022. Т. 58. № 3. С. 258–263. https://doi.org/10.31857/S0002337X22030058
Изотопы: свойства, получение, применение. под ред. В.Ю. Баранова. В 2 т. Т. 1. М.: Физматлит, 2005. 600 с.
Ожогин В.И., Инюшин А.В., Талденков А.Н., Тихомиров А.В., Попов Г.Э., Халлер Ю., Ито К. Изотопический эффект в теплопроводности монокристаллов германия // Письма в ЖЭТФ. 1996. Т. 63. № 6. С. 463–467.
Sanati M., Estreicher S.K., Cardona M. Isotopic dependence of the heat capacity of c-C, Si, and Ge: an ab initio calculation // Solid State Commun. 2004. V. 131. Is. 3–4. P. 229–233. https://doi.org/10.1016/j.ssc.2004.04.043
Inyushkin A.V., Taldenkov A.N., Gibin A.M., Gusev A.V., Pohl H.-J. On the isotope effect in thermal conductivity of silicon // Physica status solidi (C). 2005. V. 1. Is. 11. P. 2995–2998. https://doi.org/10.1002/pssc.200405341
Кулеев И.Г., Кулеев И.И., Инюшкин А.В., Ожогин В.И. О возможности “гигантского” изотопического эффекта для поглощения ультразвука в кристаллах // ЖЭТФ. 2005. Т. 128. Вып. 2 (8). С. 370–380.
Hu M.Y., Sinn H., Alatas A., Sturhahn W., Alp E.E., Wille H.-C., Shvyd’ko Yu.V., Sutter J.P., Ozhogin V.I., Rodriguez S., Colella R., Kartheuser E., Villeret M.A. Effect of isotopic composition on the lattice parameter of germanium measured by X-ray backscattering // Phys. Rev. B. 2003. V. 67. 113306. https://doi.org/10.1103/PhysRevB.69.079902
Gavva V.A., Bulanov A.D., Kut’in A.M., Plekhovich A.D., Churbanov M.F. Melting point of high-purity germanium stable isotopes // Physica B: Condensed Matter. 2018. V. 537. P. 12–14. https://doi.org/10.1016/j.physb.2018.01.056
Lipskiy V.A., Nazaryants V.O., Kotereva T.V., Bulanov A.D., Gavva V.A., Koltashev V.V., Churbanov M.F., Plotnichenko V.G. Refractive index spectral dependence, Raman spectra, and transmission spectra of high-purity 72Ge, 73Ge, 74Ge, 76Ge, and natGe single crystals // Appl. Opt. 2019. V. 58. Is. 27. P. 7489–7496. https://doi.org/10.1364/AO.58.007489
Липский В.А. Получение и оптические свойства высокочистого изотопно обогащенного германия. Дис. … канд. хим. наук. 2021. Н. Новгород. 119 с.
Мандель А.М., Ошурко В.Б., Першин С.М., Карпова Е.Е., Артёмова Д.Г. О лазере с перестраиваемой частотой на тонких полупроводниковых квантовых кольцах // ДАН. Физика, технические науки. 2021. Т. 498. С. 17–21. https://doi.org/10.31857/S2686740021030147
Verkhovskii S.V., Yakubovsky A.Y., Malkin B.Z., Sai-kin S.K., Cardona M., Trokiner A., Ozhogin V.I. Isotopic disorder in Ge single crystals probed with 73GeNMR // Physical Review B. 2003. V. 68. 104201. https://doi.org/10.1103/PhysRevB.68.104201
Agostini M., Allardt M., Andreotti E., et al. Production, characterization and operation of 76Ge enriched BEGe detectors in GERDA // The European Physical Journal C. 2015. V. 75: 39. 22 p. https://doi.org/10.1140/epjc/s10052-014-3253-0
Haller E.E. Semiconductor isotope engineering // Solid State Phenomena. 1993. V. 32–33. P. 11–20. https://doi.org/10.4028/www.scientific.net/SSP.32-33.11
Рогалин В.Е., Ценина И.С., Каплунов И.А. Исследование влияния изотопической чистоты на оптические свойства германия // Научно-технические ведомости СПбГПУ. 2013. № 4–1 (183). С. 352–358.
Каплунов И.А., Рогалин В.Е., Гавалян М.Ю. Влияние примесного и изотопического состава монокристаллического германия на оптическое пропускание в области 520–1000 см–1 // Оптика и спектроскопия. 2015. Т. 118. № 2. С. 254–260. https://doi.org/10.1134/S0030400X15020083
Churbanov M.F., Gavva V.A., Bulanov A.D., Abrosimov N.V., Kozyrev E.A., Andryushchenko I.A., Lipskii V.A., Adamchik S.A., Troshin O.Yu., Lashkov A.Yu., Gusev A.V. Production of germanium stable isotopes single crystals // Cryst. Res. Technol. 2017. V. 52. № 4. P. 1700026 (6). https://doi.org/10.1002/crat.201700026
Fuchs H.D., Grein C.H., Bauer M. and Cardona M. Infrared absorption in 76Ge and natural Ge crystals: Effects of isotopic disorder on q ≠ 0 phonons // Phys. Rev. B. 1992. V. 45. P. 4065–4070. https://doi.org/10.1103/PhysRevB.45.4065
Etchegoin P., Fuchs H.D., Weber J., Cardona M., Pintschovius L., Pyka N., Itoh K., Haller E.E. Phonons in isotopically disordered Ge // Phys. Rev. B. 1993. V. 48. P. 12661–12671. https://doi.org/10.1103/PhysRevB.48.12661
Дополнительные материалы отсутствуют.
Инструменты
Доклады Российской академии наук. Физика, технические науки



