Физика плазмы, 2023, T. 49, № 9, стр. 903-917
Влияние столкновений электронов на электромагнитные моды плазмы, образованной при многофотонной ионизации инертного газа
К. Ю. Вагин a, *, С. А. Урюпин a
a Физический институт им. П.Н. Лебедева РАН
Москва, Россия
* E-mail: vagin@sci.lebedev.ru
Поступила в редакцию 09.06.2023
После доработки 20.06.2023
Принята к публикации 22.06.2023
- EDN: XAIRRB
- DOI: 10.31857/S0367292123600711
Аннотация
Исследованы электромагнитные моды в слабоионизованной плазме, образованной при многофотонной ионизации атомов инертного газа, в котором имеет место эффект Рамзауэра–Таундсенда. Показано, что при сравнительно небольшой энергии фотоэлектронов порядка 1 эВ возможно усиление электромагнитных волн. Усиление возможно как в случае редких столкновений фотоэлектронов с нейтральными атомами, так и при частотах столкновений большой плазменной частоты электронов. При энергиях фотоэлектронов несколько больших 1 эВ возможно развитие апериодической неустойчивости с инкрементом, величина которого сравнима с плазменной частотой электронов. Представлен детальный аналитический и численный анализ влияния столкновений фотоэлектронов с нейтральными атомами на закон дисперсии электромагнитной волны и инкременты неустойчивостей.
1. ВВЕДЕНИЕ
Изучение механизмов усиления и генерации электромагнитного излучения в плазме давно привлекает внимание специалистов. Это внимание обусловлено не только широкой распространенностью плазм в природе, но возможностью сравнительно просто создавать сильно неравновесные распределения, как электронов, так и ионов. Неравновесность распределений частиц может быть причиной развития различных неустойчивостей в плазме, которые в свою очередь могут приводить к усилению и генерации излучения. Иными словами развитие неустойчивостей приводит к образованию в плазме избыточной энергии электромагнитного поля [1]. Неравновесные распределения частиц формируются не только под воздействием внешних полей на полностью ионизованную плазму, но и на стадии образования самой плазмы при ионизации атомов газа.
Ярким примером неравновесных плазм является фотоионизованная плазма, образованная при воздействии фемтосекундного ионизующего импульса лазерного излучения на газ. Например, при туннельной ионизации атомов газа линейно поляризованным излучением образуется распределение электронов близкое к анизотропному би-максвелловскому распределению [2, 3]. В случае туннельной ионизации циркулярно поляризованным излучением формируется торообразное распределение электронов по скоростям [2, 4–6]. Еще большее многообразие неравновесных распределений фотоэлектронов возникает в режимах многофотонной или надпороговой ионизации атомов газа [7–14]. В этих режимах при ионизации инертных газов формируется сильно анизотропное распределение фотоэлектронов, которое с течением времени становится изотропным, но многопиковым распределением по энергии.
Особенности усиления электромагнитного излучения в фотоионизованной плазме, образованной в режиме туннельной ионизации атомов газа описаны в работах [15–23]. Изучению неустойчивостей и возможности усиления электромагнитного излучения в плазме, образованной при многофотонной ионизации атомов инертного газа, посвящены работы [24—28]. В плазме, образованной в режиме многофотонной ионизации газа при атмосферном давлении, частоты столкновений фотоэлектронов с нейтральными атомами сравнимы с плазменной частотой и частотой терагерцового излучения. Поэтому при изучении распространения и усиления импульсов терагерцового излучения в такой плазме необходимо учитывать, как неравновесность распределения фотоэлектронов, так и особенности их рассеяния на нейтральных атомах.
Учитывая важную роль столкновений фотоэлектронов при выявлении оптимальных условий усиления электромагнитных импульсов, настоящее сообщение посвящено изучению влияния столкновений фотоэлектронов с нейтральными атомами инертного газа на электромагнитные моды. Особое внимание уделено поиску условий, в которых возможно усиление электромагнитных волн. В различных диапазонах длин волн исследована роль столкновений в развитии электромагнитных неустойчивостей. Выявлены оптимальные условия наиболее сильной раскачки неустойчивостей в зависимости от параметров плазмы.
2. ОСОБЕННОСТИ РАСПРЕДЕЛЕНИЯ ФОТОЭЛЕКТРОНОВ ПРИ МНОГОФОТОННОЙ ИОНИЗАЦИИ
Рассмотрим слабоионизованную плазму, образованную при многофотонной ионизации одноатомного газа коротким импульсом линейно поляризованного лазерного излучения. Детальное обсуждение формирующегося после выключения ионизующего импульса неравновесного распределения фотоэлектронов и этапов его эволюции дано в работах [24, 26, 27].
Приведем кратко лишь необходимые для дальнейшего изложения основные свойства такого распределения. При воздействии излучения сравнительно небольшой интенсивности ~1012–1013 Вт/см2 ионизация атомов реализуется при поглощении минимального числа фотонов $K$, необходимого для преодоления потенциала ионизации атома. В условиях воздействия коротких ионизующих импульсов длительностью, не превышающей обратную эффективную частоту столкновений фотоэлектронов, их столкновения не влияют на распределение по скоростям, формирующееся в результате ионизации отдельных атомов. Энергетический спектр сильно неравновесного распределения фотоэлектронов имеет вид узкого пика, сосредоточенного вблизи значения приобретаемой фотоэлектронами в результате ионизации кинетической энергии $m{{{v}}^{2}}{\text{/}}2$, которая не превышает нескольких электрон-вольт [7, 8, 24]. Здесь $m$ и ${v}$ – масса и скорость электрона соответственно.
Под воздействием лазерных импульсов указанной выше умеренной интенсивности степень ионизации формирующегося плазменного образования невелика $ \sim {\kern 1pt} {{10}^{{ - 6}}}{\kern 1pt} - {\kern 1pt} {{10}^{{ - 4}}}$ [24]. Поэтому рассеяние фотоэлектронов в основном происходит на нейтральных атомах, а столкновения электронов между собой и с ионами редки. Для характерных значений энергии фотоэлектронов их рассеяние на атомах носит упругий характер, поскольку возбуждение внутриатомных электронных состояний из-за столкновений электронов и атомов происходит при заметно более высоких энергиях [29, 30].
В сравнительно плотной плазме частые упругие столкновения фотоэлектронов с нейтральными атомами, характеризующиеся эффективной частотой ${{\nu }_{{{\text{eN}}}}}$, приводят к быстрой релаксации по направлениям импульса. Тем самым на временах превышающих $\nu _{{{\text{eN}}}}^{{ - 1}}$ неравновесная функция распределения фотоэлектронов становится изотропной. При этом пикообразная форма распределения по скоростям сохраняется в течение весьма широкого временного интервала вплоть до ее релаксации к равновесной максвелловской функции, которая происходит либо из-за редких электрон-электронных столкновений с частотой ${{\nu }_{{ee}}}$, либо из-за обмена энергией при столкновениях фотоэлектронов с нейтральными атомами. Отношение характерного времени последнего процесса ко времени изотропизации определяется половиной отношения масс атома M и электрона [31], и во много раз превосходит единицу. Таким образом в широком временном интервале
(1)
$\nu _{{{\text{eN}}}}^{{ - 1}} < t \ll \min \left[ {\nu _{{ee}}^{{ - 1}},\frac{M}{{2m}}\nu _{{{\text{eN}}}}^{{ - 1}}} \right]$Целью настоящего сообщения является исследование свойств собственных поперечных электронных плазменных мод в образованной при многофотонной ионизации плазме в указанном временном интервале с учетом особенностей упругих столкновений электронов с нейтральными атомами.
3. ОСНОВНЫЕ УРАВНЕНИЯ
В этом разделе получим дисперсионное уравнение для поперечных электромагнитных возмущений в фотоионизованной плазме. Примем, что пространственно-временная структура возмущений функции распределения фотоэлектронов $\delta f({\mathbf{v}},{\mathbf{r}},t)$, электрического ${\mathbf{E(r}},t)$ и магнитного полей в плазме имеет вид $ \sim {\kern 1pt} \exp \left( { - i\omega t + i{\mathbf{kr}}} \right)$. Будем интересоваться сравнительно высокочастотными коллективными движениями фотоэлектронов, когда движением нейтральных атомов и ионов можно пренебречь. Для типичных энергий ~1 эВ скорость фотоэлектронов сравнительно не велика. Это позволяет ограничиться изучением условий, когда расстояние ${v}{\text{/|}}\omega {\text{|}}$, проходимое электроном за время изменения поля, много меньше пространственного масштаба ${{k}^{{ - 1}}}$ его изменения ${\text{|}}\omega {\text{|}} \gg k{v}$.
В таких условиях мы воспользуемся линеаризованным кинетическим уравнением [32] для возмущения функции распределения $\delta f({\mathbf{v}})$ вида
(2)
$\begin{gathered} - i\omega {\kern 1pt} \delta f({\mathbf{v}}) + \frac{e}{m}\left( {{\mathbf{Ev}}} \right)\frac{{\partial {{f}_{0}}({v})}}{{{v}\partial {v}}} = \\ = - \nu ({v})\left[ {\delta f({\mathbf{v}}) - {{{\langle \delta f({\mathbf{v}})\rangle }}_{{\mathbf{v}}}}} \right]. \\ \end{gathered} $Входящая в (2) эффективная частота столкновений фотоэлектронов $\nu ({v}) \equiv {{\nu }_{{{\text{eN}}}}}({v})$ = $N{v}{{\sigma }_{{{\text{tr}}}}}(m{{{v}}^{2}}{\text{/}}2)$ учитывает зависимость транспортного сечения упругого рассеяния фотоэлектронов ${{\sigma }_{{{\text{tr}}}}}$ на нейтральных атомах с концентрацией $N$ от энергии фотоэлектронов. Используя явный вид такой зависимости для атомов конкретного газа можно получить функцию $\nu ({v})$. Рисунок 1, основанный на экспериментальных данных [30] для плазмы ${\text{Xe}}$, в логарифмическом масштабе иллюстрирует вид выраженной в относительных единицах зависимости частоты столкновений фотоэлектронов $\nu $ от их кинетической энергии. Кривая на этом рисунке имеет ярко выраженный минимум, отвечающий эффекту Рамзауэра–Таунсенда [34–36]. Для инертных газов уменьшение транспортного сечения упругого рассеяния фотоэлектронов на атомах имеет место в области энергий $m{{{v}}^{2}}{\text{/}}2 \sim $ ~1 эВ.
Рис. 1.
Зависимость частоты упругих столкновений фотоэлектронов $\nu $ от их энергии $m{{{v}}^{2}}{\text{/}}2$ в слабоионизованной плазме ${\text{Xe}}$. Прямоугольники демонстрируют значения $\nu $ соответствующие экспериментальным данным [30] для $\sigma $. Сплошная кривая – результат интерполяции на основе этих данных.

Совместное решение уравнений Максвелла для электромагнитного поля в плазме и уравнения (2) позволяет получить дисперсионное уравнение для поперечных электронных мод
где(4)
${{\varepsilon }_{{tr}}}(\omega ) = 1 + \frac{{4\pi }}{3}\frac{{{\kern 1pt} \omega _{L}^{2}}}{{n\omega }}\int\limits_0^{ + \infty } \frac{{{{{v}}^{3}}d{v}}}{{\omega + i{\kern 1pt} \nu ({v})}}\frac{{\partial {{f}_{0}}({v})}}{{\partial {v}}}$Дисперсионное уравнение (3) составляет основу дальнейшего рассмотрения электромагнитных мод в фотоионизованной плазме с учетом эффекта Рамзауэра–Таунсенда.
4. ДИСПЕРСИОННОЕ УРАВНЕНИЕ ДЛЯ ПОПЕРЕЧНЫХ МОД “ХОЛОДНОЙ” ФОТОИОНИЗОВАННОЙ ПЛАЗМЫ
C целью выявления основных свойств коллективных мод фотоионизованной плазмы ограничимся рассмотрением сравнительно простой модели “холодной” плазмы, не учитывающей разброс фотоэлектронов по скоростям в пределах энергетического пика. В такой модели распределение фотоэлектронов по скоростям можно аппроксимировать функцией вида
где $\delta (x)$ – дельта-функция Дирака, ${{{v}}_{0}}$ – скорость фотоэлектронов в энергетическом пике.Используя выражения (4) и (5), после интегрирования по скоростям из (3) получаем для комплексной частоты $\omega = \omega {\kern 1pt} '\; + i{\kern 1pt} \omega {\kern 1pt} '{\kern 1pt} '$ следующее дисперсионное уравнение:
(6)
${{k}^{2}}{{c}^{2}} - {{\omega }^{2}} + \frac{{\omega _{L}^{2}{\kern 1pt} \omega }}{{\omega + i{\kern 1pt} {{\nu }_{0}}}}\left( {1 - \frac{\beta }{3}\frac{{i{\kern 1pt} {{\nu }_{0}}}}{{\omega + i{\kern 1pt} {{\nu }_{0}}}}} \right) = 0.$На рис. 2 для плазмы ${\text{Xe}}$ представлена зависимость коэффициента $\beta {\text{/}}3$ в области значений энергии $m{{{v}}^{2}}{\text{/}}2$, при которых фотоэлектроны испытывают лишь упругие столкновения. Точка $A$ на кривой рис. 2 соответствует энергии электронов $m{{{v}}^{2}}{\text{/}}2$ = 0.5 эВ. Точка $B$ отмечена для значения $m{{{v}}^{2}}{\text{/}}2$ = 0.72 эВ, отвечающего экспериментальной работе [8], в которой реализована многофотонная ионизация атомов ${\text{Xe}}$ при поглощении $K = 11$ фотонов излучения ${\text{Nd:YAG}}$-лазера. Точка $C$ соответствует энергии $2.87$ эВ, реализующейся при ионизации $K = 3$ фотонами излучения ${\text{Kr:F}}$-лазера атомов ${\text{Xe}}$ [24].
Рис. 2.
Зависимость коэффициента $\beta {\text{/}}3$ от энергии фотоэлектронов $m{{{v}}^{2}}{\text{/}}2$ в плазме Xe.

Для указанных характерных энергий фотоэлектронов приведем значения эффективных частот их столкновений с нейтральными атомами ${{\nu }_{{{\text{eN}}}}} = N{{{v}}_{0}}{{\sigma }_{{tr}}}$, где ${{\sigma }_{{{\text{tr}}}}} = {{\sigma }_{{{\text{tr}}}}}(m{v}_{0}^{2}{\text{/}}2)$, и между собой ${{\nu }_{{{\text{ee}}}}} = 4\pi {{e}^{4}}n\Lambda {\text{/}}{{m}^{2}}{v}_{0}^{3}$, где $\Lambda = \ln [2\pi n{v}_{0}^{3}{\text{/}}\omega _{L}^{3}]$ – кулоновский логарифм. Эти частоты определяют границы временного интервала (1). Рассмотрим газ ${\text{Xe}}$ при давлении близком к атмосферному, когда концентрация атомов $N \approx 2.5 \times {{10}^{{19}}}$ см–3. Для энергии фотоэлектронов $m{v}_{0}^{2}{\text{/}}2 = 0.5$ эВ сечение их рассеяния на нейтральных атомах составляет ${{\sigma }_{{{\text{tr}}}}} = 0.64 \times {{10}^{{ - 16}}}$ см2 [30]. В этих условиях, приняв степень ионизации равной $\alpha = {{10}^{{ - 6}}}$, получаем следующие оценки ${{\nu }_{{{\text{eN}}}}} \approx 0.7 \times {{10}^{{11}}}$ с–1 и ${{\nu }_{{{\text{ee}}}}} \approx $ 1.5 × × 109 с–1. Для энергии $m{v}_{0}^{2}{\text{/}}2$ = 0.72 эВ имеем ${{\sigma }_{{{\text{tr}}}}} = 0.4 \times {{10}^{{ - 16}}}$ см2 [30] и, при той же степени ионизации $\alpha = {{10}^{{ - 6}}}$, для частот столкновений получаем оценки ${{\nu }_{{{\text{eN}}}}} \approx 0.5 \times {{10}^{{11}}}$ с–1 и ${{\nu }_{{{\text{ee}}}}} \approx 1 \times {{10}^{9}}$ с–1. Вблизи указанных значений энергий фотоэлектронов сечение рассеяния в ${\text{Xe}}$ имеет резкий минимум и частота столкновений с нейтральными атомами ${{\nu }_{{{\text{eN}}}}}$ минимальна (см. рис. 1). Для больших энергий фотоэлектронов $2.87$ эВ сечение рассеяния возрастает ${{\sigma }_{{{\text{tr}}}}} = 1.5 \times {{10}^{{ - 15}}}$ см2 [30] и отличие указанных частот столкновений становится еще заметнее. Принимая $\alpha = {{10}^{{ - 5}}}$, имеем оценки ${{\nu }_{{{\text{eN}}}}} \approx 3.8 \times {{10}^{{12}}}$ с–1 и ${{\nu }_{{{\text{ee}}}}} \approx 1.5 \times {{10}^{9}}$ с–1. Входящее в (1) отношение $M{\text{/}}2m = 1.2 \times {{10}^{5}}$ для атомов ${\text{Xe}}$. Тем самым, для указанных выше параметров плазмы временной интервал (1) существования неравновесного изотропного распределения фотоэлектронов весьма широк.
5. РЕШЕНИЕ ДИСПЕРСИОННОГО УРАВНЕНИЯ В ДЛИННОВОЛНОВОМ ПРЕДЕЛЕ
Дисперсионное уравнение (6) представляет собой уравнение четвертой степени относительно переменной $\omega $. В пределе длинноволновых возмущений, когда $k \to 0$, одно из решений является тривиальным и уравнение (6) сводится к кубическому
(7)
$\omega {{\left( {\omega + i{\kern 1pt} {{\nu }_{0}}} \right)}^{2}} - \omega _{L}^{2}{\kern 1pt} \left[ {\omega + i{\kern 1pt} {{\nu }_{0}}\left( {1 - \frac{\beta }{3}} \right)} \right] = 0.$(8)
$\begin{gathered} {{\omega }_{1}} = \omega _{1}^{'} + i\omega _{1}^{{''}} = \frac{{\sqrt 3 {{\omega }_{L}}}}{2}{{\psi }_{ - }}\left( {{{\nu }_{0}}{\text{/}}{{\omega }_{L}},\beta } \right) - \\ \, - i\left[ {\frac{{{{\omega }_{L}}}}{2}{{\psi }_{ + }}\left( {{{\nu }_{0}}{\text{/}}{{\omega }_{L}},\beta } \right) + \frac{{2{{\nu }_{0}}}}{3}} \right], \\ {{\omega }_{2}} = i\omega _{2}^{{''}} = i\left[ {{{\omega }_{L}}{{\psi }_{ + }}\left( {{{\nu }_{0}}{\text{/}}{{\omega }_{L}},\beta } \right) - \frac{{2{{\nu }_{0}}}}{3}} \right],\quad \\ {{\omega }_{3}} = - \omega _{1}^{*} = - \omega _{1}^{'} + i\omega _{1}^{{''}}, \\ \end{gathered} $(9)
$\begin{gathered} {{\psi }_{ \pm }}\left( {\xi ,\beta } \right) = a\left( {\xi ,\beta } \right) \pm b\left( {\xi ,\beta } \right), \\ a\left( {\xi ,\beta } \right) = \\ = {{\left( {\frac{{{{\xi }^{3}}}}{{27}} + \xi \frac{{\beta - 1}}{6} + \frac{1}{3}\sqrt {{{\xi }^{4}}\frac{\beta }{9} + {{\xi }^{2}}\left[ {{{{\left( {\frac{{\beta - 1}}{2}} \right)}}^{2}} - \frac{1}{3}} \right] + \frac{1}{3}} {\kern 1pt} } \right)}^{{\tfrac{1}{3}}}}, \\ b\left( {\xi ,\beta } \right) = \frac{{{{\xi }^{2}} - 3}}{{9a\left( {\xi ,\beta } \right)}}. \\ \end{gathered} $Сначала рассмотрим предельный случай малой частоты столкновений ${{\nu }_{0}} \ll {{\omega }_{L}}$. В таком пределе из соотношений (8), (9) имеем следующие асимптотические формулы:
(10)
${{\omega }_{1}} \approx {{\omega }_{L}} - i{\kern 1pt} \frac{{{{\nu }_{0}}}}{2}\left( {\frac{\beta }{3} + 1} \right),$В свою очередь, чисто мнимая малая частота ${{\omega }_{2}}$ пропорциональна выражению $\beta {\text{/}}3 - 1$, которое положительно в сравнительно широком интервале энергий ${{\Delta }_{{II}}}$: 0.65 эВ < $m{{{v}}^{2}}{\text{/}}2$ < 4.1 эВ (см. рис. 2 – этот интервал отмечен широкой заштрихованной областью под кривой в положительной области значений $\beta {\text{/}}3$). Тем самым, в указанном интервале энергий фотоэлектронов длинноволновая низкочастотная мода (11) является апериодически неустойчивой. Рассмотренный в этом абзаце в частном случае редких столкновений длинноволновый предел указывает на возможность развития в фотоионизованной плазме двух различных видов электромагнитной неустойчивости.
Отметим, что уравнение (7) допускает также асимптотическое решение для низкочастотной моды и в условиях сильно столкновительной плазмы, когда ${{\nu }_{0}} \gg {{\omega }_{L}}$. В этом случае выражение для мнимой частоты этой моды имеет вид
(12)
${{\omega }_{2}} \approx i{\kern 1pt} \frac{{\omega _{L}^{2}}}{{{{\nu }_{0}}}}\left( {\frac{\beta }{3} - 1} \right).$Появление этих неустойчивостей связано с тем, что действительная часть проводимости ${\text{Re}}[{{\sigma }_{{tr}}}(\omega )]$ изменяет знак (здесь принято во внимание определение ${{\varepsilon }_{{tr}}}(\omega ) = 1 + 4\pi i{{\sigma }_{{tr}}}(\omega ){\text{/}}\omega $). Для высокочастотной моды (см. (10)) ${\text{Re}}[{{\sigma }_{{tr}}}(\omega )]$ < 0, если $\beta {\text{/}}3 + 1$ < 0, а для моды вида (11) ${\text{Re}}[{{\sigma }_{{tr}}}(\omega )]$ < 0 при $\beta {\text{/}}3 - 1$ < 0. Изменение знака ${\text{Re}}[{{\sigma }_{{tr}}}(\omega )]$ возникает из-за того, что разные группы электронов дают отличающийся по знаку вклад в проводимость. Для тех электронов, для которых эффективная сила трения об атомы больше, чем от воздействия со стороны электрического поля волны, возникает отрицательный вклад в ${\text{Re}}[{{\sigma }_{{tr}}}(\omega )]$. И если этот вклад доминирует над вкладом от остальных электронов, то ${\text{Re}}[{{\sigma }_{{tr}}}(\omega )]$ < 0. Именно это имеет место в тех инертных газах, для которых ярко выражен эффект Рамзауэра–Таундсена. Из-за резкого нарастания сечения рассеяния электронов на атомах, эффективная частота столкновений, а тем самым и сила трения, электронов дающих основной вклад в ${\text{Re}}[{{\sigma }_{{tr}}}(\omega )]$, резко возрастает и ${\text{Re}}[{{\sigma }_{{tr}}}(\omega )]$ становится отрицательной. При этом энергия волны не убывает, а увеличивается. Иными словами, происходит развитие неустойчивости.
5.1. Высокочастотная неустойчивость плазмы с низкоэнергетическими фотоэлектронами при произвольном значении частоты столкновений
Выражения (8), (9) позволяют провести анализ свойств низко- и высокочастотной длинноволновых мод для различных значений энергии фотоэлектронов и произвольного отношения частоты их упругих столкновений ${{\nu }_{0}}$ с атомами к ленгмюровской частоте ${{\omega }_{L}}$.
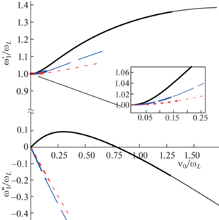
Рисунок 3 демонстрирует зависимости безразмерных вещественной $\omega _{1}^{'}{\text{/}}{{\omega }_{L}}$ и мнимой $\omega _{1}^{{''}}{\text{/}}{{\omega }_{L}}$ частей частоты высокочастотной волны от безразмерной частоты столкновений ${{\nu }_{0}}{\text{/}}{{\omega }_{L}}$. Сплошные кривые построены для значения энергии фотоэлектронов $m{v}_{0}^{2}{\text{/}}2$ = 0.5 эВ, лежащей в интервале энергий ${{\Delta }_{I}}$ высокочастотной неустойчивости; пунктирные и штриховые кривые – для значений $0.72$ и $2.87$ эВ соответственно, лежащих вне этого интервала. Точки $A$, $B$ и $C$, нанесенные на кривую $\beta {\text{/}}3$ рис. 2, отвечают указанным значениям энергии.
Рис. 3.
Зависимости безразмерных вещественной $\omega _{1}^{'}{\text{/}}{{\omega }_{L}}$ и мнимой $\omega _{1}^{{''}}{\text{/}}{{\omega }_{L}}$ частей частоты высокочастотной волны от безразмерной частоты столкновений ${{\nu }_{0}}{\text{/}}{{\omega }_{L}}$ в длинноволновом пределе. Сплошные кривые соответствуют энергии фотоэлектронов $m{v}_{0}^{2}{\text{/}}2$ = 0.5 эВ; пунктирные и штриховые кривые – значениям $0.72$ и $2.87$ эВ соответственно.

При энергии фотоэлектронов $0.5$ эВ в интервале частот столкновений $0 < {{\nu }_{0}} < 0.8{{\omega }_{L}}$ мнимая часть частоты этой моды является положительной, что отвечает неустойчивой электромагнитной волне с медленно увеличивающейся с ростом ${{\nu }_{0}}$ частотой, превышающей электронную ленгмюровскую частоту. Максимальный инкремент этой неустойчивости составляет ${{\gamma }_{1}}$ = $\omega _{1}^{{''}} \approx 0.094{{\omega }_{L}}$ и достигается при ${{\nu }_{0}} \approx 0.3{{\omega }_{L}}$. При ${{\nu }_{0}} > 0.8{{\omega }_{L}}$ эта волна становится затухающей с быстро увеличивающимся декрементом. В пределе частых столкновений уже при ${{\nu }_{0}} > 1.25{{\omega }_{L}}$ декремент этой волны превышает ее обратный период ${\text{|}}\omega {\kern 1pt} '{\kern 1pt} '{\text{|}} > \omega {\kern 1pt} '{\text{/}}2\pi $.
Представленные на этом же рисунке кривые для больших энергий фотоэлектронов отвечают электромагнитной волне, затухающей при любых значениях частоты столкновений. При этом рис. 3 демонстрирует общее свойство, что вне указанного интервала энергий высокочастотной неустойчивости описываемая волна слабо затухает лишь в пределе редких столкновений ${{\nu }_{0}} \ll {{\omega }_{L}}$ и имеет частоту, практически совпадающую с ${{\omega }_{L}}$ (см. вставку к рис. 3). С увеличением частоты столкновений фотоэлектронов декремент этой моды быстро нарастает пропорционально ${{\nu }_{0}}$ и уже при ${{\nu }_{0}} \geqslant 0.1{{\omega }_{L}}$ волна затухает на временах меньших одного периода колебаний. Все кривые на рис. 3 в условиях, когда декремент затухания превышает обратный период колебаний, нарисованы тонкими линиями.
Отметим, что свойства высокочастотной волны для близких значений энергий фотоэлектронов $0.5$ и $0.72$ эВ диаметрально различаются. Это обусловлено резкой зависимостью от скорости частоты упругих столкновений электронов с атомами вследствие эффекта Рамзауэра–Таунсенда (см. рис. 2).
5.2. Апериодическая электромагнитная неустойчивость плазмы с более энергичными фотоэлектронами
Ниже представлен численный анализ общего решения (8), (9) дисперсионного уравнения (6) для фотоэлектронов относительно высоких энергий с энергией в интервале ${{\Delta }_{{II}}}$. При этом в плазме развивается низкочастотная апериодическая неустойчивость. Приведенное ниже рассмотрение позволяет обобщить асимптотические аналитические формулы (11), (12) на случай произвольного отношения частоты электронных столкновений и их ленгмюровской частоты, а также установить условия наиболее эффективного нарастания поперечных возмущений.
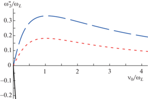
Рисунок 4 демонстрирует зависимость мнимой части безразмерной частоты $\omega _{2}^{{''}}{\text{/}}{{\omega }_{L}}$ низкочастотной моды от безразмерной частоты столкновений ${{\nu }_{0}}{\text{/}}{{\omega }_{L}}$ для тех же значений энергий фотоэлектронов, что представлены на рис. 3 (использованы аналогичные обозначения для соответствующих кривых). Значения энергии $0.72$ и $2.87$ эВ принадлежат интервалу ${{\Delta }_{{II}}}$, в котором длинноволновая низкочастотная мода является апериодически неустойчивой (см. рис. 2, точки $B$ и $C$ соответственно). Отвечающие указанным значениям энергии $\omega _{2}^{{{\text{''}}}}$ соответственно штриховая и пунктирная кривые на рис. 4 описывают инкремент ${{\gamma }_{2}} = \omega _{2}^{{''}} > 0$ апериодически неустойчивой низкочастотной моды. В пределе слабостолкновительной плазмы ${{\nu }_{0}} \ll {{\omega }_{L}}$ инкремент апериодической неустойчивости линейно нарастает с увеличением частоты столкновений, что соответствует асимптотической формуле (11). Инкремент имеет максимум, составляющий несколько десятков процентов от электронной плазменной частоты ${{\omega }_{L}}$, который достигается для частот столкновений ${{\nu }_{0}}$ близких к ${{\omega }_{L}}$. В плазме с частыми столкновениями ${{\nu }_{0}} \gg {{\omega }_{L}}$ инкремент убывает обратно пропорционально ${{\nu }_{0}}$ (см. также асимптотику (12)). Сплошная кривая на рис. 4, построенная для энергии фотоэлектронов $0.5$ эВ не попадающей в интервал ${{\Delta }_{{II}}}$ апериодической неустойчивости низкочастотной моды, описывает сильно затухающие возмущения.
Рис. 4.
Зависимость мнимой части безразмерной частоты $\omega _{2}^{{''}}{\text{/}}{{\omega }_{L}}$ низкочастотной моды от безразмерной частоты столкновений ${{\nu }_{0}}{\text{/}}{{\omega }_{L}}$ для тех же значений энергии фотоэлектронов, что и на рис. 3 (обозначения кривых совпадают с использованными на рис. 3).

Подводя итог разделам 5.1, 5.2, на рис. 5 в плоскости параметров – безразмерной частоты столкновений ${{\nu }_{0}}{\text{/}}{{\omega }_{L}}$ и энергии фотоэлектрона $m{{{v}}^{2}}{\text{/}}2$ представлены области неустойчивости и линии уровня инкрементов высокочастотной ${{\gamma }_{1}}$ (область I) и низкочастотной ${{\gamma }_{2}}$ (область II) мод фотоионизованной плазмы в длинноволновом пределе. Низкочастотная мода является апериодически неустойчивой при любых значениях частоты столкновений в интервале энергий фотоэлектрона ${{\Delta }_{{II}}}$. Положение границы области неустойчивости ${{\gamma }_{2}} = 0$, изображенной толстыми кривыми, практически не зависит от частоты столкновений. Численные значения, нанесенные около линий уровня указывают абсолютные значения безразмерного инкремента ${{\gamma }_{2}}{\text{/}}{{\omega }_{L}}$. Рисунок 5 демонстрирует, что наиболее эффективно апериодическая неустойчивость развивается в плазме с энергией фотоэлектронов близкой к 1 эВ и частотой столкновений, попадающей в достаточно широкий интервал значений, сравнимых с электронной ленгмюровской частотой. Инкремент неустойчивости при этом составляет несколько десятков процентов от ${{\omega }_{L}}$. Максимальный инкремент ${{\gamma }_{{{\text{2,max}}}}} \approx 0.56{{\omega }_{L}}$ реализуется при $m{{{v}}^{2}}{\text{/}}2 \approx 0.89$ и ${{\nu }_{0}} \approx 1.15{{\omega }_{L}}$.
Рис. 5.
Области неустойчивости и линии уровня безразмерных инкрементов ${{\gamma }_{{1,2}}}{\text{/}}{{\omega }_{L}}$ высокочастотной (I) и низкочастотной (II) мод фотоионизованной плазмы в длинноволновом пределе в плоскости безразмерной частоты столкновений ${{\nu }_{0}}{\text{/}}{{\omega }_{L}}$ и энергии фотоэлектронов $m{{{v}}^{2}}{\text{/}}2$.

Неустойчивость высокочастотной волны в длинноволновом пределе реализуется в значительно более компактной области I сравнительно небольших значений энергии фотоэлектронов ${{\Delta }_{I}}$ и частоты их столкновений ${{\nu }_{0}} < 0.8{{\omega }_{L}}$. Эта область изображена в крупном масштабе в левой части рис. 5. Максимальное значение инкремента неустойчивости высокочастотной волны ${{\gamma }_{{{\text{1,max}}}}} \approx $ $ \approx 0.094{{\omega }_{L}}$ заметно меньше максимального инкремента низкочастотной апериодической неустойчивости и реализуется при $m{{{v}}^{2}}{\text{/}}2 \approx 0.5$ эВ и ${{\nu }_{0}} \approx 0.3{{\omega }_{L}}$.
6. СВОЙСТВА ПОПЕРЕЧНЫХ МОД С КОНЕЧНОЙ ДЛИНОЙ ВОЛНЫ
Переходя к анализу решений дисперсионного уравнения (6) для конечных значений волнового числа, остановимся как на предельных случаях, допускающих асимптотическое аналитическое решение, так и представим результаты численного анализа для типичных параметров плазмы в общем случае.
6.1. Высокочастотная электромагнитная неустойчивость
В области высоких частот, когда столкновения фотоэлектронов сравнительно редки и выполнено неравенство
в линейном приближении по частоте столкновений дисперсионное уравнение (6) принимает следующий вид:(14)
${{k}^{2}}{{c}^{2}} - {{\omega }^{2}} + \omega _{L}^{2}\left[ {1 - i\frac{{{{\nu }_{0}}}}{\omega }\left( {\frac{\beta }{3} + 1} \right)} \right] = 0.$(15)
$\begin{gathered} \omega = \pm \sqrt {\omega _{L}^{2} + {{k}^{2}}{{c}^{2}}} - i\frac{{{{\nu }_{0}}}}{2}\frac{{\beta {\text{/}}3 + 1}}{{1 + {{{\left( {kc{\text{/}}{{\omega }_{L}}} \right)}}^{2}}}}, \\ \frac{{\nu {{{v}}_{0}}}}{2}\left| {\frac{\beta }{3} + 1} \right| \ll \max \left\{ {{{\omega }_{L}};\frac{{{{k}^{3}}{{c}^{3}}}}{{\omega _{L}^{2}}}} \right\}. \\ \end{gathered} $(16)
$\omega = kc - i\frac{{{{\nu }_{0}}}}{2}\frac{{\omega _{L}^{2}}}{{{{k}^{2}}{{c}^{2}}}}\left( {\frac{\beta }{3} + 1} \right),\quad \frac{{\nu {{{v}}_{0}}}}{2}\left| {\frac{\beta }{3} + 1} \right| \ll \frac{{{{k}^{3}}{{c}^{3}}}}{{\omega _{L}^{2}}}.$Рисунок 6 иллюстрирует зависимости от волнового числа вещественной и мнимой частей частоты волны, отвечающей высокочастотному решению дисперсионного уравнения (6) в условиях возможного увеличения ее амплитуды из-за развития неустойчивости при $m{{{v}}^{2}}{\text{/}}2$ = 0.5 эВ. Рассмотрены различные значения отношения частоты столкновений к электронной ленгмюровской частоте: ${{\nu }_{0}}{\text{/}}{{\omega }_{L}}$ = 0.5 (пунктирные кривые), $0.3$ (сплошные кривые), $0.6$ (штрихпунктирные кривые), $0.9$ (штриховые кривые), $1.2$ (кривые со штрихом и двумя точками). Первые три кривые для мнимой части частоты демонстрируют тот факт, что при не очень больших частотах столкновений неустойчивость реализуется при любых значениях волновых чисел. Причем для сравнительно редких столкновений, когда ${{\nu }_{0}} < 0.3{{\omega }_{L}}$ максимальный инкремент достигается в длинноволновом пределе при $k = 0$. Для чуть больших частот столкновений $0.3{{\omega }_{L}} < {{\nu }_{0}} < 0.8{{\omega }_{L}}$ наиболее эффективно нарастают волны с конечными значениями волновых чисел, также увеличивающимися вместе с ${{\nu }_{0}}$. Две последние кривые демонстрируют, что дальнейшее увеличение ${{\nu }_{0}}$ сопровождается стабилизацией длинных волн, декремент затухания которых быстро нарастает по мере роста ${{\nu }_{0}}$. Напротив, короткие волны по прежнему сохраняют тенденцию к усилению с повышением частоты столкновений. В области малых $k$ вещественная часть частоты близка к электронной ленгмюровской частоте, слабо нарастая с ростом ${{\nu }_{0}}$. Закон дисперсии коротких высокочастотных волн практически не зависит от частоты столкновений и отвечает поперечной электромагнитной волне с частотой пропорциональной $k$ и фазовой скоростью, немного большей скорости света $c$.
Рис. 6.
Зависимости безразмерных вещественной $\omega _{1}^{'}{\text{/}}{{\omega }_{L}}$ и мнимой $\omega _{1}^{{''}}{\text{/}}{{\omega }_{L}}$ частей частоты высокочастотной волны от безразмерного волнового числа $kc{\text{/}}{{\omega }_{L}}$ в плазме с энергией фотоэлектронов $m{v}_{0}^{2}{\text{/}}2$ = = 0.5 эВ. Кривые построены для следующих значений отношения частоты столкновений к электронной ленгмюровской частоте: ${{\nu }_{0}}{\text{/}}{{\omega }_{L}} = 0.05$ (пунктирные кривые), $0.3$ (сплошные кривые), $0.6$ (штрихпунктирные кривые), $0.9$ (штриховые кривые), $1.2$ (кривые со штрихом и двумя точками).

На рис. 7 в плоскости безразмерных волнового числа $kc{\text{/}}{{\omega }_{L}}$ и частоты столкновений ${{\nu }_{0}}{\text{/}}{{\omega }_{L}}$ представлена область неустойчивости и линии уровня инкремента высокочастотной волны в плазме с той же энергией фотоэлектронов, что и на рис. 6. Согласно рис. 7 при заданном $k$ неустойчивость высокочастотной волны реализуется в ограниченном интервале частот столкновений фотоэлектронов от нуля до некоторого максимального значения. Указанный интервал неустойчивости постепенно расширяется в сторону больших ${{\nu }_{0}}$ при уменьшении длины волны. Максимальное значение инкремента при выбранной энергии фотоэлектрона составляет ${{\gamma }_{{{\text{1,max}}}}} \approx 0.094{{\omega }_{L}}$ и достигается в длинноволновом пределе $k = 0$ при ${{\nu }_{0}} \approx 0.3{{\omega }_{L}}$. В области коротких волн инкремент неустойчивости высокочастотной волны мал по сравнению с ${{\omega }_{L}}$.
Рис. 7.
Область неустойчивости и линии уровня безразмерного инкремента ${{\gamma }_{1}}{\text{/}}{{\omega }_{L}}$ высокочастотной волны в плазме с энергией фотоэлектронов $m{{{v}}^{2}}{\text{/}}2$ = 0.5 эВ в плоскости безразмерных волнового числа $kc{\text{/}}{{\omega }_{L}}$ и частоты столкновений ${{\nu }_{0}}{\text{/}}{{\omega }_{L}}$.

6.2. Подавление апериодической неустойчивости в коротковолновой области
В этом разделе показано, что уменьшение длины волны приводит к стабилизации низкочастотной неустойчивой моды. В пределе редких столкновений уравнение (6) позволяет установить влияние слабой пространственной дисперсии на инкремент апериодической неустойчивости низкочастотной моды (11)
(17)
$\begin{gathered} {{\omega }_{2}} = i{\kern 1pt} {{\nu }_{0}}\left( {\frac{\beta }{3} - 1} \right)\left[ {1 - \frac{{{{k}^{2}}{{c}^{2}}}}{{\omega _{L}^{2}}}{{{\left( {1 - \frac{3}{\beta }} \right)}}^{{ - 2}}}} \right], \\ \nu ({{{v}}_{0}})\left| {\frac{\beta }{3} - 1} \right| \ll kc \ll {{\omega }_{L}}\left| {1 - \frac{3}{\beta }} \right|. \\ \end{gathered} $Еще один предельный случай, допускающий приближенное аналитическое решение уравнения (6) для низкочастотной моды – это случай частых столкновений фотоэлектронов и низкочастотных на этом фоне возмущений, когда выполнено противоположное (13) условие
Сохраняя в рамках неравенства (18) в дисперсионном уравнении (6) главный член по малому параметру $\omega {\text{/}}{{\nu }_{0}}$ получаем приближенное дисперсионное уравнение(19)
${{k}^{2}}{{c}^{2}} - {{\omega }^{2}} + i{\kern 1pt} \omega _{L}^{2}{\kern 1pt} \frac{\omega }{{{{\nu }_{0}}}}\left( {\frac{\beta }{3} - 1} \right) = 0.$(20)
$\begin{gathered} \omega = i{\kern 1pt} \frac{{\omega _{L}^{2}}}{{2{{\nu }_{0}}}}{\kern 1pt} \left( {\frac{\beta }{3} - 1} \right) + \sqrt {{{k}^{2}}{{c}^{2}} - {{{\left[ {\frac{{\omega _{L}^{2}}}{{2{{\nu }_{0}}}}\left( {\frac{\beta }{3} - 1} \right)} \right]}}^{2}}} , \\ {{\omega }_{L}}\sqrt {\frac{1}{2}\left| {\frac{\beta }{3} - 1} \right|} < kc \ll {{\nu }_{0}}. \\ \end{gathered} $Отвечающие асимптотическим формулам (17) и (20) особенности низкочастотной моды иллюстрирует рис. 8, полученный с использованием численного решения уравнения (6) для плазмы с энергией фотоэлектронов $m{{{v}}^{2}}{\text{/}}2$ = 2.87 эВ принадлежащей интервалу ${{\Delta }_{{II}}}$ (точка $C$ на рис. 2) и частотой столкновений ${{\nu }_{0}} = 0.8{{\omega }_{L}}$. Здесь представлены зависимости безразмерных вещественной $\omega _{2}^{'}{\text{/}}{{\omega }_{L}}$ (штриховая кривая) и мнимой $\omega _{2}^{{''}}{\text{/}}{{\omega }_{L}}$ (сплошная кривая) частей частоты низкочастотной моды от безразмерного волнового числа $kc{\text{/}}{{\omega }_{L}}$ в интервале сравнительно небольших значений $k$, для которых возможно развитие неустойчивости. Согласно рис. 8 в интервале малых волновых чисел $0 < k < {{k}_{a}}$ частота электромагнитной низкочастотной моды является чисто мнимой, что отвечает апериодической электромагнитной неустойчивости с положительным инкрементом ${{\gamma }_{2}} = \omega _{2}^{{''}} > 0$. С увеличением $k$ инкремент постепенно уменьшается. В интервале промежуточных значений ${{k}_{a}} < k < {{k}_{w}}$ неустойчивая мода отвечает волне, вещественная частота которой увеличивается, а инкремент снижается по мере роста волнового числа. В области больших волновых чисел $k > {{k}_{w}}$ рассматриваемая волна становится устойчивой с быстро нарастающим декрементом затухания. Для параметров плазмы, использованных при построении рис. 8, уже при $k \approx 0.75{\kern 1pt} {{\omega }_{L}}{\text{/}}c$ декремент сравнивается с обратным периодом волны ${\text{|}}\omega {\kern 1pt} '{\kern 1pt} '{\text{|}} \approx \omega {\kern 1pt} '{\text{/}}2\pi $, т. е. волна становится сильно затухающей.
Рис. 8.
Зависимости безразмерных вещественной $\omega _{2}^{'}{\text{/}}{{\omega }_{L}}$ (штриховая кривая) и мнимой $\omega _{2}^{{''}}{\text{/}}{{\omega }_{L}}$ (сплошная кривая) частей частоты низкочастотной моды в интервале безразмерных волновых чисел $kc{\text{/}}{{\omega }_{L}}$, при которых возможно развитие неустойчивости этой моды в плазме с энергией фотоэлектронов $m{{{v}}^{2}}{\text{/}}2$ = 2.87 эВ и частотой столкновений ${{\nu }_{0}} = 0.8{{\omega }_{L}}$.

Рисунок 9 демонстрирует область неустойчивости низкочастотной электромагнитной моды и линии уровня ее инкремента в плоскости безразмерных волнового числа $kc{\text{/}}{{\omega }_{L}}$ и частоты столкновений ${{\nu }_{0}}{\text{/}}{{\omega }_{L}}$ в плазме с той же энергией фотоэлектронов, что и на рис. 8. На вставке к этому рисунку схематически представлены три области. В области I: $0 < k < {{k}_{a}}({{\nu }_{0}})$ неустойчивость имеет апериодический характер. Именно в этой области инкремент достигает наибольших значений. Абсолютный максимум инкремента при выбранной энергии фотоэлектрона составляет ${{\gamma }_{{{\text{2,max}}}}} \approx 0.182{{\omega }_{L}}$ и достигается при $k = 0$ и ${{\nu }_{0}} \approx 1.017{{\omega }_{L}}$ (жирная точка на оси ординат). В области II: ${{k}_{a}}({{\nu }_{0}}) < k < {{k}_{w}}({{\nu }_{0}})$ низкочастотная мода отвечает неустойчивой электромагнитной волне с увеличивающейся по мере роста $k$ вещественной частотой и уменьшающимся инкрементом. Отметим, что с увеличением частоты столкновений фотоэлектронов интервал волновых чисел, в пределах которого реализуется апериодическая неустойчивость сужается, тогда как аналогичный интервал неустойчивости периодических волновых возмущений быстро расширяется. Для не очень больших частот столкновений ${{\nu }_{0}} < {{\omega }_{L}}$ верхняя граница области неустойчивости ${{k}_{w}}({{\nu }_{0}})$ в пространстве волновых чисел слабо меняется. Напротив, когда ${{\nu }_{0}} > {{\omega }_{L}}$ значение ${{k}_{w}}({{\nu }_{0}})$ возрастает прямо пропорционально ${{\nu }_{0}}$. Область III параметров плазмы соответствует устойчивой электромагнитной волне.
Рис. 9.
Области неустойчивости низкочастотной электромагнитной моды (I – апериодическая неустойчивость, II – область существования неустойчивой электромагнитной волны) и линии уровня ее безразмерного инкремента ${{\gamma }_{2}}{\text{/}}{{\omega }_{L}}$ в плоскости безразмерных волнового числа $kc{\text{/}}{{\omega }_{L}}$ и частоты столкновений ${{\nu }_{0}}{\text{/}}{{\omega }_{L}}$ в плазме с энергией фотоэлектронов $m{{{v}}^{2}}{\text{/}}2$ = 2.87 эВ.

6.3. Влияние частых столкновений фотоэлектронов с энергией в интервале ${{\Delta }_{{II}}}$ на свойства плазменных мод
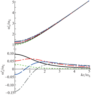
В этом разделе продемонстрировано влияние эффективной частоты столкновений электронов на свойства изучаемых мод и показано, что наиболее ярко оно проявляется в области волновых чисел $k \sim \max [{{\omega }_{L}},{{\nu }_{0}}]{\text{/}}c$ и для ${{\nu }_{0}} \sim {{\omega }_{L}}$. На рис. 10 в широком диапазоне волновых чисел представлены вещественные и мнимые части частот, отвечающие низко- и высокочастотному решениям дисперсионного уравнения (6), которые иллюстрируют два качественно различных случая: частоты столкновений фотоэлектронов меньшей их ленгмюровской частоты ${{\nu }_{0}} = 0.8{{\omega }_{L}}$ (рис. 10a и б) и соответственно большей ${{\nu }_{0}} = 1.2{{\omega }_{L}}$ (рис. 10в и г). Сплошные кривые отвечают моде, которая в длинноволновом пределе имеет меньшую по абсолютному значению частоту и при $k < {{k}_{a}}$ является апериодически неустойчивой с инкрементом, меньшим ${{\omega }_{L}}$. Поведение этой моды в области небольших волновых чисел $k \lesssim {{k}_{w}}$, отвечающих развитию неустойчивости, подробно рассмотрено при обсуждении рис. 8 и 9. Штриховые кривые на рис. 10 соответствуют волне, которая в длинноволновом пределе является обыкновенной поперечной волной с большей частотой, вещественная часть которой близка к ${{\omega }_{L}}$. Декремент этой волны в области небольших волновых чисел $k < \max [{{\omega }_{L}};{{\nu }_{0}}]{\text{/}}c$ по абсолютному значению незначительно превосходит частоту столкновений фотоэлектронов с атомами (на рис. 10б и г пунктирные прямые отвечают значению $\omega {\kern 1pt} '{\kern 1pt} ' = - {{\nu }_{0}}$). Таким образом, длинноволновая электромагнитная волна для выбранного значения энергии электронов оказывается слабо затухающей лишь в фотоионизованной плазме со сравнительно редкими столкновениями электронов ${{\nu }_{0}} \ll {{\omega }_{L}}$ (см., также рис. 3 и его обсуждение). Согласно рис. 10 в интервале небольших $k$ свойства обеих мод, как для частот столкновений меньших ${{\omega }_{L}}$, так и больших качественно сходны.
Рис. 10.
Зависимости безразмерных вещественных $\omega {\kern 1pt} '{\text{/}}{{\omega }_{L}}$ (a, в) и мнимых $\omega {\kern 1pt} '{\kern 1pt} '{\text{/}}{{\omega }_{L}}$ (б, г) частей частот мод, отвечающих двум различным решениям дисперсионного уравнения (6) от безразмерного волнового числа $kc{\text{/}}{{\omega }_{L}}$. Рисунки (a, б) построены для случая ${{\nu }_{0}} = 0.8{{\omega }_{L}}$, рисунки (в, г) – соответственно для ${{\nu }_{0}} = 1.2{{\omega }_{L}}$. Энергия фотоэлектронов та же, что и на рис. 8, 9.

В коротковолновой области поведение рассмотренных мод зависит от соотношения ${{\nu }_{0}}$ и ${{\omega }_{L}}$. В плазме с ${{\nu }_{0}} < {{\omega }_{L}}$ с увеличением волнового числа до значений $k \sim {{\omega }_{L}}{\text{/}}c$ вещественная часть частоты низкочастотной моды растет, не достигая в максимуме ${{\omega }_{L}}$ (см. рис. 10a). При дальнейшем увеличении $k$ частота $\omega {\kern 1pt} '$ убывает. Отрицательная мнимая часть частоты $\omega {\kern 1pt} '{\kern 1pt} '$ этой моды в коротковолновой области волновых чисел $k > {{\omega }_{L}}{\text{/}}c$ асимптотически стремится к значению $ - {{\nu }_{0}}$. Тем самым, в фотоионизованной плазме с не очень большой частотой столкновений электронов ${{\nu }_{0}} < {{\omega }_{L}}$ в области коротких волн с $k \gtrsim {{\omega }_{L}}{\text{/}}c$ низкочастотная мода является сильно затухающей волной с вещественной частотой меньшей ${{\omega }_{L}}$. Напротив, согласно рис. 10a и б высокочастотная волна в плазме с ${{\nu }_{0}} < {{\omega }_{L}}$ в коротковолновом диапазоне $k > {{\omega }_{L}}{\text{/}}c$ является слабо затухающей с декрементом уменьшающимся $ \sim {\kern 1pt} {{k}^{{ - 2}}}$ и растущей по линейному закону вещественной частотой (см. также асимптотику (16)). В сильно столкновительной плазме с ${{\nu }_{0}} > {{\omega }_{L}}$ низко- и высокочастотная в длинноволновой области моды при переходе в область коротких волн с $k > {{\nu }_{0}}{\text{/}}c$ “меняются местами”. Низкочастотная длинноволновая апериодически неустойчивая мода в области коротких волн становится слабо затухающей высокочастотной волной с нарастающей по линейному закону частотой, которая может превышать ${{\omega }_{L}}$ в несколько раз (сплошные линии на рис. 10в и г). В свою очередь, вещественная частота высокочастотной в длинноволновой области волны с ростом $k$ монотонно убывает от ${{\omega }_{L}}$ практически до нуля, а декремент этой моды по абсолютному значению во всем диапазоне $k$ оказывается сравним с частотой столкновений ${{\nu }_{0}}$ (штриховые линии на рис. 10в и г). Поэтому в сильно столкновительной плазме эта волна быстро затухает.
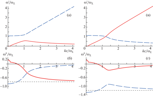
На рис. 11 в плоскости безразмерной комплексной частоты $\omega {\text{/}}{{\omega }_{L}} \equiv (\omega {\kern 1pt} '\; + i{\kern 1pt} \omega {\kern 1pt} '{\kern 1pt} '){\text{/}}{{\omega }_{L}}$ представлены кривые иллюстрирующие два различных решения дисперсионного уравнения (6) для плазмы с теми же значениями частоты столкновений фотоэлектронов что и на рис. 10: ${{\nu }_{0}} = 0.8{{\omega }_{L}}$ (рис. 11a) и ${{\nu }_{0}} = 1.2{{\omega }_{L}}$ (рис. 11б) и той же энергией фотоэлектронов, что на рис. 8–10. Жирные точки, с которых начинаются кривые отвечают значениям частот в длинноволновом пределе при $k = 0$. Стрелки вдоль кривых указывают направление роста волнового числа $k$. В нижней части рис. 11 приведены схематические вставки, демонстрирующие изменение характера поведения этих мод по мере увеличения отношения частоты столкновений электронов к их ленгмюровской частоте ${{\nu }_{0}}{\text{/}}{{\omega }_{L}} = 0.5$ (рис. 11в); $1$ (рис. 11г); $1.02$ (рис. 11д); 1.5 (рис. 11е). При любых конечных значениях частоты столкновений мнимая часть одной из двух мод является положительной для малых $k$ и отвечает инкременту неустойчивости $\gamma = \omega {\kern 1pt} '{\kern 1pt} ' > 0$ (сплошная кривая). В плазме с ${{\nu }_{0}} < {{\omega }_{L}}$ диапазоны вещественных частот низко- и высокочастотной мод не перекрываются для любых значений волнового числа (см. рис. 11a, в, г). Серым цветом на вставках рис. 11в–е показана область для $\omega {\kern 1pt} '{\kern 1pt} ' < 0$, в которой выполняется неравенство ${\text{|}}\omega {\kern 1pt} '{\text{|/}}2\pi < {\text{|}}\omega {\kern 1pt} '{\kern 1pt} '{\text{|}}$. Для устойчивых мод, попадающих в эту область, данное неравенство отвечает условию сильного затухания волны, когда ее период превосходит обратный декремент затухания. В плазме с не аномально малой частотой столкновений высокочастотная волна слабо затухает лишь в области частот много больших ${{\omega }_{L}}$ (штриховая кривая). Низкочастотная мода в области устойчивости практически сразу становится сильно затухающей. При превышении ${{\nu }_{0}}$ над ${{\omega }_{L}}$ моды перестраиваются и в интервале $ - {{\omega }_{L}} < \omega {\kern 1pt} ' < {{\omega }_{L}}$ существует две моды: одна из которых всегда является сильно затухающей (штриховая кривая), а вторая – неустойчива (сплошная кривая). Именно вторая мода переходит в слабо затухающую волну в области частот заметно превышающих ${{\omega }_{L}}$. Рисунок 11е указывает на возможность существования в сильно столкновительной плазме моды, которая неустойчива в области частот меньших электронной ленгмюровской и является слабо затухающей волной в остальной широкой области частот, как сравнимых, так и много больших ${{\omega }_{L}}$.
Рис. 11.
Кривые иллюстрирующие два решения дисперсионного уравнения (6) в плоскости безразмерной комплексной частоты $\omega {\text{/}}{{\omega }_{L}} \equiv (\omega {\kern 1pt} '\; + i{\kern 1pt} \omega {\kern 1pt} '{\kern 1pt} '){\text{/}}{{\omega }_{L}}$ для плазмы с частотой столкновений фотоэлектронов ${{\nu }_{0}} = 0.8{{\omega }_{L}}$ (a) и ${{\nu }_{0}} = 1.2{{\omega }_{L}}$ (б) и той же энергией фотоэлектронов, что на рис. 8–10. Вставки в нижней части рисунка демонстрируют изменение поведения этих мод при увеличении отношения частоты столкновений электронов к их ленгмюровской частоте ${{\nu }_{0}}{\text{/}}{{\omega }_{L}}$=0.5 (в); $1$ (г); $1.02$ (д); $1.5$ (е).

7. ЗАКЛЮЧЕНИЕ
Для неравновесной слабоионизованной плазмы, полученной в результате многофотонной ионизации атомов инертного газа коротким импульсом лазерного излучения аналитически и численно исследованы поперечные электронные моды. Новые свойства рассмотренных мод связаны с учетом эффекта Рамзауэра–Таунсенда, заключающемся в резкой немонотонной зависимости сечения упругого рассеяния электронов на нейтральных атомах именно в интервале типичных для многофотонной ионизации энергий фотоэлектронов. Показано, что при разных значениях энергии фотоэлектронов в рассматриваемой плазме возможно развитие двух различных видов электромагнитной неустойчивости. Первая из них – неустойчивость электромагнитной волны с вещественной частотой равной или большей электронной ленгмюровской частоты, реализующаяся в широком интервале длин волн в плазме со сравнительно небольшой средней энергией фотоэлектронов. Вторая – длинноволновая апериодическая электромагнитная неустойчивость с максимальным инкрементом, составляющим несколько десятков процентов от электронной легмюровской частоты, которая может развиваться в плазме со средней энергией фотоэлектронов попадающей в широкую область несколько больших значений энергии. Как в слабо, так и в сильно столкновительной фотоионизованной плазме в коротковолновой области существует слабо затухающая высокочастотная волна с линейным законом дисперсии и частотой, которая превышает электронную ленгмюровскую частоту. Для энергий фотоэлектронов меньших $1 {\text{эВ}}$ эта волна может нарастать по амплитуде. Тем самым, реализуются условия для усиления внешнего пробного электромагнитного излучения рассматриваемой фотоионизованной плазмой, в частности, в терагерцовом диапазоне частот.
Список литературы
Тимофеев А.В. // Физика плазмы. 2012. Т. 38. С. 87. [Timofeev A.V. // Plasma Phys. Rep. 2012. V. 38. P. 79. doi:10.1134/S1063780X11120099.]
Delone N.B., Krainov V.P. // JOSA B. 1991. V. 8. P. 1207. https://doi.org/10.1364/JOSAB.8.001207
McNaught S.J., Knauer J.P., Meyerhofer D.D. // Phys. Rev. Lett. 1997. V. 78. P. 626. https://doi.org/10.1103/PhysRevLett.78.626
Leemans W.P., Clayton C.E., Mori W.B., Marsh K.A., Kaw P.K., Dyson A., Joshi C., Wallace J.M. // Phys. Rev. A. 1992. V. 46. P. 1091. https://doi.org/10.1103/PhysRevA.46.1091
Мур В.Д., Попруженко С.В., Попов В.С. // ЖЭТФ. 2001. Т. 119. С. 893. [Mur V.D., Popruzhenko S.V., Po-pov V.S. // JETP. 2001. V. 92. P. 777. doi:10.1134/1.1378169.]
Huang C.K., Zhang C.J., Marsh K.A., Clayton C.E., Joshi C. // Plasma Phys. Control. Fusion. 2020. V. 62. P. 024011. https://doi.org/10.1088/1361-6587/ab61df
Agostini P., Fabre F., Mainfray G., Petite G., Rah-man N.K. // Phys. Rev. Lett. 1979. V. 47. P. 1127. https://doi.org/10.1103/PhysRevLett.42.1127
Petite G., Agostini P., Yergeau F. // JOSA B. 1987. V. 4. P. 765.
Muller H.G., van Linden van den Heuvell H.B., Agos-tini P., Petite G., Antonetti A., Franco M., Migus A. // Phys. Rev. Lett. 1988. V. 60. P. 565. https://doi.org/10.1103/PhysRevLett.60.565
Fabre F., Agostini P., Petite G., Clement M. // J. Phys. B: Atom. Mol. Phys. 1981. V. 14. P. L677. https://doi.org/10.1088/0022-3700/14/21/007
Gontier Y., Rahman N.K., Trahin M. // EPL. 1988. V. 5. P. 595. https://doi.org/10.1209/0295-5075/5/7/004
Marchenko T., Muller H.G., Schafer K.J., Vrak-king M.J.J. // J. Phys. B: At. Mol. Opt. Phys. 2010. V. 43. P. 185001. https://doi.org/10.1088/0953-4075/43/18/185001
Li M., Liu Y., Liu H., Yang Y., Yuan J., Liu X., Deng Y., Wu C., Gong Q. // Phys. Rev. A. 2012. V. 85. P. 013414. https://doi.org/10.1103/PhysRevA.85.013414
Zhang L., Miao Z., Zheng W., Zhong X., Wu C. // Chemical Physics. 2019. V. 523. P. 52.https://doi.org/10.1016/j.chemphys.2019.04.005
Вагин К.Ю., Урюпин С.А. // ЖЭТФ. 2010. Т. 138. С. 757. [Vagin K.Y., Uryupin S.A. // JETP. 2010. V. 111. P. 670. doi:10.1134/S1063776110100195.]
Вагин К.Ю., Романов А.Ю., Урюпин С.А. // Физика плазмы. 2012. Т. 38. С. 63. [Vagin K.Y., Romanov A.Y., Uryupin S.A. // Plasma Phys. Rep. 2012. V. 38. P. 57. doi:10.1134/S1063780X11120117.]
Вагин К.Ю., Урюпин С.А. // Физика плазмы. 2013. Т. 39. С. 759. [Vagin K.Y., Uryupin S.A. // Plasma Phys. Rep. 2013. V. 39. P. 674. doi:10.1134/S1063780X13080060.]
Вагин К.Ю., Урюпин С.А. // Физика плазмы. 2014. Т. 40. С. 468. [Vagin K.Y., Uryupin S.A. // Plasma Phys. Rep. 2014. V. 40. P. 393. doi:10.1134/S1063780X14040096.]
Vagin K.Yu., Uryupin S.A. // Phys. Lett. A. 2015. V. 379. P. 745. https://doi.org/10.1016/j.physleta.2014.12.025
Вагин К.Ю., Урюпин С.А. // Физика плазмы. 2015. Т. 41. С. 808. [Vagin K.Y., Uryupin S.A. // Plasma Phys. Rep. 2015. V. 41. P. 744. doi:10.1134/S1063780X15080103.]
Donko Z., Dyatko N. // Eur. Phys. J. D. 2016. V. 70. P. 135. https://doi.org/10.1140/epjd/e2016-60726-4
Vagin K.Y., Uryupin S.A. // J. Russ. Laser Res. 2016. V. 37. P. 473. https://doi.org/10.1007/s10946-016-9599-z
Bogatskaya A.V., Gnezdovskaia N.E., Volkova E.A., Po-pov A.M. // Plasma Sources Sci. Technol. 2020. V. 29. P. 105016. https://doi.org/10.1088/1361-6595/aba110
Богацкая А.В., Попов А.М. // Письма в ЖЭТФ. 2013. Т. 97. С. 453. [Bogatskaya A.V., Popov A.M. // JETP Lett. 2013. V. 97. P. 388. doi:10.1134/S0021364013070035.]
Bogatskaya A.V., Smetanin I.V., Volkova E.A., Po-pov A.M. // Laser and Particle Beams. 2015. V. 33. P. 17. https://doi.org/10.1017/S0263034614000755
Vagin K.Yu., Uryupin S.A. // Plasma Sources Sci. Technol. 2020. V. 29. P. 035005. https://doi.org/10.1088/1361-6595/ab5e28
Vagin K.Yu., Uryupin S.A. // Physics of Plasmas. 2020. V. 27. P. 112110. https://doi.org/10.1063/5.0023518
Bogatskaya A.V., Volkova E.A., Popov A.M. // Phys. Rev. E. 2021. V. 104. P. 025202. https://doi.org/10.1103/PhysRevE.104.025202
Hayashi M. // J. Phys. D: Appl. Phys. 1983. V. 16. P. 581. https://doi.org/0.1088/0022-3727/16/4/018
Hayashi M. Bibliography of electron and photon cross sections with atoms and molecules published in the 20th century. Xenon: Tech. Rep.: : National Inst. for Fusion Science, 2003.
Смирнов Б.М. Физика слабоионизованного газа: В задачах с решениями. М.: Наука, 1985. 424 c. [Smirnov B.M. Physics of ionized gases. New York: John Wiley & Sons, 2001.]
Vagin K.Yu., Mamontova T.V., Uryupin S.A. // Phys. Rev. A. 2020. V. 102. P. 023105. https://doi.org/10.1103/PhysRevA.102.023105
Lorentz H.A. // Arch. neerl. 1905. V. 10. P. 336. (see also Lorentz H.A. Collected Papers (Martinus Nijhoff, The Hague, 1936), Vol. III.)
Townsend J.S., Bailey V.A. // The London, Edinburgh, and Dublin Philosophical Magazine and Journal of Science. 1921. V. 42. P. 873.
Ramsauer C. // Annalen der Physik. 1921. V. 369. P. 513.
Brode R.B. // Reviews of Modern Physics. 1933. V. 5. P. 257.
Дополнительные материалы отсутствуют.


