Известия РАН. Серия физическая, 2021, T. 85, № 7, стр. 1008-1016
Характер распределения полос сдвига по объему образца аморфного сплава на основе Zr при кручении под давлением в камере Бриджмена
И. А. Хрипливец 1, А. М. Глезер 1, 2, *, Р. В. Сундеев 4, Ю. С. Погожев 1, А. И. Базлов 1, С. О. Рогачев 1, А. А. Томчук 2, 3, 5
1 Федеральное государственное автономное образовательное учреждение высшего образования
“Национальный исследовательский технологический университет “МИСиС”
Москва, Россия
2 Федеральное государственное унитарное предприятие
“Центральный научно-исследовательский институт черной металлургии имени И.П. Бардина”
Москва, Россия
3 Федеральное государственное бюджетное образовательное учреждение высшего образования
“Московский государственный технический университет имени Н.Э. Баумана
(национальный исследовательский университет)”
Москва, Россия
4 Федеральное государственное бюджетное образовательное учреждение высшего образования
“МИРЭА – Российский технологический университет”
Москва, Россия
5 Федеральное государственное бюджетное образовательное учреждение высшего образования
“Российский химико-технологический университет имени Д.И. Менделеева”
Москва, Россия
* E-mail: a.glezer@mail.ru
Поступила в редакцию 25.01.2021
После доработки 25.02.2021
Принята к публикации 29.03.2021
Аннотация
Изучен характер распределения количественных характеристик ступенек, образованных полосами сдвига на поверхности деформированных образцов массивного аморфного сплава Zr60Ti2Nb2Cu18.5Ni7.5Al10 после кручения под высоким квазигидростатическим давлением (КВД) в камере Бриджмена при комнатной температуре и различных величинах деформации. Получены гистограммы распределения основных характеристик полос сдвига (мощность и объемная плотность) в различных зонах дискообразных образцов (геометрический центр – зона 1, середина радиуса – зона 2 и край – зона 3) на торцевых поверхностях. Установлена зависимость характеристик полос сдвига от расположения зоны изучения ступенек скольжения.
ВВЕДЕНИЕ
Аморфные сплавы на основе металлических компонентов демонстрируют уникальную способность реализовать пластическую деформацию под воздействием внешних механических напряжений [1]. При температурах ниже 0.8 Тк (Тк – температура кристаллизации) пластическое течение в аморфных сплавах осуществляется сильно локализованными полосами сдвига (ПС), являющихся по существу подобием дислокационной моды пластической деформации применительно к идеальному упруго-пластичному твердому телу [2, 3]. Показано, что ПС характеризуются очень высокой степенью локализации пластического сдвига (толщина ПС составляет порядка 30–70 нм [4]). Надежно установлено, что внутри областей ПС аморфное состояние обладает более низкими значениями плотности [4, 5], степени ближнего упорядочения [6] и модуля Юнга [7]. Дальнейшие исследования [8–13], включая in situ наблюдения в колонне высоковольтного электронного микроскопа, показали [14], что по аналогии с дислокационным течением в кристаллах при очень низких (криогенных) температурах [15], ПС в аморфных сплавах образуют на поверхности деформированных образцов систему ступенек сдвигового происхождения. В работе [16] ранее нами было установлено следующее:
– Основной характеристикой ПС в аморфных материалах является мощность которая определяется высотой ступеньки в области выхода ПС на поверхность образца, отнесенной к толщине ПС. Ее можно описать величиной истинной деформации внутри ПС с помощью выражения eПС= = ln(h/t), где t – толщина ПС.
– Другой важной характеристикой ПС является их объемная плотность VПС, которая при определенных геометрических условиях может строго зависеть от среднего расстояния r между соседними поверхностными ступеньками. Обратное значение параметра r, по существу, характеризует величину объемной плотности ПС VПС (r ~ $V_{{{\text{ПС}}}}^{{ - {\text{1}}}}$).
– По аналогии с кристаллами ПС в аморфных сплавах формируют системы скольжения, которые имеют близкие значения eПС и r, а также определенную ориентацию поверхности ПС относительно главных осей деформации при выбранной схеме напряженного состояния.
– Дизайн ПС в массивном аморфном сплаве Zr60Ti2Nb2Cu18.5Ni7.5Al10 зависит главным образом от способа деформирования.
– Величина деформации оказывает определяющее влияние на мощность ПС. В то же время объемная плотность ПС определяется, по-видимому, природой материала и условиями его деформирования.
– ПС в аморфной матрице по аналогии с дислокациями в кристаллах способны осуществлять пластический сдвиг в двух взаимно противоположных по знаку направлениях.
К сожалению, некоторые основополагающие проблемы, связанные с ПС, остаются пока нерешенными [2, 8, 17]. В частности, полностью отсутствует информация о том, насколько переход от обычной макроскопической деформации к большим мегапластическим деформациям (МПД) аморфных сплавов методом КВД влияет на основные характеристики ПС и на характер распределения пластических сдвигов по объему деформируемых цилиндрических образцов. Цель данной работы состоит в детальной статистической оценке характера распределения основных параметров ПС при КВД по объему образца для аморфного сплава на основе Zr и в установлении влияния геометрических факторов (положения локальных областей формирования ступенек на торцевой поверхности дискообразных образцов относительно главной оси кручения при КВД) на количественные характеристики ПС.
МАТЕРИАЛ И МЕТОДИКА ЭКСПЕРИМЕНТОВ
В работе исследовался сплав Zr60Ti2Nb2Cu18.5Ni7.5Al10, полученный путем сплавления в вакуумной дуговой печи шихтовых материалов чистотой не менее 99.9%. Из слитков были изготовлены аморфные пластины (ширина 1 см, толщина 2.5 мм, длина 5 см) в результате быстрого охлаждения расплава на вращающемся медном диске. Из пластин вырезали диски толщиной 0.70 ± 0.05 мм и диаметром 8 мм, которые были разрезаны пополам по диаметру. Торцевая поверхность среза тщательно шлифовалась и полировалась. После этого на две подготовленные торцевые поверхности образца наносился защитный лак. Обе половинки образца помещали в камеру Бриджмена, нижняя наковальня, которой имела углубление диаметром 8.8 мм и высотой 0.55 ± 0.05 мм (рис. 1а).
Рис. 1.
Схемы, демонстрирующие деформационные эксперименты в камере Бриджмена (а) и зоны изучения ступенек скольжения (б). Заштрихованная область на рис. 1а – торцевая поверхность образца, где изучались ступеньки скольжения.

Образцы подвергали HPT в камере Бриджмена при комнатной температуре, квазигидростатическом давлении 6 ГПа и скорости вращения подвижной наковальни 6.3 рад/мин. Эксперименты проводили только при приложении давления, а также при дополнительном кручении при n = = 1/64 (e = 0.7), 1/32 (e = 1.3) и 1/8 (e = 2.6), где n – число полных оборотов подвижной наковальни камеры Бриджмена; e – истинная деформация, определяемая с помощью соотношения [18]:
(1)
$e = \ln {{\left( {1 + {{{\left( {\frac{{\psi R}}{H}} \right)}}^{2}}} \right)}^{{0.5}}} + \ln \left( {\frac{{{{H}_{0}}}}{H}} \right).$В выражении (1) R и H – соответственно радиус и высота дискообразного образца, ψ – угол поворота подвижного бойка камеры Бриджмена относительно неподвижного. Столь малые значения n были выбраны для наблюдения ранних стадий образования ПС.
Изучение торцевой поверхности образцов после КВД проводилось методом оптической профилометрии на приборе WYKO NT 1100, который позволяет проследить эволюцию формирования ступенек от ПС на поверхности образца при пластической деформации. В работе использовалась панорамная съемка вдоль плоскости торцевого среза образца. Разрешающая способность профилометра в режиме вертикальной сканирующей интерферометрии (VSI) составляла 0.1 нм. Дизайн ступенек на полированной поверхности образцов исследовался также с помощью световой микроскопии (микроскоп Micromet 5101). Количество измерений при оценке параметров ступенек ПС составило не менее 100 для каждого режима деформации и для выбранной зоны образца для изучения ступенек скольжения. Основные характеристики ПС анализировались с торцевого среза в трех областях дискообразных образцов после кручения в камере Бриджмена (рис. 1б). Если рассматривать фронтальную поверхность образца в виде идеального круга, то эти области находились в геометрическом центре круга (область 1), на середине радиуса круга (область 2) и на краю образца на периметре круга (область 3).
ЭКСПЕРИМЕНТАЛЬНЫЕ РЕЗУЛЬТАТЫ И ИХ ОБСУЖДЕНИЕ
На рис. 2 представлены в качестве примера панорамные изображения ступенек скольжения на поверхности образцов изученного сплава после КВД при комнатной температуре, соответствующие воздействию только квазигидростатического давления без кручения (а) и HPT при n = 1/64 (б), n = 1/32 (в) и n = 1/8 (г) в различных зонах образца (1, 2 и 3). На рис. 2а наблюдается две системы ступенек ПС. Основная система ступенек (CC-I) представляет собой грубые волнистые линии почти параллельные горизонтальной кромке шлифа. Вторая система ступенек (CC-II) соответствует двум взаимно перпендикулярным тонким “кристаллографическим” ступенькам ПС, расположенным под углом φ = 45° и 135° к горизонтальной кромке шлифа. Природа сформировавшихся ступенек ПС на рис. 2а связана с возникновением одноосных сжимающих напряжений под воздействием высокого давления, которые привели к эффекту одноосного сжатия (e = 0.2). При КВД (n = = 1/64) система ступенек СС-I не претерпевает ни качественных, ни количественных изменений, а система ступенек СС-II становится явно доминирующей (рис. 2б). При n = 1/32 основной вклад в дислокационно-подобное скольжение также вносят ступеньки ПС СС-II (рис. 2в). Наконец, в случае n = 1/8 наблюдаются эффекты многократного ветвления ступенек ПС обоих типов, сопровождающиеся появлением волнистых ступенек произвольной ориентации и возрастанием их интенсивности (рис. 2г). Следует отметить существенную особенность картин ПС, зафиксированных в различных зонах образцов, подвергнутых кручению: при переходе от центра образца (1) к середине радиуса образца (2) и далее к краю образца (3). Дизайн ПС качественно не меняется и фиксируются одни и те же системы скольжения (СС-I и СС-II в зависимости от воздействия только квазистатического давления или давления в сочетании с деформацией кручения.
Рис. 2.
Панорамные картины ступенек ПС после HPT при n = 0 (а); n = 1/64 (б); n = 1/32 (в); n = 1/8 (г); 1, 2 и 3 зоны наблюдения ПС. Световая микроскопия.

На рис. 3 представлены в качестве примера профилограммы с поверхности образцов после деформационных воздействий с помощью КВД при n = 1/32 в различных зонах образца (1, 2 и 3). На профилограммах исходных образцов до деформации каких-либо ступенек практически не наблюдалось. Различия профилограмм, полученных после деформации, в различных зонах дискообразных образцов, при всех значениях n носят количественный характер, но качественно их различия являются незначительными. Как отмечалось нами ранее в работе [16], сдвиги, реализуемые в ПС, могут иметь противоположные знаки, при этом число ПС типа “+” и ПС типа “–” примерно одинаково (рис. 3). Наличие ПС с противоположным направлением сдвига существенно повышает степень аккомодации дальнодействующих полей напряжений и способствует более высокой пластичности аморфных сплавов.
Рис. 3.
Примеры профилограмм, полученных с торцевой поверхности после КВД (n = 1/32) в различных зонах дискообразного образца (1, 2 и 3).

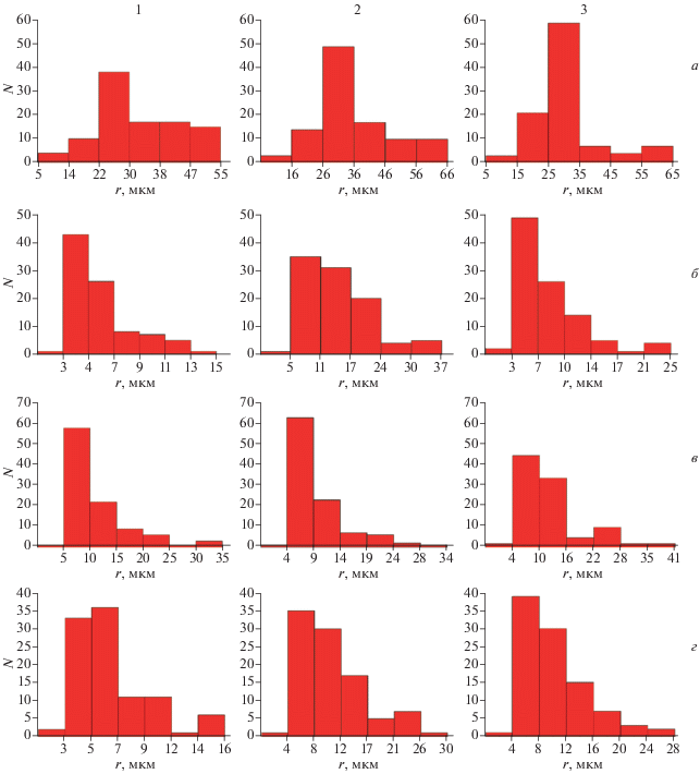
На рис. 4 и 5 показаны измеренные с помощью полученных профилограмм распределения расстояний между соседними ступеньками r (рис. 4) и распределения по размерам высоты ступенек h (рис. 5) для всех реализованных режимов деформации в камере Бриджмена и для трех различных зон анализа дискообразных образцов (1, 2 и 3). Первый структурный параметр характеризует, по существу, при определенных геометрических допущениях объемную плотность ПС VПС, а второй – мощность ПС eПС в различных зонах образцов при варьируемых условиях деформации КВД.
Рис. 4.
Гистограммы значений r для HPT при n = 0 (а); n = 1/64 (б); n = 1/32 (в); n = 1/8 (г); 1, 2 и 3 – зоны наблюдения ПС.

Рис. 5.
Гистограммы значений h для HPT при n = 0 (а); n = 1/64 (б); n = 1/32 (в); n = 1/8 (г); 1, 2 и 3 – зоны наблюдения ПС.

В случае воздействия только высокого давления (рис. 2а) и в случае HPT (рис. 2б–2г) количество ступенек типа СС-1 остается постоянным при различных режимах обработки, а для ступенек типа СС-II наблюдается заметный рост значения h и соответственно eПС. Гистограммы для образцов, где доминируют системы ступенек СС‑I (рис. 4а и 5а), описываются распределениями, близкими к гауссовым, а для образцов, где доминируют системы ступенек СС-II, – близкими к логонормальным распределениям (рис. 4б–4г и 5б–5г) вне зависимости от того, с какой зоной образца (центр 1, середина 2 или край 3) мы имеем дело.
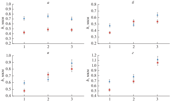
На рис. 6 и 7 представлены зависимости среднего и наиболее вероятного значения (моды) параметров r (рис. 6) и h (рис. 7) для ступенек ПС, сформировавшихся только при воздействии квазигидростатического давления (а) в сравнении cо ступеньками ПС, сформировавшимися при возрастающем значении е для КВД (б–г) в камере Бриджмена. Можно с уверенностью констатировать (рис. 6а и 7а), что значения плотности и мощности ПС, сформировавшихся при одноосном сжатии без кручения, практически не зависят от характера расположения анализируемой зоны (1, 2 и 3) дискообразных образцов. Можно отметить, лишь значимое, но несущественное возрастание плотности ПС в краевых зонах 3. Несколько иной характер зависимости основных характеристик ПС от расположения локальной зоны анализируемых образцов имеет место в случае КВД. Минимальное значение VПС закономерно наблюдается при всех значениях n в зоне 2, расположенной на середине радиуса дискообразного образца (рис. 6б–6г). Значение параметра eПС монотонно возрастает со скоростью, зависящей от величины деформации n от зоны геометрического центра образца 1 к зоне на середине радиуса образца 2 и далее к краевой зоне 3 (рис. 7б–7г). Максимальное значение моды значений высоты ступенек h = 1.1 мкм было получено нами после n = 1/8 в краевой зоне 3 дискообразного образца. Максимальное значение отдельных ступенек достигало при этих же условиях эксперимента значения h = = 4.1 мкм. Если предположить в соответствии с многочисленными экспериментами [1, 3, 4], что толщина ПС t ≈ 50 нм, то максимальное значение мощности пластической деформации внутри ПС (eПС)макс находится в интервале 5.4–5.6. Это значение очень близко к тому, которое реализуется при HPT в камере Бриджмена при n ≈ 1 для геометрических размеров образцов, использованных в нашем эксперименте. Таким образом, в процессе HPT образец претерпевает большую локальную пластическую деформацию, которая является следствием образования в аморфной матрице деформационных “зарядов” очень большой мощности, значительно (более, чем в 5 раз) превышающих макроскопические значения, усредненные по всему дискообразному образцу.
Рис. 6.
Зависимости средних значений (◼) и значений моды (▲) для параметра r при КВД; n = 0 (а), n = 1/64 (б), n = = 1/32 (в), n = 1/8 (г); 1, 2 и 3 – зоны наблюдения ПС.

Рис. 7.
Зависимости средних значений (◼) и значений моды (▲) для параметра h при КВД; n = 0 (а), n = 1/64 (б), n = = 1/32 (в), n = 1/8 (г); 1, 2 и 3 – зоны наблюдения ПС.

Наблюдаемые на поверхности продеформированных образцов ступеньки, безусловно, являются следствием локальных дислокационно – подобных сдвигов. В зависимости от характера пластического течения ПС могут быть количественно описаны с помощью различных структурных параметров. С нашей точки зрения, подобных основополагающих структурных параметров, характеризующих ПС, по существу, два. Это мощность ПС eПС и объемная плотность ПС VПС. По всей видимости, этих параметров достаточно, чтобы строго и однозначно описывать основные закономерности процесса пластической деформации аморфных сплавов с помощью ПС в качестве элементарного носителя пластического течения по аналогии с дислокационным течением для кристаллов. С нашей точки зрения, нецелесообразно рассматривать элементарные акты пластической деформации на микроуровне внутри ПС. Некоторая неопределенность атомного строения аморфного состояния, включая флуктуации плотности и координационных чисел, заставляют нас рассматривать в качестве носителя сдвиговой деформации мезоскопический дефект, а именно ПС, не углубляясь в особенности его атомного строения на микроуровне.
Полученные нами результаты подтверждают изложенные ранее в [16] данные, свидетельствующие о том, что наблюдается очевидная тенденция к росту значений h по мере возрастания e. Однако для значений r тенденция к некоторому снижению (иными словами, к росту VПС) наблюдается только для деформаций в режиме КВД.
Как следует из (1), величина деформации e в экспериментах в камере Бриджмена определяется двумя независимыми слагаемыми. Первое из них определяет деформацию в процессе кручения, а второе – в процессе одноосного сжатия, обусловленного квазигидростатическим давлением. Деформация кручения в идеальном случае определяется радиусом локальной зоны дискообразного образца Ri. Чем больше Ri, тем больше деформация в выделенной зоне образца в соответствии с (1). Отсюда следует, что при кручении деформация образца в виде диска будет неравномерной: наибольшая величина деформации будет соответствовать крайним зонам, где Ri ≈ R (зона 3). С другой стороны, в геометрическом центре образца (зона 1) деформация кручения должна быть близка к нулю. Эксперименты, выполненные многочисленными авторами, показывают, что подобная идеальная схема процесса кручения является некорректной [18]. Деформация кручения образца в целом нарушает модельный и недостаточно корректный подход, выраженный уравнением (1). Кроме того, сложение двух видов деформации (кручения и сжатия), реализующийся при КВД, по-видимому, не является аддитивным. Деформация при одноосном сжатии, которая однородна по всему образцу должна стимулировать деформацию кручением в зоне 3, создавая дополнительную компоненту деформации.
В самом деле, проведенные нами эксперименты надежно показали, что в зоне 1 с самого начала активно развиваются процессы пластической деформации, и интенсивно формируются ПС. Более того, характер ПС, включая гистограммы распределения основных параметров ПС (рис. 4 и 5), демонстрируют подобие деформационных процессов как в центральных, так и в периферийных зонах дискообразных образцов. Безусловно, имеются количественные разлития в процессах КВД в различных областях деформируемого твердого тела, но они не носят глобального характера. В большинстве проводимых экспериментов структурные перестройки при КВД изучают в зонах аморфной матрицы, расположенных на середине радиуса дискообразного образца (зона 2). Наши наблюдения основных закономерностей формирования ПС в аморфных сплавах под воздействием КВД доказывают, что подобный подход является достаточно корректным, и наблюдающиеся эффекты являются представительными для всего объема деформируемых аморфных объектов.
ЗАКЛЮЧЕНИЕ
На основании детального статистического анализа определен характер распределения основных характеристик полос сдвига (ПС) по объему дискообразных образцов массивного аморфного сплава Zr60Ti2Nb2Cu18.5Ni7.5Al10 при кручении под высоким квазигидростатическом давлением в камере Бриджмена. Подтверждена ранее высказанная гипотеза о том, что основными характеристиками ПС являются: мощность ПС, зависящая от высоты ступеньки на поверхности деформированного образца и от толщины ПС, а также объемная плотность ПС, обратно пропорциональная при определенных геометрических допущениях расстоянию между соседними ПС.
Установлено, что при приложении только гидростатического давления без кручения в различных зонах дискообразного образца (геометрический центр – зона 1, середина радиуса – зона 2 и край – зона 3) на торцевых поверхностях формируются грубые волнистые ступеньки скольжения, почти параллельные горизонтальной кромке шлифа. Гистограммы распределения мощности и объемной плотности ПС практически одинаковы для трех различных зон дискообразных образцов и близки к гауссовому распределению.
Обнаружено, что при реализации КВД с варьируемым значением величины деформации (n = 1/64; 1/32 и 1/8) формируется система скольжения, которая представляет собой две взаимно перпендикулярные “кристаллографические” ступеньки ПС, расположенные под углом φ = 45° и 135° к горизонтальной кромке шлифа. Гистограммы распределения мощности и объемной плотности ПС носят исключительно логонормальный характер и качественно тождественны для различных зон анализа образца и для различных величин КВД деформации.
В случае КВД деформации наблюдается зависимость характеристик ПС от специфики зоны анализа деформации. Максимальное значение среднего расстояния между соседними ПС и соответствующей моды (минимальное значение VПС) наблюдается при всех значениях n в зоне 2. Значение средней высоты ступенек и соответствующей моды для ПС (мощности ПС eПС) монотонно возрастает со скоростью, зависящей от величины деформации n, от зоны 1 к зоне 2 и далее к зоне 3. Максимальное значение отдельных ступенек было зафиксировано при n = 1/8 в зоне 3 дискообразного образца (hмакс = 4.1 мкм), что соответствует мощности ПС, равной eПС = 5.4–5.6.
Работа выполнена при финансовой поддержке РНФ (проект № 19-72-20066) и РФФИ (проект № 20-32-90014; аспирантка НИТУ “МИСиС” Хрипливец И.А.).
Список литературы
Люборский Ф.Е. Аморфные металлические сплавы. М.: Металлургия, 1987. 583 с.
Greer A.L., Cheng Y.Q., Ma E. // Mater. Sci. Eng. R. 2013. V. 74. P. 71.
Zhang Q.S., Zhang W., Xie G.Q. et al. // Acta Mater. 2010. V. 58. P. 904.
Donovan P.E., Stobbs W.M. // Acta Met. 1981. V. 29. P. 1419.
Rösner H., Peterlechner M., Kübel C. et al. // Ultramicroscopy. 2014. V. 142. P. 1.
Glezer A.M., Kozlov E.V., Koneva N.A. et al. Plastic deformation of nanostructured materials. Boca Raton: CRC Press, Taylor&Francis Group, 2017. 320 p.
Abrosimova G., Aronin A., Fokin D. et al. // Mater. Lett. 2019. V. 252. P.114.
Gunderov D., Astanin V. // Metals. 2020. V. 10. P. 415.
Maaß R., Samver K., Arnold W., Volkert C.F. // Appl. Phys. Lett. 2014. V. 105. Art. No. 171902.
Mironchuk B., Abrosimova G., Bozhko S. et al. // Mater. Lett. 2020. V. 273. Art. No. 127941.
Boltynjuk E., Ubyivovk E., Gunderov D. et al. // Defect Diffus. Forum. 2018. V. 385. P. 319.
Glezer A.M., Louzguine-Luzgin D.V., Khriplivets I.A. et al. // Mater. Lett. 2019. V. 256. Art. No. 126631.
Глезер А.М., Плотникова М.Р., Сундеев Р.В., Шурыгина Н.А. // Изв. РАН. Сер. физ. 2013. Т. 77. С. 1687; Glezer A.M., Plotnikova M.R., Sundeev R.V., Shurygina N.A. // Bull. Russ Acad. Sci. Phys. 2013. V. 77. P. 1391.
Глезер А.М., Утевская О.Л., Кантор М.М., Колотинскай В.М. // ДАН СССР. 1983. Т. 272. № 5. С. 1114.
Старцев В.И., Ильичев В.Я., Пустовалов В.В. Пластичность и прочность металлов и сплавов при низких температурах. М.: Металлургия, 1975. 328 с.
Glezer A.M., Khriplivets I.A., Sundeev R.V. et al. // Mater. Lett. 2020. V. 281. Art. No. 128659.
Glezer A.M., Potekaev A.I., Cheretaeva A.O. Thermal and time stability of amorphous alloys. Boca Raton: CRC Press, Taylor&Francis Group, 2017. 170 p.
Zhilyaev A., Langdon T. // Prog. Mater. Sci. 2008. V. 53. P. 893.
Дополнительные материалы отсутствуют.
Инструменты
Известия РАН. Серия физическая


