Известия РАН. Серия физическая, 2022, T. 86, № 4, стр. 537-542
Механизмы поляризации носителей в ферромагнитных гетероструктурах InGaAs/GaAs/δ-Mn
С. В. Зайцев *
Федеральное государственное бюджетное учреждение науки
Институт физики твердого тела имени Ю.А. Осипьяна Российской академии наук
Черноголовка, Россия
* E-mail: szaitsev@issp.ac.ru
Поступила в редакцию 15.11.2021
После доработки 06.12.2021
Принята к публикации 22.12.2021
- EDN: ISBWKB
- DOI: 10.31857/S0367676522040275
Аннотация
Установлено, что степень циркулярной поляризации фотолюминесценции квантовых ям InGaAs/GaAs/δ-〈Mn〉 с ферромагнитным δ-слоем Mn (спейсер GaAs толщиной dS = 2–10 нм) существенно зависит от условий фотовозбуждения, и прежде всего от плотности мощности, что объясняется в рамках динамической модели спин-зависимого захвата электронов из квантовой ямы в δ‑〈Mn〉-слой и проявляется как нестационарная поляризация в импульсном режиме. В структурах с узким спейсером dS ≤ 3 нм важную роль играет также стационарный механизм поляризации носителей вследствие их обменной связи с δ-〈Mn〉-слоем.
ВВЕДЕНИЕ
Проблема использования полупроводниковых ферромагнитных (ФМ) соединений и структур на их основе заключается в одновременном выполнении целого ряда требований к структуре. Прямое внедрение магнитных ионов Mn в квантовую яму (КЯ) – активную область большинства приборов на основе III–V соединений приводит к гашению фотолюминесценции (ФЛ) при концентрации Mn xMn > 0.05 ат. % [1], что связано с дефектами, возникающими при низкотемпературном росте легированных атомами Mn слоев (In,Ga)As [1]. Высокотемпературный же рост приводит к распаду твердого раствора и формированию ФМ кластеров MnAs с температурой Кюри ФМ перехода TC = 315 K или MnxGa1– x [1], что не позволяет равновесно растить слои GaAs:Mn с xMn > 0.1 ат. %. В работе [2] была предложена гибридная структура ферромагнетик-полупроводник. В настоящее время имеется несколько удачных реализаций подобных ФМ наноструктур на основе GaAs, в которых КЯ отделена от ФМ слоя туннельно-прозрачным узким спейсером 2–10 нм [3–5]. Исследования показали, что степень циркулярной поляризации ФЛ PC ~ 10–30% в таких ФМ структурах достигается ниже температуры Кюри TCуже в слабом внешнем магнитном поле B ~ 0.2 Тл, а зависимость PC(B) повторяет поведение намагниченности магнитного слоя и показывает гистерезис поляризации [5, 6], тогда как в немагнитных структура PC < 1%. До настоящего времени общепринятой являлась модель обменного p–d взаимодействия дырок в КЯ со спинами магнитной примеси (Mn) в близком ФМ слое [1, 3, 4], что должно приводить к существованию стационарной, т.е. не зависящей от времени циркулярной поляризации ФЛ из КЯ. Наши исследования [5, 6] показали динамический характер возникновения поляризации излучения в ФМ структурах InGaAs/GaAs/δ-Mn, что указывает на иные механизмы спиновой поляризации носителей. Поэтому исследование механизмов и закономерностей спиновой поляризации и ее динамики в ФМ наноструктурах является важным направлением в современной спинтронике.
В данной работе при низких температурах исследована PC(B) и ее динамика PC(t) в квантовых ямах InGaAs/GaAs, отделенных узким спейсером GaAs толщиной dS = 2–10 нм от ФМ дельта-〈Mn〉-слоя. Установлено, что в импульсном режиме PC(t) нестационарна, а в непрерывном режиме PC(B) существенно зависит от плотности мощности и энергии фотовозбуждения, что в совокупности объясняется спин-зависимым захватом электронов из КЯ на дефекты в δ-〈Mn〉-слое. В структурах с узким спейсером dS ≤ 3 нм работает также стационарный механизм поляризации носителей вследствие их обменной связи с δ-〈Mn〉-слоем.
ЭКСПЕРИМЕНТ
Исследованные светодиодные структуры (#5168-5172) с КЯ InGaAs/GaAs/δ-〈Mn〉 были выращены комбинированным методом металлорганической гидридной эпитаксии (МОСГЭ) и лазерного распыления [5, 6]. Схема структуры показана на рис. 1. Буферный слой n-GaAs (500 нм) и нижний спейсерный слой i-GaAs (~3 нм), нелегированная квантовая яма InхGa1– хAs (х = 0.1) толщиной 10 нм и верхний спейсерный слой GaAs толщиной dS = 2–10 нм растились эпитаксиально при температуре 550–600°С на ориентированных легированных подложках n-GaAs (001). Затем в том же реакторе при температуре 450°С наносились δ-слой Mn и покровный слой GaAs (40 нм) путем лазерного распыления металлического Mn и нелегированного GaAs, соответственно. Номинальная толщина QMn δ-слоя Mn составляла QMn ~ 0.3 монослоя (МС), что соответствует высокой поверхностной плотности ${{N}_{{{\text{Mn}}}}}$ ионов Mn (в GaAs 1 МС = 6.3 · 1014 см–2 [1]). Ограничение QMn < 1 МС предотвращает выпадение ФМ кластеров MnAs (TC = 315 K), что подтверждено прямыми измерения магнитного момента образцов [7]. Использование метода лазерного распыления позволяет понизить температуру нанесения марганца до 400°С и таким образом минимизировать диффузию Mn в КЯ. В силу δ-легирования (акцепторный слой δ-〈Mn〉) КЯ в такой структуре содержит двумерный дырочный газ с плотностью ~1011–1012 см–2 [8]. Транспортные свойства таких структур с δ-〈Mn〉 на изолирующих подложках i-GaAs подробно исследовались ранее [8], где были найдены холловская подвижность дырок μ = 180–3200 см2/В (при T = 5 K) в зависимости от параметров структуры (dS или содержания индия).
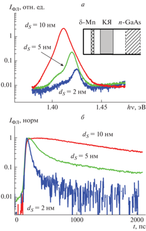
Рис. 1.
Спектры ФЛ для структур с КЯ InхGa1 – хAs (х = 0.1) и разной шириной спейсера dS: #5168 (dS = = 2 нм), #5169 (dS = 5 нм) и #5170 (dS = 10 нм) (отмечено на рисунке) при фотовозбуждении пикосекундным лазером с λL ~ 800 нм. Pexc = 4 мВт и T = 5 K (а). Нормированные импульсы свечения линии КЯ для всех структур (б).

Измерения степени циркулярной поляризации PC(B) фотолюминесценции (ФЛ) проводились в магнитном поле B = 0–5 Тл в криостате со сверхпроводящим магнитом в жидком гелии (Т ~ 2 К) или в проточном гелиевом криостате с регулируемой температурой (минимум T ~ 5 К), при этом образец крепился на холодном “пальце” в вакууме. Фотолюминесценция возбуждалась He–Ne лазером (632.8 нм) и регистрировалась в геометрии Фарадея (магнитное поле направлено перпендикулярно к поверхности образцов) с помощью CCD-камеры на монохроматоре со спектральным разрешением лучше 0.05 мэВ. Циркулярно-поляризованная фотолюминесценция исследовалась стандартным образом с использованием линейного поляризатора и четвертьволновой пластинки. Степень циркулярной поляризации определялась параметром ${{P}_{C}}(B)$ где ${{I}_{ + }}({{I}_{ - }})$ = ${{({{I}_{ + }} - {{I}_{ - }})} \mathord{\left/ {\vphantom {{({{I}_{ + }} - {{I}_{ - }})} {({{I}_{ + }} + {{I}_{ - }})}}} \right. \kern-0em} {({{I}_{ + }} + {{I}_{ - }})}},$ – интенсивности компонент с правой (левой) поляризацией, полученные путем интегрирования части спектра, соответствующей оптическому переходу в КЯ. Измерения ФЛ с разрешением по времени проводились в проточном криостате на установке, оборудованной Ti:Sa пикосекундным лазером с перестраиваемой длиной волны λL, монохроматором со спектральным разрешением лучше 1 мэВ и стрик-камерой с временным разрешением ~15 пс. Частота повторения лазерных импульсов 76 МГц. Сфокусированное на образце лазерное пятно имело диаметр ~100 мкм.
ЭКСПЕРИМЕНТ И ОБСУЖДЕНИЕ РЕЗУЛЬТАТОВ
На рис. 1а показана низкоэнергетическая часть спектров ФЛ (ниже межзонных переходов в барьере GaAs) при низкой температуре T = 5 K для структур с разной шириной спейсера dS. Спектры отвечают излучательной рекомбинации фотовозбужденных электронов, релаксировавших в КЯ, и дырок, находящихся в КЯ в силу δ-легирования. Полуширина линий ФЛ более 10 мэВ, что свидетельствует о высокой степени беспорядка в КЯ, присущей структурам с магнитными примесями. Нормированные кривые свечения линии КЯ для всех структур при малом уровне импульсного пикосекундного возбуждения Pexc = 2 мВт показаны на рис. 1б. Видно, что в структуре с широким спейсером dS = = 10 нм кривая свечения практически моноэкспоненциальна, что сохраняется при всех Pexc, тогда как для структур с узким спейсером dS = 2 и 5 нм импульс имеет быстрый начальный этап с временем τ1, монотонно уменьшающимся с уменьшением dS, аналогично поведению интенсивности ФЛ. Этот факт также свидетельствует о сильной безызлучательной рекомбинации из-за туннельно-близкого δ-слоя Mn. Дальнейший, более медленный спад интенсивности на хвосте импульсов свечения ФЛ с временем τ2 происходит, по-видимому, с участков КЯ с более высоким квантовым выходом. Естественно, связать такое поведение с неоднородностью центров безызлучательной рекомбинации в плоскости КЯ. Причиной возникновения беспорядка и сильной безызлучательной рекомбинации в изучаемых структурах является специфическая природа δ-слоя Mn. При обсуждении этого результата важно отметить, что детальные рентгеноструктурные исследования показали заметное размытие δ-слоев Mn, при этом размытие тем сильнее, чем больше номинальная толщина δ-слоя [8]. Именно вследствие сильной диффузии Mn в GaAs, выращиваемый δ-〈Mn〉-слой фактически представляет собой ультратонкий слой (~2–3 нм) твердого раствора ФМ полупроводника Ga1-xMnxAs с высокой концентрацией марганца х = 2–8 ат. % [8]. Структурные исследования подтвердили также отсутствие Mn в КЯ при ширине спейсера dS ≥ 3 нм, что подтверждается заметным квантовым выходом исследованных структур в отличие от КЯ с Mn, в которых излучательная рекомбинация полностью подавляется при х > 0.1% (см. обзор [1]). В матрице GaAs атомы Mn, находящиеся в узлах Ga (MnGa), выступают не только как локальные магнитные моменты, но также и в качестве акцепторной примеси. Это приводит к появлению в структуре дырок, взаимодействие которых с электронами d-оболочки Mn и является физической причиной возникновения ферромагнетизма в твердом растворе GaMnAs [1]. Кроме того, атомы Mn в матрице GaAs могут занимать не только акцепторные позиции MnGa, но также и дефектные, междоузельные позиции MnI, где они выступают в качестве глубоких двойных доноров [1]. Именно присутствие близкого к КЯ встроенного δ-слоя Mn с высокой плотностью ионов марганца NMn > 1014 см–2, характеризующегося также высокой степенью самокомпенсации ~0.1–0.3, приводит к возникновению в плоскости КЯ как сильного флуктуирующего кулоновского потенциала для носителей, так и сильного канала их безызлучательной рекомбинации [8].
Магнитополевые зависимости степени циркулярной поляризации PC(B) оптического перехода в КЯ для всех структур в геометрии Фарадея (магнитное поле направлено по нормали к КЯ) представлены на рис. 2а. Для возбуждения всегда использовался линейно поляризованный лазер для исключения эффектов оптической ориентации. Зависимости PC(B) имеют два характерных для ФМ структур участка: участок быстрого роста в малых полях B = 0–0.2 Тл и участок значительно более медленного изменения в высоких полях B > > 0.3 Tл. Такая зависимость характерна для структур типа GaAs/δ-〈Mn〉 с осью легкого намагничивания ФМ δ-〈Mn〉-слоя в плоскости КЯ, а поле BO ~ 0.3 Tл соответствует полному выходу намагниченности из плоскости [1, 3–6]. Значение PC(BO = 0.3 Tл) ~ 0.05–0.2 (рис. 2а) в структурах с δ-слоем Mn существенно выше, чем в контрольных немагнитных структурах (PC < 0.01) [3, 4]. Как уже отмечалось во введении, на начальном этапе исследований считалось, что сильная циркулярная поляризация оптического перехода в структурах InGaAs/GaAs/δ-〈Mn〉 обусловлена спиновой поляризацией дырок в КЯ, возникающей в результате их обменного p–d взаимодействия с ионами Mn в дельта-слое. Эффективность такого обменного взаимодействия определяется степенью перекрытия волновых функций, концентрацией дырок и атомов Mn в δ-слое [3–5]. Зависимость PC(BO) от ширины спейсера dS была также детально изучена и представлена в работе [9]. Как и следовало ожидать для туннельной связи дырок из КЯ с близким ФМ δ-слоем Mn, увеличение dS ведет к быстрому падению PC(BO). С другой стороны, уменьшение спейсера до dS = 2 нм приводит к существенному уменьшению интенсивности ФЛ из КЯ, что связано с проникновением атомов Mn в КЯ и сильным подавлением излучательной рекомбинации при dS < 3 нм, поэтому в таких структурах для эффективного возбуждения ФЛ приходится использовать импульсные лазеры.
Рис. 2.
Зависимости PC(B) в геометрии Фарадея для оптического перехода КЯ в структурах #5168, #5169 и #5170 (х = 0.10) с шириной спейсера dS = 2.5 и 10 нм, соответственно, и в структуре #5172 (х = 0.15) с dS = = 3 нм (отмечено на рисунке) при фотовозбуждении cw лазером λL = 633 нм (а). Для возбуждения ФЛ в структуре #5168 (dS = 2 нм) использован импульсный лазер Nd-YAG с λL = 532 нм. T = 2 K. Зависимости PC(B = 0.3 Tл) от Pexc при T = 2 K (б).

Также наблюдалась зависимость степени циркулярной поляризации PC(BO) от Pexc в условиях стационарного (cw) фотовозбуждения (рис. 2б). Для понимания такого поведения важно отметить, что в экспериментах с импульсным возбуждением [5, 6] были получены данные, указывающие на альтернативный, динамический механизм поляризации, при этом PC(t) нарастает практически линейно со временем в течение импульса свечения КЯ, стартуя с PC(t = 0) ≈ 0, как это показано для структуры #5169 с dS = 5 нм в слабом поле B = = 250 мТл (рис. 3а). Действительно, если спиновая поляризация резидентных дырок в КЯ с высокой плотностью ~1011–1012 см–2 обусловлена лишь их статическим обменным взаимодействием с дельта-слоем, то при импульсном фотовозбуждении неполяризованных носителей, как электронов, так и дырок с низкой плотностью <1010 см–2 (что всегда и реализуется в эксперименте) величина PC(t) не должна зависеть от времени, а равняться своему статичному значению PC(B) при cw фотовозбуждении. Наблюдение в эксперименте PC(t = = 0) ≈ 0 в начальный момент после лазерного импульса свидетельствует о том, что резидентные дырки в КЯ в фоновом режиме деполяризованы, что противоречит стационарной модели спиновой поляризации носителей в КЯ посредством обменного взаимодействия с ионами Mn в дельта-слое. Таким образом, в структуре #5169 с dS = 5 нм реализуется альтернативный, динамический механизм поляризации ФЛ, аналогично ранее подробно исследованной структуре #5170 с dS = 10 нм [5, 6]. Теоретически динамический механизм спиновой поляризации носителей в КЯ как следствие спин-зависимого туннельного ухода и рекомбинации фотовозбужденных электронов из КЯ на поляризованных примесных донорных состояниях междоузельного MnI в ФМ δ-〈Mn〉-слое был детально рассмотрен и обоснован в работе [10]. В то же время эксперимент показывает, что при определенном сочетании условий – наборе параметров структуры можно наблюдать проявление статичного механизма поляризации, как это реализуется в структуре #5172 с более глубокой КЯ (содержание индия x = 0.15) и узким спейсером dS = 3 нм. В ней c экспериментальной точностью PC(t = 0) ≈ 0.05 ± 0.01 > 0 в поле B = 250 мТл и T = = 2 K, а линейный рост PC(t) сменяется ее падением после прохождения максимума импульса ФЛ (рис. 3б), т.е. в этой структуре одновременно реализуются оба режима поляризации носителей: статический p–d обмен и динамический спин-зависимый захват на дефекты в δ-〈Mn〉-слое.
Рис. 3.
Динамика циркулярной поляризации PC(t) в импульсном режиме (а) и нормированные импульсы свечения линии КЯ (б) для структур #5169 с dS = 5 нм, х = 0.10 (λL ~ 819 нм, B = 250 мТл, T = 6 K) и #5172 с dS = 3 нм, х = 0.15 (λL ~ 821 нм, B = 250 мТл, T = 2 K).

Монотонное уменьшение PC(B) с ростом Pexc (рис. 2б) находит объяснение в рамках кинетической модели [6, 10]. Согласно простому феноменологическому варианту этой кинетической модели [6], выражение для поляризации оптического перехода в КЯ в стационарном (cw) случае неполяризованного фотовозбуждения имеет вид PC(B) = ∆γ/2(γ + 1/τ + 1/τS) – формула (3а) в работе [6]. Здесь τ – время излучательной рекомбинации электронов (~1 нс в КЯ InGaAs/GaAs), τS – время спиновой релаксации электронов в КЯ, γ – вероятность их туннелирования из КЯ в δ‑〈Mn〉-слой (темп или обратное время захвата на дефекты в δ-слое), а ∆γ(B) = γ+ – γ− – разница значений темпов захвата для электронов со спином вверх (γ+) и спином вниз (γ–). Многие из этих параметров, например ∆γ(B), также могут зависеть от магнитного поля в силу зависимости темпа захвата от спиновой поляризации такого дефекта, как междоузельный марганец MnI, который является глубоким двойным донором в δ-〈Mn〉-слое [10]. Применительно к изучаемым ФМ структурам, в которых с большим запасом выполняется неравенство τ $ \ll $ τS [5, 6], выражение для PC(B) упрощается к виду:
(1)
${{P}_{C}}(B) \approx {{\Delta g} \mathord{\left/ {\vphantom {{\Delta g} {2(\gamma + {1 \mathord{\left/ {\vphantom {1 \tau }} \right. \kern-0em} \tau })}}} \right. \kern-0em} {2(\gamma + {1 \mathord{\left/ {\vphantom {1 \tau }} \right. \kern-0em} \tau })}} = {{\tau {\kern 1pt} *\Delta \gamma } \mathord{\left/ {\vphantom {{\tau {\kern 1pt} *\Delta \gamma } 2}} \right. \kern-0em} 2}.$Здесь введено τ* = (γ + 1/τ)−1 – общее время жизни электронов в КЯ в силу захвата на дефекты в δ-слое и/или излучательной и безызлучательной рекомбинации в КЯ. Именно это общее время измеряется в исследованиях свечения линии КЯ после импульсного пикосекундного возбуждения (рис. 4а). После подгонки импульсов свечения двухэкспоненциальной кривой с временами τ1 и τ2 зависимость “быстрого” времени τ1 от уровня фотовозбуждения Pexc для начального этапа свечения КЯ приведена на рис. 4б. Как осуждалось выше (см. рис. 1), медленный спад ФЛ на хвосте импульсов с временем τ2 происходит, по-видимому, с участков КЯ с более высоким квантовым выходом, что связано с неоднородностью центров безызлучательной рекомбинации в плоскости КЯ и/или δ-〈Mn〉-слоя. Из рис. 4 видно, что начиная с Pexc ~ 1 мВт происходит сокращение времени τ1, что сильнее выражено в структуре с более широким спейсером. При максимальной Pexc ~ 15 мВт в структуре с dS = 10 нм происходит замедление процесса сокращение τ1, а в структурах с более узким спейсером dS = 2 и 5 нм даже наблюдается рост τ1, что уже связано с перегревом образца при мощном импульсном фотовозбуждения и подтверждается также красным сдвигом линии КЯ (не показано). Сопоставляя “быстрое” время τ1 со временем жизни электронов в КЯ τ*, на основании упрощенной формулы (1) можно сделать вывод, что именно сокращение τ1 с ростом Pexc и приводит к уменьшению PC(B), наблюдаемому в эксперименте (рис. 2б). Другим вероятным фактором, приводящим к уменьшению PC(B), может быть ослабление спин-зависимого захвата электронов из КЯ в ФМ слой (т.е. уменьшение ∆γ с ростом Pexc) в связи с его насыщением, что требует отдельного исследования. Таким образом, наблюдаемое в эксперименте уменьшение PC(B) с ростом Pexc связывается в первую очередь с сокращением времени свечения τ (рис. 4б), что находит объяснение в рамках кинетической модели [5, 6, 10].
Рис. 4.
Нормированные импульсы свечения КЯ в зависимости от уровня фотовозбуждения Pexc (отмечено на рисунке) для структуры #5169 (dS = 5 нм, х = 0.10), λL ~ 800 нм (T = 6 K) (а). Зависимости “быстрого” времени свечения КЯ τ1 от Pexc для структур #5168 (dS = 2 нм), #5169 (dS = 5 нм) и #5170 (dS = 10 нм). T ~ 2 K (б).

ЗАКЛЮЧЕНИЕ
Детально исследована магнитополевая зависимость степени циркулярной поляризации PC(B) ФЛ в квантовых ямах InGaAs/GaAs/δ-〈Mn〉 с ФМ δ-слоем Mn, отделенным от КЯ спейсером GaAs толщиной dS = 2–10 нм. Установлено, что величина PC(B) существенно зависит не только от толщины спейсера dS или глубины КЯ (содержания индия), но и от плотности мощности возбуждения Pexc. Монотонное уменьшение PC(B) с ростом Pexc связывается с сокращением времени свечения оптического перехода в КЯ, что наблюдается в эксперименте и находит объяснение в рамках кинетической модели [5, 10]. Показано, что в структурах с узким спейсером dS ≤ 3 нм одновременно работают два режима поляризации носителей: динамический спин-зависимый туннельный захват на дефекты в соседнем δ-слое Mn [10] и статический p–d обмен дырок с этим же δ-〈Mn〉-слоем [3, 4]
Работа выполнена в рамках темы государственного задания ИФТТ РАН.
Список литературы
Dietl T., Ohno H // Rev. Mod. Phys. 2014. V. 86. P. 187.
Захарченя Б.П., Коренев В.Л. // УФН. 2005. Т. 175. С. 629; Zakharchenya B.P., Korenev V.L. // Phys. Usp. 2005. V. 48. P. 603.
Myers R.C., Gossard A.C., Awschalom D.D. // Phys. Rev. B. 2004. V. 69. Art. No. 161305(R).
Зайцев С.В., Дорохин М.В., Бричкин А.С. и др. // Письма в ЖЭТФ. 2009. Т. 90. С. 730; Zaitsev S.V., Dorokhin M.V., Brichkin A.S. et al. // JETP Lett. 2010. V. 90. P. 658.
Korenev V.L., Akimov I.A., Zaitsev S.V. et al. // Nature Commun. 2012. V. 3. P. 959.
Akimov I.A., Korenev V.L., Sapega V.F. et al. // Phys. Stat. Sol. B. 2014. V. 251. P. 1663.
Dmitriev A.I., Talantsev A.D., Zaitsev S.V. et al. // J. Phys. Conf. Ser. 2012. V. 345. No. 1. Art. No. 012014.
Панков М.А., Аронзон Б.А., Рыльков В.В. и др. // ЖЭТФ. 2009. Т. 136. № 2. С. 346; Pankov M.A., Aronzon B.A., Rylkov V.V. et al. // JETP. 2009. V. 109. No. 2. P. 293.
Zaitsev S.V., Kulakovskii V.D., Dorokhin M.V. et al. // Physica E. 2009. V. 41. P. 652.
Rozhansky I.V., Denisov K.S., Averkiev N.S. et al. // Phys. Rev. B. 2015. V. 92. Art. No. 125428.
Дополнительные материалы отсутствуют.
Инструменты
Известия РАН. Серия физическая


