Известия РАН. Серия физическая, 2019, T. 83, № 12, стр. 1680-1684
Активные нанообъекты, нейтрино и поле Хиггса в анизотропных моделях фрактальной космологии
В. С. Абрамов *
Государственное учреждение Донецкий физико-технический институт имени А.А. Галкина
Донецк, Украина
* E-mail: vsabramov2018@gmail.com
Поступила в редакцию 20.06.2019
После доработки 20.07.2019
Принята к публикации 27.08.2019
Аннотация
Исследуются взаимосвязи основных параметров активных нанообъектов (наночастицы, атомные дефекты, нейтрино) с бозоном Хиггса и полем Хиггса на основе моделей фрактальной космологии. Свойства активных нанообъектов зависят от давления, состояния физического вакуума и космологических параметров. Получены оценки предельной частоты вращения и размера наночастицы в лазерном поле с круговой поляризацией, массы покоя нейтрино.
ВВЕДЕНИЕ
Лауреатами Нобелевской премии по физике 2018 г. стали А. Ашкин, Ж. Муру и Д. Стрикленд за открытия в области лазерных технологий. А. Ашкин предложил использовать оптические ловушки, разработал технологию “оптического пинцета”, которая позволяет манипулировать нанообъектами с помощью лазера [1]. Ж. Муру и Д. Стрикленд изучали сжатие усиленных чирпированных оптических импульсов [2]. Для сжатия импульсов используется отражение от дифракционных решеток. При этом использование периодических структур и метаматериалов приводит к различным нелинейным эффектам. Фемтосекундная лазерная когерентная спектроскопия позволяет выявить особенности поведения активных объектов в таких нелинейных системах [3]. Эффективной экспериментальной методикой для изучения быстропротекающих динамических процессов, которая не требует использования дорогостоящего фемтосекундного лазерного оборудования, является техника некогерентного фотонного эха (см., например, [4–7]). В последние годы данная методика, наряду с классическими методами люминесцентной спектроскопии [8–10], активно используется для изучения наноразмерных излучателей – полупроводниковых квантовых точек [11–13]. В [14] в качестве активного объекта исследуется кварцевая наночастица в вакууме, захваченная в оптическую ловушку. При этом спиновый момент импульса лазерного света передается механическому угловому моменту частицы. Возникает вращение одиночных 100 нм частиц на частотах порядка 1 ГГц. Атомно-подобные дефекты в двумерном гексагональном нитриде бора (hBN) в последнее время стали перспективными для квантовой информатики. В [15] исследуется однофотонная квантовая эмиссия из атомных дефектов в нанотрубках нитрида бора (BNNT). Эта система проявляет высокую стабильность при комнатной температуре, что является привлекательным для создания различных оптико-механических приборов. С другой стороны, такие наночастицы [14, 15] являются модельными нанообъектами [16] для изучения физических свойств вакуума. Привлечение гипотезы иерархического строения Вселенной [17] дает возможность использовать эти экспериментальные результаты в космологии [18]: при исследовании анизотропных моделей фрактальных космологических объектов; сверхизлучения [19, 20], гравитационных волн, реликтовых фотонов от бинарных черных дыр, нейтронных звезд; природы частиц темной материи и темной энергии [21, 22], хиральных фрактальных структур Вселенной. Также возникает задача описания сверхбезизлучательных состояний различных полей: гравитационных, реликтовых фотонов, поля Хиггса, нейтринного поля, физического вакуума. При описании таких различных нелинейных физических моделей возникают особые точки (аттракторы), линии, поверхности, особые объемные структуры (странные аттракторы). Многие физические свойства вблизи указанных особенностей носят стохастический характер, возникает необходимость моделирования стохастических процессов [23]. Цель работы – исследование параметров активных нанообъектов и их связей с бозоном Хиггса, полем Хиггса на основе моделей фрактальной космологии.
ОПИСАНИЕ АКТИВНОГО МОДЕЛЬНОГО НАНООБЪЕКТА
Для описания основных характеристик модельной наночастицы используем связи энергий покоя бозона Хиггса ${{E}_{{H0}}}$ = 125.03238 ГэВ и гравитационного поля ${{E}_{G}}$ = 12.11753067 мкэВ из работ [19, 20]:
(1)
$\begin{gathered} {{{{E}_{{H0}}}} \mathord{\left/ {\vphantom {{{{E}_{{H0}}}} {{{E}_{G}}}}} \right. \kern-0em} {{{E}_{G}}}} = {{{\nu }_{{H0}}^{ * }} \mathord{\left/ {\vphantom {{{\nu }_{{H0}}^{ * }} {{{{\nu }}_{{G0}}}}}} \right. \kern-0em} {{{{\nu }}_{{G0}}}}} = {{N}_{{HG}}}; \\ {{{{E}_{G}}} \mathord{\left/ {\vphantom {{{{E}_{G}}} {{{{\nu }}_{{G0}}}}}} \right. \kern-0em} {{{{\nu }}_{{G0}}}}} = {{{{E}_{{H0}}}} \mathord{\left/ {\vphantom {{{{E}_{{H0}}}} {{\nu }_{{H0}}^{ * }}}} \right. \kern-0em} {{\nu }_{{H0}}^{ * }}} = 2{\pi }\hbar . \\ \end{gathered} $Здесь $\hbar $ – постоянная Планка. С учетом выражений (1) находим параметр ${{N}_{{HG}}}$ = 1.031830522 · 1016. Численные значения характерных частот равны ${{{\nu }}_{{G0}}}$ = $2.9304515\,\,{\text{ГГц,}}$ ${\nu }_{{H0}}^{ * }$ = 3.0237293 ⋅ 1025 Гц. Далее находим частоты гравитона ${{{\nu }}_{G}} = {{{{{\nu }}_{{G0}}}} \mathord{\left/ {\vphantom {{{{{\nu }}_{{G0}}}} {{{N}_{a}}}}} \right. \kern-0em} {{{N}_{a}}}}$ = = 4.8634664 ⋅ 10–15 Гц и эффективного бозона Хиггса ${{{\nu }}_{{H0}}} = {{{\nu }_{{H0}}^{ * }} \mathord{\left/ {\vphantom {{{\nu }_{{H0}}^{ * }} {{{N}_{a}}}}} \right. \kern-0em} {{{N}_{a}}}}$ = $50.182731\,\,{\text{Гц}}$ (${{N}_{a}}$ – число Авогадро). Для ускоренно расширяющейся Вселенной в [17] получены основные связи параметра ${{\left| {{{{\xi }}_{{0H}}}} \right|}^{2}}$ с массами покоя эффективного атома ${{m}_{H}}$ и бозона Хиггса ${{M}_{{H0}}}$ в виде
(2)
$\begin{gathered} {{\left| {{{{\xi }}_{{0H}}}} \right|}^{2}} = {{{{m}_{H}}} \mathord{\left/ {\vphantom {{{{m}_{H}}} {{{M}_{{H0}}}}}} \right. \kern-0em} {{{M}_{{H0}}}}} = {{{{M}_{H}}} \mathord{\left/ {\vphantom {{{{M}_{H}}} {{{m}_{{H0}}}}}} \right. \kern-0em} {{{m}_{{H0}}}}} = {{{{E}_{H}}} \mathord{\left/ {\vphantom {{{{E}_{H}}} {{{E}_{{H0}}}}}} \right. \kern-0em} {{{E}_{{H0}}}}} = \\ = {{{{R}_{H}}} \mathord{\left/ {\vphantom {{{{R}_{H}}} {{{R}_{{H0}}}}}} \right. \kern-0em} {{{R}_{{H0}}}}};\,\,\,\,{{M}_{{Ha}}} = {{N}_{a}}{{M}_{H}};\,\,\,\,M_{{H0}}^{'} = {{N}_{a}}{{m}_{{H0}}}; \\ {{R}_{H}} = {{2G{{M}_{{Ha}}}} \mathord{\left/ {\vphantom {{2G{{M}_{{Ha}}}} {c_{0}^{2}}}} \right. \kern-0em} {c_{0}^{2}}};\,\,\,\,{{R}_{{H0}}} = {{2GM_{{H0}}^{'}} \mathord{\left/ {\vphantom {{2GM_{{H0}}^{'}} {c_{0}^{2}}}} \right. \kern-0em} {c_{0}^{2}}}. \\ \end{gathered} $Здесь ${{M}_{H}}{\kern 1pt} \, = \,{\kern 1pt} {{N}_{a}}{{m}_{H}}$ и ${{m}_{{H0}}}{\kern 1pt} \, = \,{\kern 1pt} {{N}_{a}}{{M}_{{H0}}}{\kern 1pt} $ – молярные массы эффективного атома и бозона Хиггса; ${{E}_{H}}$ = = $22.73090194\,\,{\text{ГэВ}}$ – энергия покоя эффективного атома; ${{R}_{H}}$ = $21.84067257\,\,{\text{мкм,}}$ ${{R}_{{H0}}}$ = = $120.1356321\,\,{\text{мкм}}$ допускают интерпретацию радиусов Шварцшильда черных дыр с массами ${{M}_{{Ha}}},$ $M_{{H0}}^{'};$ $G$ – гравитационная постоянная Ньютона; ${{c}_{0}}$ – скорость света в вакууме. Численные значения основных спектральных параметров теории [17] равны
(3)
$\begin{gathered} \left| {S_{{01}}^{'}} \right| = 0.039541282,\,\,\,\,S_{{02}}^{'} = 0.03409, \\ S_{{03}}^{'} = 0.460458718,\,\,\,\,S_{{04}}^{'} = 0.53409. \\ \end{gathered} $Радиусы ${{R}_{H}},$ ${{R}_{{H0}}}$ являются характерными параметрами, которые необходимо учитывать при моделировании активных микрообъектов и их использовании в лазерных нанотехнологиях. Возникает необходимость захвата, движения, перемещения, вращения наночастиц лазерным полем. В [14] вращение наночастицы в форме гантели достигалось лазером с круговой поляризацией. Лазер с линейной поляризацией заставляет вибрировать наночастицу. В нашей модели для оценки предельной частоты вращения наночастицы используем выражение ${{{\nu }}_{{rot}}}$ = $2{{Q}_{{H3}}}{\text{|}}{{{\chi }}_{{ef}}}{\text{|}}{{{\nu }}_{{G0}}}.$ Здесь параметр ${{Q}_{{H3}}}$ определяет положения точки перегиба для функции QG, локального минимума для функции VQ, нуля функции AQ из работы [17] для модели ускоренно расширяющейся Вселенной. Параметр $\left| {{{{\chi }}_{{ef}}}} \right|$ описывает эффективную восприимчивость в анизотропной модели фрактальных космологических объектов [19]. Далее находим оценку νrot = 1.0285631 ГГц, которая близка к частоте 1.029 ГГц при давлении ${\text{7}}.{\text{2}} \cdot {{10}^{{ - 6}}}\,\,{\text{мбар}}$ из эксперимента [14]. Частота вращения также зависит от давления. В [15] при давлении $1.1 \cdot {{10}^{{ - 5}}}\,\,{\text{мбар}}$ фиксируется сигнал при 1.31 ГГц, что соответствует частоте вращения 655 МГц. В нашей модели частота вращения ${\nu }_{{с2}}^{'}$ и плотность холодной темной материи $\Omega _{{с2}}^{'}$ определены в [19]:
(4)
$\begin{gathered} {\nu }_{{с2}}^{'} = \Omega _{{с2}}^{'}{{{\nu }}_{{G0}}};\,\,\,\,\Omega _{{с2}}^{'} = {{{\nu }_{{{\gamma }b}}^{2}} \mathord{\left/ {\vphantom {{{\nu }_{{{\gamma }b}}^{2}} 4}} \right. \kern-0em} 4}{{\left| {\lambda } \right|}^{2}}N; \\ \upsilon _{{{\gamma }b}}^{2} = {{\upsilon _{0}^{2}} \mathord{\left/ {\vphantom {{\upsilon _{0}^{2}} {\Omega _{{с2}}^{'}}}} \right. \kern-0em} {\Omega _{{с2}}^{'}}}. \\ \end{gathered} $Здесь частота ${{{\nu }}_{{{\gamma }b}}}$ = $3.9749732\,\,{\text{ГГц,}}$ $\Omega _{{с2}}^{'}$ = 0.2240917, эффективная скорость Ферми ${{\upsilon }_{{{\gamma }b}}}$ = 14.343536 · · 106 см · см–1, связанная с нейтронными звездами; скорость ${{\upsilon }_{0}}$ = $6.783540245 \cdot {{10}^{6}}\,\,{\text{см}} \cdot {{{\text{с}}}^{{ - {\text{1}}}}}$ в модели плоской космологии. Оценки частот ${\nu }_{{с2}}^{'}$ = = $656.6899\,\,{\text{МГц,}}$ $2{\nu }_{{с2}}^{'}$ = $1.3133798\,\,{\text{ГГц}}$ на основе (4) близки к значениям частот из [14]. Это указывает на существенную роль давления при изменении частоты вращения наночастицы, зависимости ее свойств от состояния физического вакуума и космологических параметров.
Для описания других характеристик модельного нанообъекта запишем выражения для основных энергий
(5)
$\begin{gathered} {{E}_{{g0j}}} = z_{{\mu }}^{'}{{{\varepsilon }}_{{G0j}}};\,\,\,\,{{{\varepsilon }}_{{G0j}}} = N_{{0j}}^{'}{{E}_{G}}{{\left| {{{{\xi }}_{{0H}}}} \right|}^{2}} = {{n}_{G}}{{{\varepsilon }}_{{{\mu }0j}}}; \\ j = 0,1,2. \\ \end{gathered} $Здесь $z_{{\mu }}^{'}$ – космологическое красное смещение; ${{n}_{G}} = 3$ – число квантов, которые переносятся гравитационными волнами; параметры $N_{{0j}}^{'}$ учитывают наличие бозе-конденсата и поля Хиггса из работ [17, 19, 20]. Отметим, что энергия Eg00 = = 5.9166956 эВ близка к энергетической щели 5.95 эВ для атомных дефектов в нанотрубках нитрида бора (BNNT) [15], из которых наблюдали эмиссию отдельных фотонов. На основе (5), (3) находим спектры
(6)
$\begin{gathered} {{\varepsilon }_{{g0x}}} = {{E}_{{g00}}}S_{{0x}}^{'};\,\,{{\varepsilon }_{{g1x}}} = {{E}_{{g01}}}S_{{0x}}^{'};\,\,{{\varepsilon }_{{g2x}}} = {{E}_{{g02}}}S_{{0x}}^{'}; \\ x = 1,2,3,4. \\ \end{gathered} $Спектр (6) позволяет определить средний диаметр точечного дефекта da, рамановский сдвиг 1/λRS в спектре BNNT по формулам
(7)
$\begin{gathered} 2{{d}_{a}} = {{{\lambda }}_{{g24}}}\left| {{{{\chi }}_{{ef}}}} \right|;\,\,{{{\lambda }}_{{RS}}} = 2{\pi }{{n}_{G}}(1 + {{\Omega }_{{0{\nu }}}}){{{\lambda }}_{{g14}}}; \\ {{{\lambda }}_{{g24}}} = {{{{a}_{{\lambda }}}} \mathord{\left/ {\vphantom {{{{a}_{{\lambda }}}} {{{{\varepsilon }}_{{g24}}}}}} \right. \kern-0em} {{{{\varepsilon }}_{{g24}}}}};\,\,{{{\lambda }}_{{g14}}} = {{{{a}_{{\lambda }}}} \mathord{\left/ {\vphantom {{{{a}_{{\lambda }}}} {{{{\varepsilon }}_{{g14}}}}}} \right. \kern-0em} {{{{\varepsilon }}_{{g14}}}}}. \\ \end{gathered} $Здесь постоянный параметр aλ = 1239644.01 мэВ · нм, плотность нейтрино ${{\Omega }_{{0{\nu }}}}$ = $0.002939801$ [19, 20]. Численные значения ${{d}_{a}}$ = $49.892844\,\,{\text{нм}}$ и $2{{d}_{a}}$ = = $99.785688\,\,{\text{нм}}$ близки к средним оценкам размеров наночастиц 50 [15] и 100 нм [14]. Рамановский сдвиг ${{{\lambda }}_{{RS}}}$ = $7304.6019\,\,{\text{нм}}$ практически совпадает со значением ${1 \mathord{\left/ {\vphantom {1 {{{{\lambda }}_{{RS}}}}}} \right. \kern-0em} {{{{\lambda }}_{{RS}}}}}$ = $1369\,\,{\text{с}}{{{\text{м}}}^{{ - {\text{1}}}}}$ [15]. Далее находим разность энергий между ветвями спектра (6) ${\delta }{{{\varepsilon }}_{{g1}}} = {{{\varepsilon }}_{{g13}}} - {{{\varepsilon }}_{{g12}}} - {{{\varepsilon }}_{{g21}}}$ = $2330.8865\,\,{\text{мэВ}}$ и длину волны ${{{\lambda }}_{{{\delta 1}}}} = {{{{a}_{{\lambda }}}} \mathord{\left/ {\vphantom {{{{a}_{{\lambda }}}} {{\delta }{{{\varepsilon }}_{{g1}}}}}} \right. \kern-0em} {{\delta }{{{\varepsilon }}_{{g1}}}}}$ = $531.8337\,\,{\text{нм}}{\text{.}}$ Указанный переход между ветвями спектра с длиной волны ${{{\lambda }}_{{{\delta 1}}}}$ близок к длине волны 532 нм возбуждающего зеленого лазера из [15]. Переход с разностью энергий ${{{\delta }{{{\varepsilon }}_{{g1}}}} \mathord{\left/ {\vphantom {{{\delta }{{{\varepsilon }}_{{g1}}}} 2}} \right. \kern-0em} 2}$ = $1165.4433\,\,{\text{мэВ}}$ и длиной волны $2{{{\lambda }}_{{{\delta }1}}}$ = = $1063.6674\,\,{\text{нм}}$ близок к длине волны 1064 нм лазера из [15] для оптической модуляции. В [15] были получены два различных дефекта в BNNT (два эмиттера) для наблюдения фотолюминесценции. Максимальное излучение отдельных фотонов из этих эмиттеров было получено на длинах волн 571 и 569 нм. В нашей модели разности энергий между ветвями спектра (6) ${\delta }{{{\varepsilon }}_{{g2}}}$ = ${{{\varepsilon }}_{{g13}}} - 3{{{\varepsilon }}_{{g22}}},$ ${\delta }{{{\varepsilon }}_{{g3}}} = {{{\varepsilon }}_{{g13}}}$ – $3{{{\varepsilon }}_{{g22}}} + {{{\varepsilon }}_{{g11}}} - {{{\varepsilon }}_{{g21}}}$ и соответствующие длины волн ${{{\lambda }}_{{{\delta }2}}} = {{{{a}_{{\lambda }}}} \mathord{\left/ {\vphantom {{{{a}_{{\lambda }}}} {{\delta }{{{\varepsilon }}_{{g2}}}}}} \right. \kern-0em} {{\delta }{{{\varepsilon }}_{{g2}}}}}$ = 571.19225 нм, ${{{\lambda }}_{{{\delta }3}}} = {{{{a}_{{\lambda }}}} \mathord{\left/ {\vphantom {{{{a}_{{\lambda }}}} {{\delta }{{{\varepsilon }}_{{g3}}}}}} \right. \kern-0em} {{\delta }{{{\varepsilon }}_{{g3}}}}}$ = = $569.3036\,\,{\text{нм}}$ близки к этим данным.
Ветви спектров ${{{\varepsilon }}_{{{\nu }jx}}} = {{{\varepsilon }}_{{{\mu }0j}}}S_{{0x}}^{'}$ (${{{\varepsilon }}_{{{\mu }00}}}$ = 274.52425 мэВ, ${{{\varepsilon }}_{{{\mu }01}}}$ = $278.71592\,\,{\text{мэВ,}}$ ${{{\varepsilon }}_{{{\mu }02}}}$ = $270.26756\,\,{\text{мэВ}}$) находятся внутри запрещенной зоны спектра (6) и зависят от температуры. Стабильная квантовая эмиссия фотонов наблюдается в широкой области температур, включая комнатную. Оценка верхней границы температуры ${{T}_{{{\nu }s}}} = {{a}_{T}}({{{\varepsilon }}_{{{\nu }13}}} + {{{\varepsilon }}_{{{\nu }12}}})$ = = $799.84687\,\,{\text{К}}$ близка к оценке 800 К из [15], где ${{a}_{T}}$ = $5.802778417\,\,{\text{К}} \cdot {\text{мэ}}{{{\text{В}}}^{{ - 1}}}.$
ПОЛЕ ХИГГСА
В рамках нашей анизотропной модели [19, 20] основными параметрами являются ${{\left| {{{{\xi }}_{{0H}}}} \right|}^{2}} = {{{\chi }}_{{11}}}$ и ${{\left( {{\xi }_{0}^{'}} \right)}^{2}} = {{N_{{01}}^{'}} \mathord{\left/ {\vphantom {{N_{{01}}^{'}} {N_{{02}}^{'}}}} \right. \kern-0em} {N_{{02}}^{'}}}.$ Для компонент тензора ${{{\hat {\chi }}}_{{ef}}}$ используем обозначения из работ [19, 20]. Операторы ${{\hat {n}}_{{{\xi }0}}}$ и $\hat {n}{{_{{}}^{ + }}_{{{\xi }0}}}$ описывают основное и возбужденное состояния бозонного поля Хиггса. Усредненные значения ${{n}_{{{\xi }0}}} = \left\langle {{{{\hat {n}}}_{{{\xi }0}}}} \right\rangle $ и $n_{{{\xi }0}}^{'} = \left\langle {\hat {n}{{{_{{}}^{ + }}}_{{{\xi }0}}}} \right\rangle $ определяются выражениями вида
(8)
$\begin{gathered} n_{{{\xi }0}}^{'} - {{n}_{{{\xi }0}}} = 1;\,\,{{n}_{{{\xi }0}}} = {{k}_{{\mu }}}\left| {{{{\chi }}_{{ef}}}} \right| \cdot {{\left| {{{{\xi }}_{{0H}}}} \right|}^{2}}{\text{cn(}}{{u}_{{\mu }}}{\text{;}}\,{{k}_{{\mu }}}{\text{)}}; \\ n_{{{\xi }0}}^{'} = {{\left( {{\xi }_{0}^{'}} \right)}^{2}}. \\ \end{gathered} $Если использовать из [19, 20] численные значения компонентов восприимчивости ${{{\chi }}_{{21}}},$ ${{{\chi }}_{{11}}},$ то получим численное значение nξ0 = χ21ξ11 = 0.031259246. В общем случае $\left| {{{{\chi }}_{{ef}}}} \right| = {{{{n}_{{0u}}}} \mathord{\left/ {\vphantom {{{{n}_{{0u}}}} {{\chi }{}_{{11}}}}} \right. \kern-0em} {{\chi }{}_{{11}}}}$ является нелинейной функцией от ${{n}_{{{\xi }0}}}$ и допустимо представление
(9)
$\begin{gathered} {{n}_{{0u}}} = \sqrt 2 {{\left\{ {{\chi }_{{11}}^{4} - {{n}_{{{\xi }0}}}\left( {{\chi }_{{11}}^{2} - {{n}_{{{\xi }0}}}} \right)} \right\}}^{{{1 \mathord{\left/ {\vphantom {1 2}} \right. \kern-0em} 2}}}}; \\ {{n}_{{{\xi }0}}} = {{k}_{{\mu }}}{{n}_{{0u}}}{\text{cn(}}{{u}_{{\mu }}};\,{{k}_{{\mu }}}{\text{)}}. \\ \end{gathered} $Из (9) следует: число квантов ${{n}_{{{\xi }0}}} = {{n}_{{0u}}}{\text{sech(}}{{u}_{{\mu }}}{\text{)}}$ при ${{k}_{{\mu }}} = 1;$ ${{n}_{{{\xi }0}}} = 0$ при ${{k}_{{\mu }}} = 0$ или при ${\text{cn(}}{{u}_{{\mu }}}{\text{;}}\,{{k}_{{\mu }}}{\text{)}} = {\text{0}}{\text{.}}$ Если ввести параметры ${{S}_{{2u}}},$ ${{S}_{{1u}}}$ соотношениями
(10)
$\begin{gathered} {{S}_{{2u}}} = {\chi }_{{11}}^{2};\,\,\left| {{{S}_{{1u}}}} \right| = \sqrt 2 {{S}_{{2u}}};\,\,{{S}_{{4u}}} = 0.5 + {{S}_{{2u}}}; \\ {{S}_{{3u}}} = 0.5 - \left| {{{S}_{{1u}}}} \right|, \\ \end{gathered} $то находим основное нелинейное уравнение для функции ${{n}_{{0u}}}$ от ${{n}_{{{\xi }0}}},$ которое дает возможность выбора знака у различных ветвей
(11)
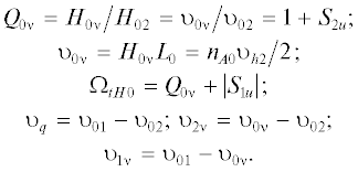
$n_{{0u}}^{2}{{\left| {{{S}_{{1u}}}} \right|}^{{ - 2}}} + {{n}_{{{\xi }0}}}({{S}_{{2u}}} - {{n}_{{{\xi }0}}})S_{{2u}}^{{ - 2}} = 1.$На основе численного значения ${{{\chi }}_{{11}}}$ из [19, 20] и выражений (10) получим численные значения параметров ${{S}_{{2u}}} = 0.033051284,$ $\left| {{{S}_{{1u}}}} \right| = 0.046741575,$ ${{S}_{{3u}}} = 0.453258425,$ ${{S}_{{4u}}} = 0.533051284.$ По аналогии с [17] введем постоянную Хаббла ${{H}_{{0{\nu }}}},$ основной параметр теории ${{Q}_{{0{\nu }}}}$ соотношениями
На основе численных значений ${{H}_{{02}}},$ ${{\upsilon }_{{02}}},$ ${{H}_{{01}}},$ ${{\upsilon }_{{01}}},$ ${{L}_{0}},$ ${{n}_{{A0}}}$ из [17], параметров ${{S}_{{2u}}},$ $\left| {{{S}_{{1u}}}} \right|$ и выражений (12) находим численные значения: ${{Q}_{{0{\nu }}}}$ = 1.033051284; скоростей ${{\upsilon }_{{0{\nu }}}}$ = $7.2743002 \cdot {{10}^{6}}\,\,{\text{см}} \cdot {{{\text{с}}}^{{ - {\text{1}}}}},$ ${{\upsilon }_{{h2}}}$ = = $2.506364 \cdot {{10}^{5}}\,\,{\text{см}} \cdot {{{\text{с}}}^{{ - {\text{1}}}}};$ полную плотность Вселенной (нормированную на критическую плотность) ${{\Omega }_{{tH0}}} = 1.079792859;$ разности скоростей ${{\upsilon }_{q}}$ = = $2.784326 \cdot {{10}^{5}}\,\,{\text{см}} \cdot {{{\text{с}}}^{{ - {\text{1}}}}};$ ${{\upsilon }_{{2{\nu }}}}$ = 2.3273284 · см · с–1; ${{\upsilon }_{{1{\nu }}}}$ = $4.5699756 \cdot {{10}^{4}}\,\,{\text{см}} \cdot {{{\text{с}}}^{{ - {\text{1}}}}}.$ Отметим, что скорость υ0ν связана с характерной скоростью υh2 через основной параметр ${{n}_{{A0}}}$ (который определяет спектр чисел заполнения) для черных дыр.
Числа квантов $n_{F}^{'},$ ${{n}_{F}}$ для частиц Ферми типа из [19, 20] также являются нелинейными функциями от числа квантов поля Хиггса $n_{{{\xi }0}}^{'},$ ${{n}_{{{\xi }0}}}$
(13)
$\begin{gathered} n_{F}^{'} = {{({{S}_{{2u}}} - {{n}_{{{\xi }0}}})} \mathord{\left/ {\vphantom {{({{S}_{{2u}}} - {{n}_{{{\xi }0}}})} {{{S}_{{2u}}}}}} \right. \kern-0em} {{{S}_{{2u}}}}};\,\,{{n}_{F}} = {{{{n}_{{{\xi }0}}}} \mathord{\left/ {\vphantom {{{{n}_{{{\xi }0}}}} {{{S}_{{2u}}}}}} \right. \kern-0em} {{{S}_{{2u}}}}}; \\ n_{F}^{'} + {{n}_{F}} = 1. \\ \end{gathered} $Из (13) следует, что плотность нейтрино ${{\Omega }_{{0{\nu }}}},$ определенная в [19, 20], также является нелинейной функцией от числа квантов поля Хиггса
(14)
$\begin{gathered} {{\Omega }_{{0{\nu }}}} = {{\left( {n_{F}^{'}} \right)}^{2}} = {{{{{\left( {{{Q}_{{0{\nu }}}} - n_{{{\xi }0}}^{'}} \right)}}^{2}}} \mathord{\left/ {\vphantom {{{{{\left( {{{Q}_{{0{\nu }}}} - n_{{{\xi }0}}^{'}} \right)}}^{2}}} {S_{{2u}}^{2}}}} \right. \kern-0em} {S_{{2u}}^{2}}} = \\ = {{{{{({{\upsilon }_{{2{\nu }}}} - {{n}_{{{\xi }0}}}{{\upsilon }_{{02}}})}}^{2}}} \mathord{\left/ {\vphantom {{{{{({{\upsilon }_{{2{\nu }}}} - {{n}_{{{\xi }0}}}{{\upsilon }_{{02}}})}}^{2}}} {\upsilon _{{2{\nu }}}^{2}}}} \right. \kern-0em} {\upsilon _{{2{\nu }}}^{2}}}. \\ \end{gathered} $Учет зависимости ${{\upsilon }_{{0{\nu }}}}$ от ${{n}_{{A0}}}$ из (12) дает возможность записать (14) в виде
где ${{N}_{{h2}}} = {{2{{\upsilon }_{{02}}}} \mathord{\left/ {\vphantom {{2{{\upsilon }_{{02}}}} {{{\upsilon }_{{h2}}}}}} \right. \kern-0em} {{{\upsilon }_{{h2}}}}}$ = 56.18950363, ${{n}_{{0{\nu }}}} = {{n}_{{A0}}} - {{N}_{{h2}}}$ = = $1.857135243.$ Выражения (15) определяют плотность нейтрино ${{\Omega }_{{0{\nu }}}}$ как функцию от числа квантов черной дыры ${{n}_{{A0}}},$ числа квантов поля Хиггса $n_{{{\xi }0}}^{'},$ ${{n}_{{{\xi }0}}}$ и параметров ${{N}_{{h2}}},$ ${{n}_{{0{\nu }}}}.$ Из (14), (15) можно получить предельные значения для плотности нейтрино: ${{\Omega }_{{0{\nu }}}} = 0.002939801$ при $n_{{{\xi }0}}^{'} = 1 + {{{\chi }}_{{21}}}{{{\chi }}_{{11}}}$ = = $1.031259246;$ ${{\Omega }_{{0{\nu }}}} = 0$ либо при $n_{{{\xi }0}}^{'} = {{Q}_{{0{\nu }}}}$ = = $1.033051284,$ либо при ${{\upsilon }_{{2{\nu }}}} = {{n}_{{{\xi }0}}}{{\upsilon }_{{02}}},$ либо при ${{n}_{{A0}}} = n_{{{\xi }0}}^{'}{{N}_{{h2}}},$ либо при ${{n}_{{0{\nu }}}} = {{n}_{{{\xi }0}}}{{N}_{{h2}}};$ ${{\Omega }_{{0{\nu }}}} = 1$ либо при ${{Q}_{{0{\nu }}}} - n_{{{\xi }0}}^{'} = {{S}_{{2u}}},$ либо при ${{n}_{{{\xi }0}}} = 0,$ либо при $n_{{{\xi }0}}^{'} = 1.$ Это указывает на возможное гистерезисное поведение плотности нейтрино как функции от указанных аргументов. В работах [19, 20] была получена связь ${{n}_{{A0}}}$ с космологическим красным смещением $z_{{\mu }}^{'}$ в виде ${{{{n}_{{A0}}} + 3} \mathord{\left/ {\vphantom {{{{n}_{{A0}}} + 3} 4}} \right. \kern-0em} 4}$ = $z_{{\mu }}^{'}\left( {z_{{\mu }}^{'} + 1} \right).$ Это позволяет записать зависимость (11) в общем виде(16)
$\begin{gathered} n_{{0u}}^{2}n_{{0u0}}^{{ - 2}} - {{(n{}_{{{\xi }0}} - {{n}_{{2u}}})}^{2}}{{(2{{n}_{{2u}}})}^{{ - 2}}} = z_{{\mu }}^{'}\left( {z{{{_{{\mu }}^{'}}}_{{\mu }}} + 1} \right) - \\ - \,{{n}_{{A0}}} = {{{{n}_{Q}}} \mathord{\left/ {\vphantom {{{{n}_{Q}}} {{{n}_{g}}}}} \right. \kern-0em} {{{n}_{g}}}};\,\,{{n}_{{2u}}} = {{{{S}_{{2u}}}} \mathord{\left/ {\vphantom {{{{S}_{{2u}}}} 2}} \right. \kern-0em} 2};\,\,{{n}_{{0u0}}} = \left| {{{S}_{{1u}}}} \right|; \\ {{n}_{g}} = {{n_{{0u0}}^{2}} \mathord{\left/ {\vphantom {{n_{{0u0}}^{2}} {n_{{2u}}^{2}}}} \right. \kern-0em} {n_{{2u}}^{2}}};\,\,{{n}_{Q}} = 2{{n}_{G}} = 2\left\langle {{{{\hat {c}}}_{G}}\hat {c}_{G}^{ + }} \right\rangle . \\ \end{gathered} $Здесь ${{n}_{g}} = 8,$ ${{n}_{Q}} = 6,$ ${{n}_{G}} = \left\langle {{{{\hat {c}}}_{G}}\hat {c}_{G}^{ + }} \right\rangle = 3$ и $n_{G}^{'}$ = = $\left\langle {\hat {c}_{G}^{ + }{{{\hat {c}}}_{G}}} \right\rangle = 2$ допускают интерпретацию как числа квантов глюонного, кваркового, возбужденного и основного состояний гравитационного поля, соответственно. При этом выражения (16) строго переходят в выражения (11), (14), (15). В общем случае из (16) следуют другие возможные зависимости числа квантов ${{n}_{{0u}}},$ ${{n}_{g}}$ как от числа квантов поля Хиггса $n{}_{{{\xi }0}}{\text{,}}$ так и от числа квантов для черных дыр ${{n}_{{A0}}},$ космологического красного смещения $z_{{\mu }}^{'}.$ Возникают функции, зависящие от трех аргументов, что характерно для объемных фрактальных структур Вселенной. Так, например, из (16) можно получить зависимость для числа квантов глюонного поля ${{n}_{g}}$ = ${{2{{n}_{G}}} \mathord{\left/ {\vphantom {{2{{n}_{G}}} {\left[ {z_{{\mu }}^{'}\left( {z_{{\mu }}^{'} + 1} \right) - {{n}_{{A0}}}} \right]}}} \right. \kern-0em} {\left[ {z_{{\mu }}^{'}\left( {z_{{\mu }}^{'} + 1} \right) - {{n}_{{A0}}}} \right]}}$ при заданном ${{n}_{G}} = 3$ как функцию от двух аргументов $z_{{\mu }}^{'},$ ${{n}_{{A0}}}.$
СВЯЗИ ПАРАМЕТРОВ НЕЙТРИНО С БОЗОНОМ ХИГГСА
Для описания параметров нейтрино (чисел солнечных ${{N}_{{0{\nu }}}}$ и электронных ${{N}_{{e{\nu }}}}$ нейтрино; массы ${{m}_{{HG}}}$ и энергии ${{{\varepsilon }}_{{HG}}}$ покоя нейтрино) и их связей с параметрами бозона Хиггса используем анизотропную модель [19, 20] и выражения (1), (2), (16). Находим уравнения для характерной энергии ${{E}_{{H{\nu }}}}$
(17)
$\begin{gathered} {{2{{E}_{{H0}}}} \mathord{\left/ {\vphantom {{2{{E}_{{H0}}}} {{{E}_{{e{\nu }}}}}}} \right. \kern-0em} {{{E}_{{e{\nu }}}}}} = {{2{{E}_{H}}} \mathord{\left/ {\vphantom {{2{{E}_{H}}} {{{{\varepsilon }}_{{e{\nu }}}}}}} \right. \kern-0em} {{{{\varepsilon }}_{{e{\nu }}}}}} = z_{{\mu }}^{'} + 0.5; \\ {{E}_{{e{\nu }}}} = {{N}_{{e{\nu }}}}{{E}_{{H{\nu }}}};\,\,{{N}_{{e{\nu }}}} = {{{{N}_{{0{\nu }}}}} \mathord{\left/ {\vphantom {{{{N}_{{0{\nu }}}}} {{{n}_{G}}}}} \right. \kern-0em} {{{n}_{G}}}}. \\ \end{gathered} $Здесь численные значения ${{n}_{G}} = 3,$ ${{N}_{{e{\nu }}}}$ = = $1.9997054 \cdot {{10}^{{10}}},$ ${{N}_{{0{\nu }}}}$ = $5.9991163 \cdot {{10}^{{10}}};$ энергии ${{E}_{{H{\nu }}}}$ = $1627.3796\,\,{\text{мэВ,}}$ ${{E}_{{e{\nu }}}}$ = $32.542799\,\,{\text{ГэВ,}}$ ${{{\varepsilon }}_{{e{\nu }}}}$ = = $5.9162848\,\,{\text{ГэВ}}{\text{.}}$ Отметим, что ранее детекторы регистрировали только электронные нейтрино. Создание детекторов следующего поколения позволило обнаружить вклады от нейтрино ${\mu }$ и ${\tau }$ в суммарное число солнечных нейтрино ${{N}_{{0{\nu }}}}.$
Действие тензора ${{{\hat {\chi }}}_{{ef}}}$ на энергию ${{E}_{{H{\nu }}}}$ приводит к тензору энергий ${{{\hat {\varepsilon }}}_{{H{\nu }}}} = {{{\hat {\chi }}}_{{ef}}}{{E}_{{H{\nu }}}}$ с компонентами ${{{\varepsilon }}_{{ij}}} = {{{\chi }}_{{ij}}}{{E}_{{H{\nu }}}}$ ($i,j = 1,2,3$). С учетом ${{{\chi }}_{{ij}}}$ из [19, 20] находим численные значения: ${{{\varepsilon }}_{{11}}}$ = 295.8578151 мэВ; ${{{\varepsilon }}_{{12}}}$ = = $ - 280.2758586\,\,{\text{мэВ;}}$ ${{{\varepsilon }}_{{13}}} = 0;$ ${{{\varepsilon }}_{{21}}}$ = 279.8164249 мэВ; ${{{\varepsilon }}_{{22}}}$ = $295.3728381\,\,{\text{мэВ;}}$ ${{{\varepsilon }}_{{23}}}$ = $ - 23.32509064\,\,{\text{мэВ;}}$ ${{{\varepsilon }}_{{31}}}$ = $16.04139021\,\,{\text{мэВ;}}$ ${{{\varepsilon }}_{{32}}}$ = $16.93321214\,\,{\text{мэВ;}}$ ${{{\varepsilon }}_{{33}}}$ = $406.8689518\,\,{\text{мэВ}}{\text{.}}$
Решение задачи о поиске собственных значений энергий ${{{\varepsilon }}_{R}}$ тензора энергии ${{{\hat {\varepsilon }}}_{{H{\nu }}}}$ приводит к нелинейному уравнению
(18)
$\begin{gathered} {{{\varepsilon }}_{{33}}} - {{{\varepsilon }}_{R}} = {{{\varepsilon }}_{{23}}}{{{\varepsilon }}_{{32}}} \times \\ \times \,\,{{({{{\varepsilon }}_{{R3}}} - {{{\varepsilon }}_{R}})} \mathord{\left/ {\vphantom {{({{{\varepsilon }}_{{R3}}} - {{{\varepsilon }}_{R}})} {\{ {{{[{{{\varepsilon }}_{R}} - 0.5({{{\varepsilon }}_{{11}}} + {{{\varepsilon }}_{{22}}})]}}^{2}} + {\varepsilon }_{{R{\gamma }}}^{2}\} }}} \right. \kern-0em} {\{ {{{[{{{\varepsilon }}_{R}} - 0.5({{{\varepsilon }}_{{11}}} + {{{\varepsilon }}_{{22}}})]}}^{2}} + {\varepsilon }_{{R{\gamma }}}^{2}\} }}; \\ {{{\varepsilon }}_{{HG}}} = {{\left| {{{{\varepsilon }}_{{21}}}{{{\varepsilon }}_{{12}}}} \right|}^{{{1 \mathord{\left/ {\vphantom {1 2}} \right. \kern-0em} 2}}}};\,\,{{{\varepsilon }}_{{R3}}} = {{{{{\left| {{{{\chi }}_{{ef}}}} \right|}}^{2}}{{E}_{{H{\nu }}}}} \mathord{\left/ {\vphantom {{{{{\left| {{{{\chi }}_{{ef}}}} \right|}}^{2}}{{E}_{{H{\nu }}}}} {{{{\left| {{{{\xi }}_{{0H}}}} \right|}}^{2}}}}} \right. \kern-0em} {{{{\left| {{{{\xi }}_{{0H}}}} \right|}}^{2}}}}; \\ 2~{{{\varepsilon }}_{{R{\gamma }}}} = {{[4\left| {{{{\varepsilon }}_{{21}}}{{{\varepsilon }}_{{12}}}} \right| - {{({{{\varepsilon }}_{{11}}} - {{{\varepsilon }}_{{22}}})}^{2}}]}^{{{1 \mathord{\left/ {\vphantom {1 2}} \right. \kern-0em} 2}}}}. \\ \end{gathered} $На основе (18) находим численные значения: энергии покоя нейтрино ${{{\varepsilon }}_{{HG}}}$ = $280.0460475\,\,{\text{мэВ;}}$ энергий ${{{\varepsilon }}_{{R{\gamma }}}}$ = $280.0459426\,\,{\text{мэВ,}}$ ${{{\varepsilon }}_{{R3}}}$ = $561.3723777\,\,{\text{мэВ}}{\text{.}}$ Выбор знаков ${{{\varepsilon }}_{{21}}},$ ${{{\varepsilon }}_{{12}}}$ (или ${{{\varepsilon }}_{{23}}},$ ${{{\varepsilon }}_{{32}}}$) определяется знаками ${{k}_{{\mu }}},$ $k_{{\mu }}^{'}$ и значением угла ${{{\varphi }}_{{\mu }}}.$ Если ${{{\varepsilon }}_{{{\text{21}}}}}{{{\varepsilon }}_{{{\text{12}}}}} < 0,$ то ${\varepsilon }_{{HG}}^{2} = - {{{\varepsilon }}_{{{\text{21}}}}}{{{\varepsilon }}_{{{\text{12}}}}},$ при этом $2{{{\varepsilon }}_{{R{\gamma }}}}$ из (18) заменяется на $2{\varepsilon }_{{R{\gamma }}}^{ * }$ = ${{\left[ {{{{({{{\varepsilon }}_{{{\text{11}}}}} - {{{\varepsilon }}_{{{\text{22}}}}})}}^{2}} + 4{\varepsilon }_{{HG}}^{2}} \right]}^{{{1 \mathord{\left/ {\vphantom {1 2}} \right. \kern-0em} 2}}}}.$ Численное значение ${\varepsilon }_{{R{\gamma }}}^{ * }$ = $280.0461525\,\,{\text{мэВ}}{\text{.}}$ На основе энергии покоя нейтрино ${{{\varepsilon }}_{{HG}}}$ и $z_{{\mu }}^{'}$ можно определить характерную энергию ${{{\varepsilon }}_{{z{\mu }}}} = {{z_{{\mu }}^{'}(z_{{\mu }}^{'} + 2){{{\varepsilon }}_{{HG}}}} \mathord{\left/ {\vphantom {{z_{{\mu }}^{'}(z_{{\mu }}^{'} + 2){{{\varepsilon }}_{{HG}}}} 4}} \right. \kern-0em} 4}$ = 4.61941696 эВ, которую можно рассматривать как энергию коррелированного (когерентного) состояния поля, связанного с $z_{{\mu }}^{'}$ для реликтового излучения. На основе спектров ${{{\varepsilon }}_{{iHG}}}$ = $2{{{\varepsilon }}_{{HG}}}S_{{0i}}^{'},$ ${\varepsilon }_{{iHG}}^{'}$ = $2\left| {{{{\chi }}_{{ef}}}} \right|{{{\varepsilon }}_{{HG}}}S_{{0i}}^{'}$ ($i = 1,2,3,4$) можно получить энергии ${\varepsilon }_{{HG}}^{ * },$ ${\varepsilon }_{{2HG}}^{'}$ из
(19)
$\begin{gathered} {\varepsilon }_{{HG}}^{ * } = {{{\varepsilon }}_{{HG}}} + {\varepsilon }_{{2HG}}^{'};\,\,{{\left( {{\varepsilon }_{{HG}}^{ * }} \right)}^{2}} - {\varepsilon }_{{HG}}^{2} = \\ = z_{{HG}}^{'}\left( {z_{{HG}}^{'} + 2} \right){\varepsilon }_{{HG}}^{2};\,\,z_{{HG}}^{'} = {{{\varepsilon }_{{2HG}}^{'}} \mathord{\left/ {\vphantom {{{\varepsilon }_{{2HG}}^{'}} {{{{\varepsilon }}_{{HG}}}}}} \right. \kern-0em} {{{{\varepsilon }}_{{HG}}}}}. \\ \end{gathered} $Численные значения равны ${\varepsilon }_{{HG}}^{ * }$ = 284.8275525 мэВ, ${\varepsilon }_{{2HG}}^{'}$ = $4.781504961\,\,{\text{мэВ}}{\text{.}}$ Параметр $z_{{HG}}^{'}$ = 0.017073996 $\left[ {z_{{HG}}^{'} < z_{{\mu }}^{'}} \right]$ допускает интерпретацию как космологического красного смещения для нейтринного поля. Разность квадратов энергий ${{\left( {{\varepsilon }_{{HG}}^{ * }} \right)}^{2}} - {\varepsilon }_{{HG}}^{2}$ = = $2700.94592\,\,мэ{{В}^{2}}$ практически совпадает с данными $2.7 \cdot {{10}^{{ - 3}}}\,\,э{{В}^{2}}$ по нейтринным осцилляциям из [24, 25]. Эти эксперименты доказали существование массы покоя у нейтрино и возможность смены типа нейтрино. В нашей модели нейтрино с энергией покоя ${{{\varepsilon }}_{{HG}}}$ сменяется на нейтрино с энергией покоя ${\varepsilon }_{{HG}}^{ * }$ из-за наличия $z_{{HG}}^{'}.$
ЗАКЛЮЧЕНИЕ
Предложено описание связей параметров модельного нанообъекта и фрактальных космологических объектов. В качестве активного нанообъекта рассмотрена кварцевая наночастица, захваченная в оптическую ловушку и помещенная в вакуум. Получены оценки размера этой наночастицы и предельной частоты вращения в лазерном поле с круговой поляризацией. Показано, что частота вращения зависит от свойств физического вакуума. Для нанообъектов (атомные дефекты в нанотрубках нитрида бора) получены оценки длин волн квантовой эмиссии отдельных фотонов. Получены зависимости компонент тензора ${{{\hat {\chi }}}_{{ef}}}$ как функций от числа квантов поля Хиггса, черных дыр (возможно гистерезисное поведение плотности нейтрино как функции от этих аргументов). Зависимость от $z_{{\mu }}^{'}$ приводит к нелинейным функциям от трех аргументов. Установлена связь параметров нейтрино с бозоном и полем Хиггса, выполнены оценки чисел, массы и энергии покоя нейтрино.
Список литературы
Ashkin A. Optical trapping and manipulation of neutral particles using lasers. World Scientific Publishing Company, 2006. 940 p.
Strickland D., Mourou D. // Opt. Commun. 1985. V. 56. № 3. P. 219.
Самарцев В.В., Никифоров В.Г. Фемтосекундная лазерная спектроскопия. М.: Тровант, 2017. 401 с.
Вайнер Ю.Г., Кольченко М.А., Наумов А.В. // ФТТ. 2003. Т. 45. № 2. С. 215; Vainer Yu.G., Kol’chenko M.A., Naumov A.V. // Phys. Sol. St. 2003. V. 45. № 2. P. 224.
Samartsev V.V., Shegeda A.M., Shkalikov A.V. et al. // Las. Phys. Lett. 2007. V. 4. № 7. P. 534.
Каримуллин К.Р., Князев М.В., Наумов А.В. // Изв. РАН. Сер. физ. 2014. Т. 78. № 12. С. 1539; Karimullin K.R., Knyazev M.V., Naumov A.V. // Bull. Russ. Acad. Sci. Phys. 2014. V. 78. № 12. P. 1254.
Knyazev M.V., Karimullin K.R., Naumov A.V. // Phys. Stat. Sol. RRL. 2017. V. 11. № 3. Art. № 1600414.
Магарян К.А., Каримуллин К.Р., Васильева И.А., Наумов А.В. // Опт. и спектроск. 2019. Т. 126. № 1. С. 50; Magaryan K.A., Karimullin K.R., Vasil’eva I.A., Naumov A.V. // Opt. Spectrosс. 2019. V. 126. № 1. P. 41.
Magaryan K.A., Mikhailov M.A., Karimullin K.R. et al. // J. Lumin. 2016. V. 169B. P. 799.
Каримуллин К.Р., Аржанов А.И., Наумов А.В. // Изв. РАН. Сер. физ. 2017. Т. 81. № 12. С. 1581; Karimullin K.R., Naumov A.V., Arzhanov A.I. // Bull. Rus. Acad. Sci. Phys. 2017. V. 81. № 12. P. 1396.
Karimullin K.R., Knyazev M.V., Arzhanov A.I. et al. // J. Phys. Conf. Ser. 2017. V. 859. Art. № 012010.
Аржанов А.И., Каримуллин К.Р., Наумов А.В. // Кр. сообщ. по физ. Физ. ин-та им. П.Н. Лебедева РАН. 2018. Т. 45. № 3. С. 39; Arzhanov A.I., Karimullin K.R., Naumov A.V. // Bull. Lebedev Phys. Inst. 2018. V. 45. № 3. P. 91.
Каримуллин К.Р., Аржанов А.И., Наумов А.В. // Изв. РАН. Сер. физ. 2018. Т. 82. № 11. С. 1620; Karimullin K.R., Arzhanov A.I., Naumov A.V. // Bull. Russ. Acad. Sci. Phys. V. 82. № 11. P. 1620.
Reimann R., Doderer M., Hebestreit E. et al. // arXiv: 1803.11160v2. 2018.
Ahn J., Xu Z., Bang J. et al. // arXiv:1806.06146v1. 2018.
Абрамов В.С. // Изв. РАН. Сер. физ. 2018. Т. 82. № 8. С. 164; Abramov V.S. // Bull. Russ. Acad. Sci. Phys. 2018. V. 82. № 8. P. 1062.
Abramov V.S. // CMSIM J. 2017. № 4. P. 441.
El Naschie M.S. // J. Mod. Phys. 2016. V. 7. P. 1420.
Абрамов В.С. // Изв. РАН. Сер. физ. 2019. Т. 83. № 1. С. 138; Abramov V.S. // Bull. Russ. Acad. Sci. Phys. 2019. V. 83. № 3. P. 364.
Abramov V.S. // in the book 11th Chaotic Modeling and Simulation International Conference. Berlin: Springer, 2019. P. 14.
Hooper D. // Dark Universe. 2012. № 1. P. 1.
Suh P.K. // IJARPS. 2018. № 5. P. 19.
Abramova O.P., Abramov A.V. // CMSIM J. 2017. № 2. P. 169.
Fukuda Y. et al. (Super-Kamiokande Collaboration) // Phys. Rev. Lett. 1998. V. 81. № 8. P. 1562.
Ahmad Q.R. et al. (SNO Collaboration) // Phys. Rev. Lett. 2002. V. 89. № 1. Art. № 011301.
Дополнительные материалы отсутствуют.
Инструменты
Известия РАН. Серия физическая




