Известия РАН. Серия физическая, 2019, T. 83, № 12, стр. 1612-1617
Повышение энергетической эффективности дифракционных оптических элементов для задач трехмерной наноскопии
Д. В. Прокопова 1, 2, *, Е. Н. Воронцов 1, С. П. Котова 1, Н. Н. Лосевский 1, С. А. Самагин 1, И. Т. Мынжасаров 3, А. А. Горшелев 3, 4, И. Ю. Еремчев 3, 4, А. В. Наумов 4, 5
1 Федеральное государственное бюджетное учреждение науки Физический институт имени П.Н. Лебедева
Российской академии наук, Самарский филиал
Самара, Россия
2 Федеральное государственное автономное образовательное учреждение высшего образования
“Самарский национальный исследовательский университет имени академика С.П. Королева”
Самара, Россия
3 Федеральное государственное автономное образовательное учреждение высшего образования
“Московский физико-технический институт (национальный исследовательский университет)”
Долгопрудный, Россия
4 Федеральное государственное бюджетное учреждение науки Институт спектроскопии Российской академии наук
Москва, Россия
5 Федеральное государственное бюджетное образовательное учреждение высшего образования
“Московский педагогический государственный университет”
Москва, Россия
* E-mail: prokopovadv@gmail.com
Поступила в редакцию 20.06.2019
После доработки 20.07.2019
Принята к публикации 27.08.2019
Аннотация
Исследуется возможность повышения энергетической эффективности дифракционных оптических элементов (ДОЭ), формирующих двухлепестковые световые поля, распределение интенсивности которых поворачивается при распространении. Такие ДОЭ используются в микроскопии сверхвысокого разрешения для модификации функции рассеяния точечного источника света путем фазовой пространственной модуляции светового пучка, что позволяет реконструировать с нанометровой точностью все три пространственные координаты точечных излучающих объектов. Повышение энергетической эффективности дифракционных оптических элементов необходимо для увеличения точности локализации точечных излучателей в продольном направлении (вдоль оси Z).
ВВЕДЕНИЕ
Флуоресцентная микроскопия сверхвысокого пространственного разрешения (дальнеполевая оптическая наноскопия) является чрезвычайно востребованным инструментом для исследований в биологии, медицине, материаловедении, химической физике и физике твердого тела. Значительная часть методов дальнеполевой оптической наноскопии основана на детектировании изображений большого числа одиночных светящихся точечных объектов-меток с последующим восстановлением их пространственных координат с нанометровой точностью, существенно превосходящей дифракционный предел [1, 2].
Начиная с момента своего появления и вплоть до самого последнего времени флуоресцентная наноскопия с детектированием одиночных люминесцентных маркеров обеспечивала сверхвысокое разрешение только в плоскости образца. В то же время, существует множество задач, требующих восстановления с субдифракционной точностью всех трех координат одиночных точечных излучателей. Так, например, сверхвысокое пространственное разрешение по всем трем координатам требуется для исследования процессов диполь-дипольного взаимодействия между близко расположенными одиночными молекулами [3]; статистики фотонов излучения отдельных молекул и их малых ансамблей [4]; процессов безызлучательного переноса энергии [5, 6]; (при-)поверхностных, и интерфейсных эффектов [7]; зондирования и картирования локальных полей [8, 9] и низкотемпературной колебательной динамики [10]; трекинга одиночных излучающих наночастиц в пористых наноматериалах [11] и для решения множества других задач.
Для увеличения пространственного разрешения флуоресцентных микроскопов в продольном направлении (вдоль оси Z) предложен ряд методов [12], один из которых заключается в модификации функции рассеяния точки (ФРТ) (англ., point spread function, PSF), формируемой оптической системой микроскопа таким образом, чтобы при дефокусировке (изменении расстояния от излучателя до фокальной плоскости объектива микроскопа) изображение точечного источника изменялось определенным образом. Для модификации ФРТ в оптическую схему стандартного микроскопа необходимо добавить несколько оптических элементов. Среди них ключевую роль играет дифракционный оптический элемент, представляющий из себя пространственно-распределенную структуру – фазовую маску, в каждой точке которой происходит заданное преобразование фазы светового поля. Активное развитие в последние годы инструментальной базы адаптивной оптики (на основе матриц подвижных микрозеркал, жидкокристаллических матриц) делает такое преобразование световых полей относительно простым для реализации в эксперименте. Ключевой в данном направлении становится задача расчета (численного моделирования) сложных ДОЭ (фазовых масок) для заданного преобразования световых полей.
В технике флуоресцентной микроскопии методы пространственного преобразования фазы световых пучков позволяют получить высокую точность при трехмерной локализации одиночных точечных излучателей (люминесцирующих органических молекул, полупроводниковых квантовых точек). Из регистрируемого изображения точечного источника посредством последующей специальной компьютерной обработки извлекается информация о пространственном положении источника с точностью, превышающей предел дифракции. Изменения изображения при дефокусировке должны быть значительными, чтобы получаемому изображению можно было однозначно сопоставить определенное положение точечного излучателя в продольном направлении. Чем сильнее будут различаться изображения источника при дефокусировке на одну и ту же величину, тем выше будет точность локализации положения источника по оси Z.
В настоящее время существует несколько подходов к модификации ФРТ оптической системы микроскопа [13]. Один из них состоит в том, что добавляемый в оптическую систему ДОЭ позволяет преобразовать изображение точечного источника (функцию Эйри) в два пятна (двухлепестковую функцию), вращающиеся при дефокусировке вокруг середины соединяющего их отрезка [14]. Предварительно измерив зависимость, связывающую угол поворота двухлепестковой функции с расстоянием от точечного излучателя до фокальной плоскости объектива микроскопа (продольной координатой точечного излучателя), можно построить калибровочную кривую, по которой в дальнейшем определять продольное положение источника с субдифракционной точностью. Данная техника получила в англоязычной литературе название биспиральной (double-helix point spread function, DHPSF). Лучшие результаты, достигнутые к настоящему времени), демонстрируют возможность определения продольного положения излучателя с точностью до 10–20 нм [15].
При создании ДОЭ, формирующего световое поле, распределение интенсивности которого вращается при распространении вдоль оптической оси микроскопа, было бы логично в качестве начального приближения использовать поля, обладающие этим свойством. Свойством сохранения пространственной структуры распределения интенсивности с точностью до масштаба и поворота обладают спиральные пучки света [16–18]. В разрабатываемом нами подходе в качестве начального приближения при расчете фазовых ДОЭ для модификации ФРТ микроскопа используется фазовое распределение спирального пучка света [19]. В указанной работе были рассчитаны ДОЭ, позволяющие определить положение точечного источника на глубинах (по отношению к фокальной плоскости) вплоть до ±1.5 мкм. При этом для стандартных точечных излучателей (люминесцирующих органических молекул, полупроводниковых квантовых точек, флуоресцирующих наночастиц различной природы и химического состава) при экспозиции от нескольких сотен мс могла быть достигнута точность определения продольной координаты вплоть до 30 нм.
Следует отметить, однако, что во многих случаях, требующих использования техники флуоресцентной 3D-наноскопии, в качестве объектов выступают тонкопленочные (несколько сотен нм) образцы. В этом случае сохранение структуры поля на протяжении большого диапазона не требуется, тогда как принципиальной становится задача повышения точности локализации положения точечного источника в продольном направлении (вдоль оси Z).
В рамках подхода DHPSF разрешение в продольном направлении можно повысить за счет целенаправленного создания ДОЭ с заданными характеристиками преобразования световых пучков. Так, можно рассчитать ДОЭ, который позволяет увеличить характерное расстояние между пятнами в полученном двухлепестковом изображении точечного излучателя. В этом случае для раздельного детектирования неперекрывающихся изображений многих излучателей в общем случае потребуется уменьшение их концентрации в образце. Данное ограничение становится особенно критичным, если нет дополнительного способа стохастического или целенаправленного возбуждения/гашения свечения отдельных излучателей.
Следующий способ повышения точности восстановления координат одиночного источника – это использование ДОЭ, позволяющего увеличить параметр поворота спирального пучка, используемого в качестве начального приближения для работы итерационной процедуры, что приводит к большему углу поворота двухлепесткового изображения на том же диапазоне глубин. Недостатком такого подхода является уменьшение стабильности световых полей при увеличении параметра поворота спирального пучка.
Наконец, целенаправленный расчет ДОЭ позволяет повысить его энергетическую эффективность – отношение количества фотонов люминесценции одиночного точечного излучателя, формирующих двухлепестковое изображение при использовании схемы DHPSF, к числу фотонов, формирующих флуоресцентное изображение этого же источника в классической схеме люминесцентного микроскопа. Поскольку точность восстановления координат источника света, в первую очередь, определяется полным числом собранных фотонов, то при прочих равных условиях именно эффективность ДОЭ будет определять точность восстановления координат при заданной экспозиции.
В настоящей работе обсуждаются способы расчета ДОЭ с повышенной энергетической эффективностью и приводятся примеры их использования при детектировании изображений одиночных флуоресцирующих наночастиц.
РАСЧЕТ ДОЭ ПРИ ОДНОРОДНОМ РАСПРЕДЕЛЕНИИ ИНТЕНСИВНОСТИ ОСВЕЩАЮЩЕГО ПУЧКА
Повысить энергетическую эффективность ДОЭ можно, используя итерационный алгоритм. Ранее нами была предложена итерационная процедура, описанная в работе [19]. В качестве начального приближения для расчета ДОЭ применялся спиральный пучок с параметром поворота θ0 = –2, представляющий собой суперпозицию мод Лагерра–Гаусса (1). Распределения интенсивности и фазы, данного спирального пучка показаны на рис. 1.
Рис. 1.
Распределения интенсивности (а) и фазы (б) спирального пучка с параметром вращения θ0 = –2, применяемого в качестве начального приближения для расчета ДОЭ.

Для увеличения энергетической эффективности элемента было изменено расстояние между опорными плоскостями при его расчете. Это привело к уменьшению диапазона расстояний, в которых ДОЭ работает и уменьшению угла поворота распределения интенсивности – он составил 60°. Значение средней энергетической эффективности ДОЭ, полученного при использовании измененного алгоритма, составила $\eta = 86\% ,$ что на 27% больше значения эффективности, полученного ранее [19]. Рассчитанный ДОЭ показан на рис. 2а. Он преобразует световой пучок с однородным распределением интенсивности и плоским волновым фронтом в двухлепестковое поле. Распределения интенсивности полученного поля в различных сечениях перпендикулярных направлению распространения пучка при фокусировке показаны на рис. 2б (верхний ряд). Для сравнения на этом же рисунке (рис. 2б, нижний ряд) приведены результаты экспериментального преобразования коллимированного светового пучка от твердотельного непрерывного лазера с длиной волны λ = 532 нм полученным ДОЭ. Фазовый профиль ДОЭ создавался с помощью жидкокристаллического многоэлементного пространственного модулятора света HOLOEYE 1080P.
Рис. 2.
Полученный ДОЭ и результат его работы: а) распределение фазы ДОЭ, б) распределения интенсивности формируемого поля по результатам численного моделирования (верхний ряд) и эксперимента (нижний ряд).

Поскольку процедура расчета ДОЭ итерационная, при выполнении расчета возможны варианты выбора порядка опорных плоскостей, в которых производится коррекция формируемого поля. В случае использования 9 опорных плоскостей нами были рассмотрены следующие варианты выбора плоскостей для расчета ДОЭ (плоскость № 5 – фокальная):
1) 1, 2, 3, 4, 5, 6, 7, 8, 9. Последовательно от первой плоскости до последней. Такой порядок следования плоскостей применялся ранее в [19] и для получения ДОЭ, изображенного на рис. 2а.
2) 5, 4, 6, 3, 7, 2, 8, 1, 9. Симметрично от плоскости фокусировки к крайним плоскостям.
3) 1, 9, 2, 8, 3, 7, 4, 6, 5. Симметрично от крайних плоскостей к плоскости фокусировки.
Величины эффективности для полученных ДОЭ указаны в табл. 1. Возможны и другие последовательности обхода плоскостей, но они не проверялись, так как не было установлено существенного влияния порядка обхода плоскостей на энергетическую эффективность формирования поля элементом.
Таблица 1.
Полученные значения энергетической эффективности ДОЭ в % при различном числе опорных плоскостей и вариантах выбора их порядка
| Количество плоскостей | 9 плоскостей | 11 плоскостей |
| Порядок выбора плоскостей | ||
| Последовательно | 86 | 82 |
| Симметрично от плоскости фокусировки | 84 | 83 |
| Симметрично от крайних плоскостей | 84 | 77 |
Уменьшение расстояния между опорными плоскостями при расчете ДОЭ привело к увеличению энергетической эффективности формируемого поля. Попытка увеличить эту характеристику элемента, добавив дополнительные плоскости при расчете (по одной с каждой из сторон, всего 11 шт.), не увенчалась успехом. Так же, как и для предыдущего случая были рассмотрены различные варианты выбора последовательности опорных плоскостей при расчете. Значения полученной эффективности приведены в таблице, значительного увеличения эффективности формирования поля не наблюдается, наибольшее значение составляет 83%, что на 3% меньше результата, полученного при использовании 9 плоскостей при их последовательном выборе при расчете ДОЭ.
ОПТИМИЗАЦИЯ ДОЭ С УЧЕТОМ АППАРАТНОЙ ФУНКЦИИ МИКРООБЪЕКТИВА
В ходе работы при встраивании полученных элементов в оптическую схему микроскопа было обнаружено, что в микроскопической системе освещающий фазовую маску пучок не является однородным и зависит от типа используемого микрообъектива (т.е. от его аппаратной функции). Следствием этого является тот факт, что рассчитанные для однородного по интенсивности освещающего пучка ДОЭ в экспериментах с различными микрообъетивами будут демонстрировать различную энергетическую эффективность преобразования.
В данной работе для проверки был взят микрообъектив Carl Zeiss (100×, 1.3NA). Было измерено распределение интенсивности излучения (рис. 3а) в фокальной плоскости микрообъектива от точечного источника света (флуоресцирующей наночастицы). В модифицированной схеме микроскопа в плоскости, сопряженной рассматриваемой, устанавливается ДОЭ.
Рис. 3.
Оптимизация ДОЭ с учетом аппаратной функции микрообъектива Carl Zeiss, 100×: а) распределение интенсивности, формируемое микрообъективом, б) распределение фазы рассчитанного ДОЭ (рис. 3б), в) формируемое ДОЭ световое поле (результат моделирования), г) экспериментально полученные изображения флуоресцирующей наночастицы.

Проведенное численное моделирование показало, что при освещении рассчитанного для однородного пучка ДОЭ (рис. 2а) световым полем, сформированным микрообъективом (рис. 3а), энергетическая эффективность преобразования снижается со значения 86 до 53%. Происходит перераспределение энергии из главных максимумов в распределении интенсивности формируемого элементом поля, уменьшается эффективное значение отношения сигнал/шум. Как следствие, уменьшение эффективности ДОЭ приводит к уменьшению точности локализации точечных излучающих объектов, как в продольном направлении, так и в поперечной плоскости. Целесообразно получить ДОЭ, оптимизированные под распределение интенсивности, формируемое конкретным микрообъективом.
Был рассчитан ДОЭ (рис. 3б) для освещающего пучка с распределением интенсивности формируемым микрообъективом (рис. 3а). На рисунке представлены двухлепестковые изображения флуоресцирующих наночастиц, полученных в результате моделирования (рис. 3в) и экспериментально (рис. 3г). Результатом оптимизации ДОЭ под аппаратную функцию конкретного микрообъектива стало уменьшение шумов в полученном изображении. Видно, что формируются два четких максимума в распределении интенсивности, которые вращаются вокруг общего центра при дефокусировке.
Характеристики рассчитанного ДОЭ были детально исследованы в эксперименте с детектированием изображений одиночной флуоресцирующией наночастицы (с характерным размером ~50 нм) на стеклянной подложке. Для модификации ФРТ использовался ЖК-модулятор света Holoeye PLUTO-VIS (разрешение 1920 × 1080 пикселей, разрядность 8 бит – 256 уровней серого для фазового преобразования, 60%-отражение в 0-й порядок дифракции). Для фазового преобразования после модулятора ставился линейный поляризатор.
Параксиальные изображения частицы детектировались на различных расстояниях по отношению к фокальной плоскости и в режиме обычного люминесцентного микроскопа, и в схеме DHPSF, в обоих случаях с экспозицией 100 мс на кадр (рис. 4а, 4б). Для реализации схемы обычного 2D-микроскопа вместо рассчитанной фазовой маски в модулятор загружалась однородная (белая) маска, работающая в режиме зеркала. Для количественного сравнения поляризатор использовался и в схеме 2D -микроскопа. Изображения источников распознавались с помощью специально разработанной самодельной программы [20, 21]. Обычное изображение аппроксимировалось двумерной функцией Гаусса, что давало полное число фотонов в изображении N2D. Двухлепестковое изображение в схеме DHPSF аппроксимировалось суммой двух двумерных функций Гаусса с одинаковой дисперсией (шириной на полувысоте). Сумма интенсивностей двух пиков давала значение числа зарегистрированных фотонов NDHPSF.
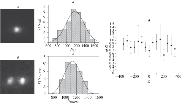
Рис. 4.
Эксперимент с детектированием изображений одиночной флуоресцирующией наночастицы на стеклянной подложке. Изображения частицы в режиме обычного люминесцентного микроскопа (а) и в схеме DHPSF (б), построенные гистограммы распределений значений P(NDHPSF) (в) и P(N2D) (г), зависимость η(Z) (д).

Следует отметить, что, как и большинство других квантовых излучателей, исследованная в данной работе флуоресцирующая наночастица проявляла эффект мерцания – стохастического изменения интенсивности флуоресценции во времени. Это потребовало проведения серии измерений для каждой глубины Z залегания наноизлучателя по отношению к фокальной плоскости микрообъектива (по 300 кадров для каждого значения Z). По полученным данным для каждого Z можно построить (рис. 4в, 4г) гистограммы распределений значений P(NDHPSF) и P(N2D). Аппроксимация распределений функциями Гаусса дает усредненные значения числа зарегистрированных фотонов 〈NDHPSF〉 и 〈N2D〉. Тогда экспериментальное значение энергетической эффективности ДОЭ может быть получено отношением: η = 〈NDHPSF〉/〈N2D〉. Таким образом, была измерена зависимость η(Z) эффективности ДОЭ от глубины Z залегания наноизлучателя по отношению к фокальной плоскости микрообъектива (рис. 4д). Усредненная энергетическая эффективность оптимизированного элемента составляет 85% в широком диапазоне глубин залегания точечного источника – от –300 до 300 нм, что согласуется с расчетами.
ЗАКЛЮЧЕНИЕ
На основе спирального пучка с параметром вращения θ0 = –2 рассчитаны ДОЭ, позволяющие повысить точность определения продольной координаты точечного источника с помощью флуоресцентного оптического микроскопа с модифицированной ФРТ за счет увеличения энергетической эффективности. Увеличения эффективности удалось достичь путем модификации алгоритма расчета ДОЭ – было уменьшено расстояние между опорными плоскостями при реализации алгоритма. Рассмотрены случаи различного числа плоскостей (9 и 11) и варианты выбора их последовательности при расчете ДОЭ.
Также была проведена оптимизация ДОЭ с учетом аппаратной функции конкретного светосильного микрообъектива (Carl Zeiss, 100×). Полученный ДОЭ использовался для регистрации изображений одиночной флуоресцирующей наночастицы как в схеме обычного 2D-флуоресцентного микроскопа, так и в схеме DHPSF на разных глубинах Z залегания точечного источника по отношению к фокальной плоскости микрообъектива. Показано, что средняя энергетическая эффективность оптимизированного элемента составляет 85% в широком диапазоне глубин залегания точечного источника – от –300 до 300 нм.
Работа выполнена при поддержке РФФИ (проект № 16-29-11809).
Список литературы
Moerner W.E. // Ang. Chem. Int. Ed. 2015. V. 54. № 28. P. 8067.
Betzig E. // Ang. Chem. Int. Ed. 2015. V. 54. № 28. P. 8034.
Hettich C., Schmitt C., Zitzmann J. et al. // Science, 298, 5592, (2002) 385-389.
Еремчев И.Ю., Лозинг Н.А., Баев А.А. и др. // Письма в ЖЭТФ. 2018. Т. 108. № 1. С. 26; Eremchev I.Y., Lozing N.A., Baev A.A. et al. // JETP Lett. 2018. V. 108. № 1. P. 30.
Gerasimova M.A., Sizykh A.G., Slyusareva E.A. // J. Photochem. Photobiol. B. 2009. V. 97. № 3. P. 117.
Осадько И.С. // Письма в ЖЭТФ. 2018. Т. 107. № 11. С. 755; Osad’ko I.S. // JETP Lett. 2018. V. 107. № 11. P. 725.
Vainer Y.G., Sobolev Y.I., Naumov A.V. et al. // Faraday Discuss. 2015. V. 184. P. 237.
Naumov A.V., Gorshelev A.A., Gladush M.G. et al. // Nano Lett. 2018. V. 18. № 10. P. 6129.
Гладуш М.Г., Аникушина Т.А., Горшелев А.А. и др. // ЖЭТФ. 2019. Т. 155. № 5. С. 771; Gladush M.G., Anikushina T.A., Gorshelev A.A. et al. // JETP. 2019. V. 128. № 5. P. 655.
Савостьянов А.О., Еремчев И.Ю., Горшелев А.А. и др. // Опт. и спектроск. 2019. Т. 126. № 1. С. 53; Savostianov A.O., Eremchev I.Y., Gorshelev A.A. et al. // Opt. Spectrosс. 2019. V. 126. № 1. P. 44.
Кулик С.И., Еремчев И.Ю., Апель П.Ю. и др. // ЖПС. 2018. Т. 58. № 5. С. 814; Kulik S.I., Eremchev I.Y., Apel P.Y. et al. // J. Appl. Spectrosс. 2018. 2018. V. 85. № 5. P. 916.
Huszka G., Gijs M.A.M. // Micro Nano Engin. 2019. V. 2. P. 7.
von Diezmann A., Shechtman Y., Moerner W.E. // Chem. Rev. 2017. V. 117. № 11. P. 7244.
Pavani S.R.P., Piestun R. // Opt. Expr. 2008. V. 16. № 26. P. 22048.
Gahlmann A., Ptacin J.L., Grover G. // Nano Lett. 2013. V. 13. № 3. P. 987.
Абрамочкин Е.Г., Волостников В.Г. Современная оптика гауссовых пучков. М.: Физматлит, 2010. 184 с.
Абрамочкин Е.Г., Волостников В.Г. // УФН. 2004. Т. 174. № 12. С. 1273; Abramochkin E.G., Volostni-kov V.G. // Phys. Usp. 2004. V. 47. № 12. P. 1177.
Волостников В.Г. // УФН. 2012. Т. 182. № 4. С. 442; Volostnikov V.G. // Phys. Usp. 2012. V. 55. P. 412.
Воронцов Е.Н., Котова С.П., Лосевский Н.Н. и др. // Кр. сообщ. по физ. Физич. ин-та им. П.Н. Лебедева РАН. 2018. № 3. С. 9; Vorontsov E.N., Kotova S.P., Losevsky N.N. et al. // Bull. Lebedev Phys. Inst. 2018. V. 45. № 3. P. 71.
Наумов А.В. // УФН. 2013. Т. 183. № 6. С. 633; Naumov A.V. // Phys. Usp. 2013. V. 56. № 6. P. 605.
Naumov A.V., Eremchev I.Y., Gorshelev A.A. // Eur. Phys. J. D. 2014. V. 68. № 11. C. 348.
Дополнительные материалы отсутствуют.
Инструменты
Известия РАН. Серия физическая


