Экология, 2023, № 5, стр. 365-374
Оседлые и нерезиденты: суточная активность мелких млекопитающих в контрастных биотопах
А. А. Калинин a, *, Д. Ю. Александров a
a Институт проблем экологии и эволюции им. А.Н. Северцова РАН
119071 Москва, ул. Вавилова, 34, Россия
* E-mail: benguan@yandex.ru
Поступила в редакцию 21.02.2023
После доработки 29.03.2023
Принята к публикации 11.04.2023
- EDN: HKZQIT
- DOI: 10.31857/S0367059723050050
Аннотация
Методом мечения с повторным отловом проведено сравнение суточной активности четырех массовых видов мелких млекопитающих лесной зоны в трех сильно различающихся по своим защитным свойствам биотопах. Линии живоловок были установлены в темнохвойном лесу, на травянистом склоне и вдоль каменистого пляжа по урезу воды на р. Илыч. Оценивали активность оседлых и нерезидентных особей с частотой проверок через 1.5 ч. В лесу для всех видов отмечена полифазная активность без выраженных максимумов, на открытом склоне максимум активности оседлых зверьков приходился на ночь, а на берегу отмечены только нерезидентные зверьки. Нерезидентная активность во всех биотопах смещена на ночное время, при этом в открытых биотопах период активности короче и больше связан с темным временем суток.
Для многих видов мелких млекопитающих, как насекомоядных, так и грызунов, характерен полифазный цикл активности. Продолжительность светового дня является лишь одним из многих факторов, влияющих на распределение их активности в течение суток [1, 2]. Полифазная активность, особенно у мелких видов, связана с высокой скоростью метаболизма и представляет собой простой кратковременный цикл с регулярной периодичностью в несколько часов, определяемый сменой фаз голода–насыщения [3, 4]. Относительно равномерное распределение активности в течение суток, иногда с повышением в ночные часы, показано как для землероек-бурозубок [3, 5–8], так и для полевок [9, 10].
Выявлены половые и возрастные различия в двигательной активности животных, которые могут зависеть от численности популяции и фазы популяционного цикла [6] в разные сезоны при изменении таких условий окружающей среды, как температура и влажность [11–13]. Суточные циклы могут модифицироваться под воздействием межвидовых конкурентных отношений [7, 14, 15] или повышенного давления хищников [10, 16–18], а также при искусственной освещенности в ночное время [19–21]. Показано, что суточная активность может варьировать в различных местообитаниях [11, 14, 17, 18].
Большинство работ по бюджету времени выполнено в вольерных условиях на искусственно созданных группах животных. Для мелких млекопитающих изучение активности в природе с помощью различных датчиков затруднено в связи с их размерами и часто скрытным образом жизни. При исследованиях, проводимых в естественной среде, используют различные способы фиксации двигательной активности [22] или кормодобывающей деятельности [17], но наиболее распространенным способом являются отловы в различные промежутки времени [6, 8, 10] или с фиксированным моментом поимки [13, 18]. Использование методов мечения с повторным отловом позволяет проводить анализ суточной активности с учетом видовой принадлежности и половозрастных особенностей животных.
В природных популяциях наряду с оседлыми зверьками существует подвижная часть популяции. Животных, находящихся на территории своего домашнего участка, обычно рассматривают как оседлых, или “резидентов”, противопоставляя их особям, которые находятся по тем или иным причинам за пределами домашнего участка или не имеют его и которых предложено объединить под общим понятием “нерезиденты” [23]. Эта часть населения может быть равна или даже превышать количество оседлых особей [24]. Понятие “нерезидентность” объединяет такие явления, как собственно расселение (перемещение от места рождения), экскурсии (временные выходы за пределы индивидуального участка), переселение (переход с одного участка на другой) и перемещение без установления резидентности – номадность [25]. Обычно расселение определяют как движение особи от места рождения к месту воспроизводства (натальное расселение) или движение между последовательными местами воспроизводства (расселение после размножения или смена участка) [26, 27]. Таким образом, говоря о “нерезидентах”, мы имеем в виду любую особь, находящуюся за пределами своего домашнего участка, а под термином “расселение” подразумеваем именно переселенцев (dispersers), находящихся в процессе поиска или смены участка.
Двигательная активность мелких млекопитающих значительно повышается в ночное время [22], при этом именно в сумерках и ночью происходят дальние перемещения [28], только в ночное время расселяющиеся зверьки попадают в открытые биотопы и пересекают водные преграды [29]. Можно ожидать, что у оседлых и нерезидентных особей суточная активность будет различаться, и предполагается, что у нерезидентов активность смещена на темное время суток. В биотопах, значительно отличающихся по защитным и кормовым свойствам, динамика суточной активности как оседлых, так и нерезидентных зверьков может значительно модифицироваться. В данной работе мы оценивали динамику суточной активности оседлых и нерезидентов в трех контрастных по своим защитным свойствам биотопах.
МАТЕРИАЛ И МЕТОДЫ
Материал собран в верхнем течении р. Илыч в Печоро-Илычском государственном природном биосферном заповеднике на участке между впадением притоков Большая Ляга и Укью (62.6° с.ш., 58.9° в.д.) в августе 2018, 2020 и 2021 гг. Отловы проводили трапиковыми беспружинными живоловками [5, 30], которые позволяют отлавливать весь комплекс видов мелких млекопитающих, включая насекомоядных [31]. В качестве приманки использовали овсяные хлопья “Геркулес”, смоченные нерафинированным подсолнечным маслом. В каждую ловушку помещали несколько таких зерен. Живоловки расставляли в линию с расстоянием между ловушками 7.5 м.
Ловушки были расставлены тремя параллельными линиями по 50 шт. (рис. 1). Длина каждой линии 375 м. Линия “лес” расположена на первой надпойменной террасе в пихтово-еловом зеленомошно-разнотравном лесу со значительной примесью кедра. Линия проложена вдоль опушки на расстоянии 3–8 м от края леса. Линия “склон” находилась на каменистом берегу, в весенний паводок во время ледохода полностью заливаемого водой. Склон покрыт травянистой растительностью с проективным покрытием 10–50% и отдельными куртинами ольховника кустарникового, ширина склона 4–10 м. Линия “пляж” выставлена вдоль уреза воды на открытом каменистом берегу. Этот участок берега лишен растительности, он периодически открывается только при низком уровне реки и неоднократно в течение лета при паводках затапливается. Ширина в разные годы и разных местах составляла 0.5–3 м. Таким образом, расстояние между крайними линиями “лес” и “берег” не превышало 20 м.
Эксперимент проводили между 7 и 19 августа в течение 3 лет по одной схеме: предварительное мечение в течение 8 дней по 2 проверки через 1.5 ч в светлое время (всего 16 проверок), затем суточные наблюдения в течение 2 сут с проверками через 1.5 ч, всего 32 проверки (16 проверок в сутки). Единицей учета было количество зарегистрированных зверьков на проверку для каждой линии. При исследовании суточной активности оценивали общее количество регистраций на всех проверках, проводимых в одно время. Во всех случаях в работе приводится астрономическое время, т.е. полночи соответствует 00 ч 00 мин. В период суточных наблюдений закат наступал в 20:08, а восход в 4:08, выделяли темное (6 проверок с 20:30 до 5:30) и светлое (10 проверок с 5:30 до 20:30) время. Сравнивали количество отловленных зверьков в соответствующие проверки за время суточных учетов.
Всего за время работ отмечено 260 особей (1493 поимок) 9 видов (табл. 1). Наиболее массовыми были красная (80 особей) и рыжая (46 особей) полевки, обыкновенная (66 особей) и средняя (44 особи) бурозубки – на эти виды приходится 98.3% регистраций и для них приводятся статистические данные.
Таблица 1.
Общее количество особей (над чертой) и регистраций (под чертой) мелких млекопитающих на учетных линиях за весь период работ
| Вид | Оседлые | Нерезиденты | Статус не определен | Всего |
|---|---|---|---|---|
| Полевка рыжая (Clethrionomys glareolus Schreber, 1780) | 28/285 | 17/20 | 1/2 | 46/307 |
| Полевка красная (Clethrionomys rutilus Pallas, 1779) | 43/738 | 34/35 | 3/6 | 80/579 |
| Бурозубка обыкновенная (Sorex araneus L., 1758) | 22/205 | 43/44 | 1/2 | 66/251 |
| Бурозубка средняя (Sorex caecutiens Laxmann, 1788) | 12/96 | 32/34 | 0/0 | 44/130 |
| Полевка красно-серая (Craseomys rufocanus Sundevall, 1846) | 0/0 | 2/2 | 0/0 | 2/2 |
| Бурозубка равнозубая (Sorex isodon Turuv, 1924) | 0/0 | 2/2 | 0/0 | 2/2 |
| Бурозубка малая (Sorex minutus L., 1766) | 1/3 | 16/16 | 0/0 | 17/19 |
| Кутора обыкновенная (Neomys fodiens Pennant, 1771) | 0/0 | 2/2 | 0/0 | 2/2 |
| Лемминг лесной (Myopus schisticolor Lilljeborg., 1844) | 0/0 | 21 | 0/0 | 1/1 |
| Всего: | 106/1327 | 149/156 | 5/10 | 260/1493 |
Выделяли две группы зверьков – оседлые и нерезиденты. К “оседлым” относили зверьков, для которых получены неоднократные регистрации. Для отнесения к этой категории минимальное число регистраций составляло 2–3, если они территориально расположены рядом и разнесены во времени. В предварительном учете между такими регистрациями должны были пройти минимум сутки, а для суточных наблюдений – не менее трех проверок. К “нерезидентам” относили зверьков с единичными регистрациями или 2 поимки в последовательные проверки. В эту же категорию попадают зверьки с несколькими регистрациями, но со значительными перемещениями, превышающими размер индивидуального участка. В 5 случаях зверьков по формальным критериям сложно было отнести к той или иной категории, и их статус не был определен: обычно это зверьки с 2 поимками в соседние дни и недалеко друг от друга. Статус определяли по всему объему данных. Если зверек в период предварительного мечения получил статус оседлого, но в период суточных наблюдений дал только одну поимку, его статус остается “оседлый”. В данной работе рассматриваются только видовые особенности суточной активности без учета пола и возраста зверьков.
Для сравнения активности в светлое и темное время суток использовали тест Манн-Уитни (Mann-Whitney U Test). Совпадение пиков активности различных видов в сообществе оценивали ранговой корреляцией Спирмана (RS). Значение среднего приводится с показателями стандартного отклонения (Mean ± SD).
РЕЗУЛЬТАТЫ
Суточная активность оседлых. Одной из основных трудностей при проведении мечения с повторным отловом является выявление оседлых особей, участки которых расположены в стороне от учетной линии или площадки. Такие зверьки при учетах дают единичные регистрации и без специальных расчетов [32, 33] невозможно отделить оседлых особей от нерезидентов, которые также дают единичные поимки. Увеличение продолжительности учетов позволяет выявлять оседлых зверьков, имеющих краевые участки.
Проведение предварительных учетов позволило более полно выявить оседлых особей во время суточных экспериментов. Всего за три года во время предварительных учетов было отмечено 80 оседлых особей всех видов, из них 6 в дальнейших суточных учетах не были зарегистрированы. Суточные учеты проводили на следующий день после окончания предварительного мечения. При этом в них было зарегистрировано 99 оседлых зверьков, из них 25 не регистрировали во время предварительного мечения. Такое увеличение регистрируемого числа оседлых на линиях мечения может быть связано как с увеличением числа проверок во время суточных наблюдений, что позволяет более полно выявлять оседлых зверьков с краевыми участками, так и со сменой состава населения. В августе происходило активное расселение и занятие новых участков расселяющимися зверьками, а также выход молодых зверьков, которые некоторое время держатся на материнском участке и регистрируются как оседлые. Например, в 2021 г. из 8 оседлых рыжих полевок, отмеченных только во время суточных наблюдений, 5 были молодыми зверьками весом менее 10 г.
В разные годы количество оседлых особей мелких млекопитающих, отмеченных на учетных линиях, существенно менялось. В 2018 г. отмечены 4 оседлых красных полевок, 5 рыжих полевок, 5 обыкновенных бурозубок, а средних бурозубок не обнаружено; в 2020 г. – 14, 4, 13 и 9 оседлых особей соответственно, а в 2021 г. – 25, 20, 4 и 3 особи. Все виды показали полифазную активность в течение суток. Оседлые зверьки всех четырех видов отмечены в лесу и на склоне. Количество зарегистрированных зверьков в соседние проверки могло значительно меняться, но не было выраженных пиков и спадов активности (рис. 2). На динамику активности могли влиять изменения погоды, особенно экстремальные показатели [34]. Резкие изменения температуры или осадки могли приводить к смещению показателей суточной активности, однако за весь период наблюдений такой реакции не было отмечено. Например, в 2018 г. на вторые сутки наблюдений температура к утру опускалась до 0°C, в 2020 г. в первые сутки на проверках 5:30–10:00 был дождь, а в 2021 г. на проверке 14:30 гроза. Такие изменения погоды значимо не сказались на динамике активности оседлого населения.
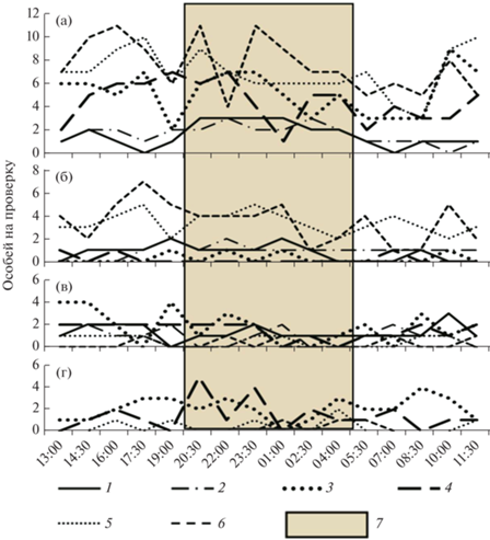
Рис. 2.
Активность оседлых зверьков (особей на проверку) в лесу в разные сутки учетов: а – красная полевка, б – рыжая полевка, в – обыкновенная бурозубка, г – средняя бурозубка; 1 – 2018 г., 1-е сутки; 2 – 2018 г., 2-е сутки; 3 – 2020 г., 1-е сутки; 4 – 2020 г., 2-е сутки; 5 – 2021 г., 1-е сутки; 6 – 2021 г., 2-е сутки; 7 – темное время суток.

В лесу за все время наблюдений только у красной полевки в 2018 г. (самая низкая численность этого вида) зарегистрировано достоверное увеличение активности в ночное время. В темное время суток в среднем на проверку отмечено 2.5 ± 0.5 особи, а в светлое – 1.1 ± 0.6; различия по тесту Манн-Уитни достоверны (U = 12.0, p < 0.001). По объединенным данным за весь период наблюдений в лесу (рис. 3а) разница между активностью в светлое и темное время суток обнаружена только у обыкновенной бурозубки (U = 11.5, p = 0.04), причем в дневное время количество поимок на проверку за все 6 суток было больше (7.5 ± 2.0), чем в ночное (4.8 ± 2.3).
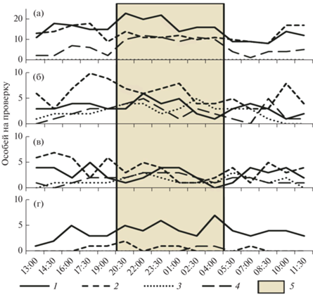
Рис. 3.
Суточная активность (особей на проверку) оседлых и нерезидентных особей мелких млекопитающих в различных биотопах за все суточные наблюдения: а – оседлые в лесу, б – оседлые на склоне, в – нерезиденты в лесу, г – нерезиденты на склоне, д – нерезиденты на берегу; 1 – красная полевка, 2 – рыжая полевка, 3 – обыкновенная бурозубка, 4 – средняя бурозубка, 5 – прочие виды, 6 – общее количество, 7 – темное время суток.

На открытом травянистом склоне отмечены оседлые особи всех четырех видов. Оседлых животных могли регистрировать только в лесу, только на склоне или отлавливать в обоих биотопах (табл. 2). В лесу для всех 4 видов обнаружено 91 оседлых, на склоне – 51, из них общих 46. Все 4 вида достоверно интенсивнее (p < 0.001) использовали опушку леса по сравнению с травянистым склоном (рис. 4). Таким образом, оседлое население всех четырех массовых видов мелких млекопитающих использовало не только территорию леса, примыкавшего к опушке, но и частично открытый травянистый склон с разреженной растительностью, при этом интенсивность использования склона была значительно ниже. При одинаковых ловчих усилиях на лес приходится 77% регистраций оседлых особей всех видов, а на склон 23%.
Таблица 2.
Использование леса и травянистого склона оседлыми особями мелких млекопитающих за период суточных наблюдений (общее количество особей – над чертой, регистраций – под чертой)
| Вид | Лес | Склон | Лес + склон | Всего |
|---|---|---|---|---|
| Полевка красная | 21/239 | 0/0 | 21/301 | 42/540 |
| Полевка рыжая | 7/51 | 2/38 | 15/129 | 24/218 |
| Бурозубка обыкновенная | 8/44 | 3/22 | 8/87 | 19/153 |
| Бурозубка средняя | 9/64 | 0/0 | 2/8 | 11/72 |
Рис. 4.
Распределение активности (особей на проверку) оседлых особей в лесу и на открытом склоне за все суточные наблюдения: а – красная полевка, б – рыжая полевка, в – обыкновенная бурозубка, г – средняя бурозубка; 1 – лес, зверьки отмечены только в этом биотопе; 2 – лес, зверьки, отмечаемые и в лесу, и на склоне; 3 – на склоне, зверьки отмечены только в этом биотопе; 4 – на склоне, зверьки, отмечаемые и в лесу, и на склоне; 5 – темное время суток.

Отношение к травянистому склону у видов различалось. Оседлые особи с регистрациями только на склоне отмечены у рыжей полевки и обыкновенной бурозубки (см. табл. 2). Оседлых зверьков красной полевки и средней бурозубки отлавливали исключительно в лесу либо они совершали выходы на склон. Различалась и доля активности разных видов в лесу и на склоне. Если при учетах в лесу на долю красной полевки приходилось 58% регистраций всех оседлых зверьков, то на склоне ее доля составила только 44%, а также уменьшилась доля активности на склоне средней бурозубки – с 9% в лесу до 2%. Соответственно на склоне увеличилась доля активности, приходящейся на рыжую полевку, – с 19 до 32% и обыкновенную бурозубку – с 14 до 22%.
В учетах на склоне общий максимум активности приходится на ночное время (рис. 3б). Всего за 6 суток на проверку поймано в темное время 21.2 ± 3.0, а в светлое – 9.8 ± 3.6 оседлых особей всех видов (U = 0.0, p < 0.001). У всех видов зарегистрирована более высокая активность в ночное время, при этом у красной полевки, рыжей полевки и средней бурозубки различия достоверны (U = 0.0, p = 0.001; U = 7, p = 0.01; U = 10, p = 0.004 соответственно), а у обыкновенной бурозубки близки к принятому уровню достоверности (U = = 14.5, p = 0.08).
На каменистом пляже вдоль уреза воды оседлых зверьков не регистрировали. Отмечена только одна особь обыкновенной бурозубки – 8 поимок на склоне и 1 регистрация на берегу. Этот зверек встречался только во время суточных наблюдений: впервые появился днем на склоне, вторая поимка на берегу и далее отмечен только на склоне. Видимо, при появлении на берегу данный зверек еще не был оседлым, находился в процессе поиска участка, но по формальным критериям, принятым в данной работе, мы отнесли его к оседлым. Таким образом, оседлые особи четырех массовых видов мелких млекопитающих отмечены в лесу и на травянистом склоне, при этом лесной биотоп использовался в среднем в 3.3 раза интенсивнее. Различался в этих двух соседних биотопах и характер суточной активности зверьков: в закрытом биотопе (лесу) для всех видов отмечена полифазная активность без выраженных максимумов, в то время как на открытом склоне максимум активности оседлых зверьков приходился на темное время суток.
Суточная активность нерезидентов. За весь период суточных наблюдений на всех трех линиях отмечено 14 особей рыжей полевки, 22 особи красной полевки, 38 особей обыкновенной бурозубки и 26 особей средней бурозубки, отнесенных нами к категории “нерезиденты”. Кроме того, на линиях зарегистрировано еще 19 нерезидентных зверьков других видов, среди которых 12 были малыми бурозубками. Необходимо отметить, что за все время работы встречен только один оседлый зверек этого вида. Больше всего нерезидентов было в лесу – 53, на склоне зарегистрировано 44, а на берегу по урезу воды 26 нерезидентных особей всех видов.
Активность нерезидентов приходилась преимущественно на ночное время (рис. 3в–д) у всех видов и во всех биотопах. Самый короткий период нерезидентной активности наблюдался на каменистом пляже вдоль уреза воды (рис. 3д). На пляже отмечены только нерезидентные особи и исключительно в темное время, общая активность (особей всех видов на проверку за 6 сут) ночью составила 4.7 ± 4.6, а в светлое время суток на берегу их не отлавливали (U = 5, p = 0.007). На травянистом склоне с разреженной растительностью активность нерезидентов продолжалась более длительное время (рис. 3г) – в течение всей ночи, а отдельные зверьки отловлены в сумерках. Ночью в этом биотопе активность нерезидентов составила 5.8 ± 4.7 особи, а в светлое время – 0.1 ± 0.3 (U = 0.5, p = 0.001). Для закрытого биотопа – темнохвойный лес вдоль опушки, характерна преимущественно ночная активность нерезидентов (рис. 3в) – 6.0 ± 1.7 особи на проверку за 6 сут. Значительное количество нерезидентов в этом биотопе отлавливали также в вечерние и утренние проверки, наблюдались они и в течение всего дня – в среднем в светлое время отмечено 1.9 ± 2.3 особи (U = 6.5, p = 0.01). Нерезидентная активность во всех биотопах смещена на ночное время, при этом в открытых биотопах период активности короче и больше связан с темным временем суток.
Взаимодействие видов. Одной из причин расхождения суточных ритмов в сообществе мелких млекопитающих могут быть межвидовые конкурентные отношения [7, 14, 15]. В этом случае активность подчиненных видов сдвигается на периоды с минимальной активностью доминирующих и можно ожидать отрицательные корреляционные связи времени активности в таких парах. При используемом нами режиме проверок (через 1.5 ч) среди оседлых зверьков ни на опушке, ни на склоне значимых корреляций не получено. Не отмечено значимых корреляций и у нерезидентов на опушке, в то же время обнаружены положительные корреляции активности нерезидентов на склоне в 2020 г. в парах рыжая полевка – обыкновенная бурозубка (RS = 0.52, t = 3.4, p = 0.002), рыжая полевка – средняя бурозубка (RS = 0.43, t = 2.6, p = 0.014) и в том же году на пляже в паре обыкновенная бурозубка – средняя бурозубка (RS = 0.56, t = 3.7, p = 0.001). Наличие такой положительной корреляции связано с исключительно ночной нерезидентной активностью различных видов в открытых биотопах.
ОБСУЖДЕНИЕ РЕЗУЛЬТАТОВ
Учетные линии в нашем эксперименте располагали на таком расстоянии, чтобы размеры домашних участков оседлых зверьков были больше расстояния между крайними линиями. Дистанция между линиями “лес” и “берег” в зависимости от рельефа составляла 8–18 м. Участки оседлых особей у зверьков, имеющих более 8 регистраций, оцененные по крайним точкам, составили у красной полевки 43.1 ± 18.3 м, у рыжей полевки – 47.8 ± 22.7 м, у обыкновенной бурозубки – 50.0 ± ± 24.5 м, а у средней бурозубки – 52.5 ± 6.1 м. Тем не менее временный пляж не входил в территорию, используемую оседлыми зверьками. Каменистые пляжи появляются на короткое время и периодически в течение лета несколько раз затапливаются во время подъема воды после дождей. Оседлые животные, несмотря на то, что их участки находятся в непосредственной близости от уреза воды, ни разу за все время наблюдений не выходили на открытые участки берега, и здесь встречены исключительно нерезидентные особи. Из всех видов, регистрируемых во время учетов на пляже, постоянно встречаться может только кутора обыкновенная. Хотя в период работ постоянного населения этого вида на берегу не было, но в другие годы кутору регулярно отлавливали по урезу воды.
В отличие от пляжа склон затапливается только один раз в год, во время весеннего половодья. На склоне имеется разреженная травянистая растительность и отдельные группы кустарников, отсутствует постоянная норовая система. На склоне не выявлено специфических видов, населяющих только этот биотоп. Оседлое население, встречающееся на склоне, в значительной степени связано с прилегающим лесным массивом – здесь регистрировали оседлых зверьков четырех основных видов. Наиболее связанными с лесом были красные полевки и средние бурозубки – лишь часть оседлых зверьков выходила из леса на травянистый склон. Рыжие полевки и обыкновенные бурозубки использовали склон значительно активнее – у этих видов были оседлые особи, отмеченные исключительно на склоне, а среди оседлых зверьков, имевших участок внутри леса, большую часть отмечали также на склоне.
Для оседлых зверьков, как и ожидалось, отмечена полифазная активность [3, 6, 9, 10], при этом в лесу обычно не было разницы между уровнем дневной и ночной активности. На открытом склоне у всех видов максимальная активность приходилась на темное время суток. Обычно смещение активности на ночное время в открытых биотопах связывают с их более низкими защитными свойствами и, как следствие, возрастающим риском хищничества [10, 17, 18]. Кроме того, мелкие млекопитающие лесной зоны, ведущие скрытный образ жизни, могут избегать открытых участков при ярком дневном свете и использовать их только в ночное время.
В отличие от оседлых животных пик активности нерезидентов во всех биотопах приходился на темное время суток. В открытых биотопах период активности сокращается, что может быть обусловлено лучшей освещенностью травянистого склона и, особенно, открытого пляжа. У многих видов увеличение освещенности приводило к снижению активности [19–21]. Могут сказываться и более низкие защитные свойства биотопа. Полевки (Microtus arvalis) на скошенной и нескошенной траве по-разному кормились в дневное и ночное время, что связывали с риском хищничества [17].
Вдоль уреза воды отмечено большинство видов мелких млекопитающих, характерных для региона северной тайги [29]. Попадая на берег, расселяющиеся зверьки могут некоторое время передвигаться вдоль уреза воды, прежде чем начинают форсировать водную преграду, или возвращаются обратно в лесной массив [29, 35]. Необходимо отметить, что на берегу мы отлавливаем только расселяющихся особей – дальних переселенцев, в то время как в лесу и на склоне могут встречаться все случаи нерезидентности, включая временные ознакомительные выходы со своих домашних участков. Можно было ожидать, что у оседлых зверьков, участки которых находятся вблизи берега, будут единичные ознакомительные выходы на береговую полосу, но за все время работ мы этого не наблюдали.
Как и у оседлых особей, количество регистраций нерезидентных зверьков при одинаковых ловчих усилиях снижалось от опушки леса к открытому берегу. Ранее было показано [29], что в глубине леса нерезидентов отмечается больше, чем на берегу. Необходимо учитывать, что количество регистраций нерезидентных особей зависит не столько от их плотности, сколько от подвижности. При высокой подвижности территорию посещает значительно больше зверьков, чем если бы они оставались на одном месте, что соответствует понятию динамической плотности популяции [36]. Плотность зверьков, т.е. количество особей на единицу площади, по крайней мере внутри лесного массива, в течение суток не может существенно меняться. Рост количества регистраций нерезидентов в темное время связан с повышением их двигательной активности, и соответственно на учетные линии за единицу времени попадает больше зверьков. Можно предположить, что в дневное время нерезиденты остаются на одном месте, совершая лишь незначительные перемещения в поисках корма, т.е. ведут себя как оседлые зверьки, и вероятность попадания их в ловушки зависит только от присутствия в точке отлова. Такие особенности поведения позволяют получить количественные данные о “моментальной” плотности нерезидентов [37]. Увеличение двигательной активности нерезидентной части популяции мелких млекопитающих в ночное время [22], в том числе дальних перемещений [28], и связанное с ним пересечение водных преград [29] приводят к появлению в темное время суток иногда значительного количества зверьков различных видов в биотопах, в которых оседлое население может вообще отсутствовать.
ЗАКЛЮЧЕНИЕ
Динамика суточной активности мелких млекопитающих может изменяться в широких пределах в зависимости от условий среды. При этом двигательная активность оседлых особей, находящихся на своем домашнем участке, и нерезидентов существенно различается. Для разных видов мелких млекопитающих лесной зоны отмечены изменения суточной активности в биотопах с разной степенью защищенности. Оседлые особи, при общей полифазной активности, открытые биотопы использовали преимущественно в темное время суток, избегая такие наиболее экстремальные участки, как открытые пляжи. В то же время для нерезидентных зверьков характерна преимущественно ночная активность, связанная со степенью открытости биотопов. В открытых биотопах нерезидентная активность фиксировалась исключительно в темное время суток, при этом зверьки в значительном количестве посещали территории, где не встречалось оседлое население.
Предполагается, что уровень двигательной активности нерезидентных зверьков связан с уровнем освещенности. В темнохвойном лесу, где сумерки наступают раньше, нерезидентная активность продолжается дольше. Отмечаемая во многих исследованиях преимущественно ночная активность мелких млекопитающих может быть связана не с ростом активности постоянно обитающих на данной территории оседлых зверьков, а с увеличением подвижности и соответственно количества регистраций перемещающейся нерезидентной части популяции.
Работа выполнена в рамках Государственного задания № АААА-А18-118042490060-1.
Авторы заявляют об отсутствии конфликта интересов и подтверждают, что в работе с животными соблюдались применяемые этические нормы.
Список литературы
Ashby K.R. Patterns of daily activity in mammals // Mammal Rev. 1972. V. 1. № 7–8. P. 171–185. https://doi.org/10.1111/j.1365-2907.1972.tb00088.x
Roll U., Dayan T., Kronfeld-Schor N. On the role of phylogeny in determining activity patterns of rodents // Evolutionary Ecology. 2006. V. 20. № 5. P. 479–490. http:// www.dx.doi.org/10.1007/s10682-006-0015-y
Saarikko J., Hanski I. Timing of rest and sleep in foraging shrews // Animal Behaviour. 1990. V. 40. № 5. P. 861–869.https://doi.org/10.1016/S0003-3472(05)80987-X
Halle S. Polyphasic activity patterns in small mammals // Folia Primatologica. 2006. V. 77. № 1–2. P. 15–26. https://doi.org/10.1159/000089693
Щипанов Н.А., Калинин А.А., Олейниченко В.Ю. и др. К методике изучения использования пространства землеройками-бурозубками // Зоол. журн. 2000. Т. 79. Вып. 3. С. 362–371.
Ивантер Э.В., Макаров А.М. Суточная активность и подвижность обыкновенной бурозубки (Sorex araneus L.) // Экология. 2002. № 4. С. 298–303. [Ivanter E.V., Makarov A.M. Daily activity and mobility of the common shrew (Sorex araneus L.) // Russ. J. of Ecology. 2002. V. 33. № 4. P. 280–285.] https://doi.org/10.1023/A:1016224522263
Сергеев В.Е., Лучникова Е.М. Этолого-биоритмологические факторы организации сообществ землероек // Сиб. экол. журн. 2002. Т. 9. № 6. С. 785–790.
Rychlik L. Overlap of temporal niches among four sympatric species of shrews // Acta Theriol. 2005. V. 50. № 2. P. 175–188.
Tavernier R.J., Largen A.L., Bult-Ito A. Circadian organization of a subarctic rodent, the northern red-backed vole (Clethrionomys rutilus) // J. of Biological Rhythms. 2004. V. 19. № 3. P. 238–247. https://doi.org/10.1177/0748730404264200
Gliwicz J., Dąbrowski M.J. Ecological factors affecting the diel activity of voles in a multi-species community // Annales Zoologici Fennici. 2008. V. 45. № 4. P. 242–247. https://doi.org/10.5735/086.045.0401
Wasserberg G.P., Kotler B., Abramsky Z. The role of site, habitat, seasonality and competition in determining the nightly activity patterns of psammophilic gerbils in a centrifugally organized community // Oikos. 2006. V. 112. № 3. P. 573–579. https://doi.org/10.1111/j.0030-1299.2006.14302.x
Pita R., Mira A., Beja P. Circadian activity rhythms in relation to season, sex and interspecific interactions in two Mediterranean voles // Animal Behaviour. 2011. V. 81. № 5. P. 1023–1030. https://doi.org/10.1016/j.anbehav.2011.02.007
Shuai L.Y., Ren C.L., Cao C. et al. Shifts in activity patterns of Microtus gregalis: a role of competition or temperature? // J. of Mammalogy. 2014. V. 95. № 5. P. 960–967. https://doi.org/10.1644/13-MAMM-A-303
Ziv Y., Abramsky Z., Kotler B.P. et al. Interference competition and temporal and habitat partitioning in two gerbil species // Oikos. 1993. V. 66. № 2. P. 237–246. https://doi.org/10.2307/3544810
Тихонов И.А., Тихонова Г.Н., Осипова О.В. Влияние внутри- и межвидовой конкуренции на суточную активность обыкновенной (Microtus arvalis) и восточно-европейской (Microtus rossiaemeridionalis) полевок в условиях эксперимента // Экология. 2009. № 1. С. 60–65. [Tikhonov I.A., Tikhonova G.N., Osipova O.V. Influence of intra- and interspecific competition on daily activity of common (Microtus arvalis) and east European (Microtus rossiaemeridionalis) voles in experiments // Russ. J. of Ecology. 2009. V. 40. № 1. P. 55–60.] https://doi.org/10.1134/S1067413609010093
Fenn M.G.P., Macdonald D.W. Use of middens by red foxes: risk reverses rhythms of rats // J. of Mammalogy. 1995. V. 76. № 1. P. 130–136. https://doi.org/10.2307/1382321
Jacob J., Brown J.S. Microhabitat use, giving-up densities and temporal activity as short- and long-term anti-predator behaviors in common voles // Oikos. 2000. V. 91. № 1. P. 131–138. https://doi.org/10.1034/j.1600-0706.2000.910112.x
Connolly B.M., Orrock J.L. Habitat-specific capture timing of deer mice (Peromyscus maniculatus) suggests that predators structure temporal activity of prey // Ethology. 2018. V. 124. № 2. P. 105–112. https://doi.org/10.1111/eth.12708
Paise G., Vieira E.M. Daily activity of a neotropical rodent (Oxymycterus nasutus): seasonal changes and influence of environmental factors // J. of Mammalogy. 2006. V. 87. № 4. P. 733–739. https://doi.org/10.1644/05-MAMM-A-158R5.1
Rotics S., Dayan T., Kronfeld-Schor N. Effect of artificial night lighting on temporally partitioned spiny mice // J. of Mammalogy. 2011. V. 92. № 1. P. 159–168. https://doi.org/10.1644/10-MAMM-A-112.1
Hoffmann J., Palme R., Eccard J.A. Long-term dim light during nighttime changes activity patterns and space use in experimental small mammal populations // Environmental Pollution. 2018. V. 238. P. 844–851. https://doi.org/10.1016/j.envpol.2018.03.107
Meijer J.H., Robbers Y. Wheel running in the wild. Proceedings of the Royal Society B: Biological Sciences, 2014. 281(1786):20140210. https://doi.org/10.1098/rspb.2014.0210
Щипанов Н.А., Купцов А.В. Нерезидентность у мелких млекопитающих и ее роль в функционировании популяции // Успехи соврем. биол. 2004. Вып. 124. № 1. С. 28–43.
Щипанов Н.А., Купцов А.В., Калинин А.А. и др. Конуса и живоловки ловят разных землероек-бурозубок (Insectivora, Soricidae) // Зоол. журн. 2003. Т. 82. Вып. 10. С. 1258–1265.
Щипанов Н.А., Купцов А.В., Демидова Т.Б. и др. Нерезидентность и расселение у обыкновенных бурозубок (Sorex araneus, Insectivora) // Зоол. журн. 2008. Т. 87. Вып. 3. С. 331–343.
Greenwood P.J. Mating systems, philopatry and dispersal in birds and mammals // Animal behaviour. 1980. V. 28. № 4. P. 1140–1162.https://doi.org/10.1016/S0003-3472(80)80103-5
Matthysen E. Density-dependent dispersal in birds and mammals // Ecography. 2005. V. 28. № 3. P. 403–416.
Григоркина Е.Б., Оленев Г.В. Дальние перемещения малой лесной мыши (Sylvaemus uralensis, Muridae): скорость и дистанция, выявленные при групповом мечении // Зоол. журн. 2022. Т. 101. Вып. 11. С. 1300–1304. https://doi.org/10.31857/S0044513422110046
Калинин А.А. Преодоление водных преград мелкими млекопитающими лесной зоны (количественные характеристики) // Зоол. журн. 2022. Т. 101. Вып. 4. С. 461–470. [Kalinin A.A. The traversing of water barriers by small mammals of the forest zone: quantitative characteristics // Biol. Bull. 2022. V. 49. № 9. P. 1543–1551.] https://doi.org/10.31857/S0044513422020040
Щипанов Н.А. К экологии малой белозубки (Crocidura suaveolens) // Зоол. журн. 1986. Т. 66. Вып. 7. С. 1051–1060.
Щипанов Н.А., Литвинов Ю.Н., Шефтель Б.И. Экспресс-метод оценки локального биологического разнообразия сообщества мелких млекопитающих // Сиб. экол. журн. 2008. Т. 15. № 5. С. 783–791.
Калинин А.А. Оседлая и нерезидентная составляющая численности массовых видов мелких млекопитающих по данным учета на линиях живоловок // Зоол. журн. 2012. Т. 91. Вып. 6. С. 759–768.
Щипанов Н.А. Мечение на линиях живоловок для мониторинга мелких млекопитающих. Способы расчета популяционной плотности и индексов нерезидентности // Зоол. журн. 2020. Т. 99. Вып. 9. С. 1062–1076. https://doi.org/10.31857/S0044513420090159
Олейниченко В.Ю., Калинин А.А., Купцов А.В. и др. Колебания активности мелких млекопитающих: погодные факторы или случайные процессы? // Бюл. МОИП. 2018. Т. 123. Вып. 6. С. 22–30.
Hanski I., Peltonen A. Island colonization and peninsulas // Oikos. 1988. V. 51. P. 105–106. https://doi.org/10.2307/3565813
Ралль Ю.М. Динамическая плотность грызунов и некоторые методы ее изучения // Бюл. МОИП. 1945. Т. 50. Вып. 5–6. С. 62–64.
Калинин А.А. Плотность оседлого и нерезидентного населения мелких лесных млекопитающих // Зоол. журн. 2023. Т. 102. Вып. 1. С. 106–114.
Дополнительные материалы отсутствуют.



