Успехи современной биологии, 2023, T. 143, № 5, стр. 454-465
Изучение корреляционных связей и генетических ассоциаций промеров у самок северных оленей (Rangifer tarandus) ненецкой породы
Г. Р. Свищёва 1, 2, *, М. Т. Семина 1, Е. А. Коноров 1, Э. А. Николаева 1, С. Н. Каштанов 1, К. А. Лайшев 1, 3, А. А. Южаков 1, 3, **, Ю. А. Столповский 1, ***
1 Институт общей генетики им. Н.И. Вавилова Российской академии наук
Москва, Россия
2 Федеральный исследовательский центр, Институт цитологии и генетики Сибирского отделения Российской академии наук
Новосибирск, Россия
3 Санкт-Петербургский федеральный исследовательский центр РАН
Санкт-Петербург, Россия
* E-mail: gulsvi@mail.ru
** E-mail: alyuzhakov@yandex.ru
*** E-mail: stolpovsky@mail.ru
Поступила в редакцию 07.12.2022
После доработки 25.04.2023
Принята к публикации 01.06.2023
- EDN: QWUNEY
- DOI: 10.31857/S0042132423050095
Аннотация
Племенной потенциал оленеводства определяется грамотной работой с генетическими ресурсами, поэтому изучение фенотипических признаков северных оленей необходимо проводить в комплексе с изучением особенностей их генофондов. В работе проведен анализ корреляционных связей и генетических ассоциаций фенотипических признаков у 98 самок северных оленей (Rangifer tarandus) ненецкой породы в возрасте от 3 до 9 лет в сравнительном аспекте по основным промерам тела и индексам телосложения, вычисленных по этим промерам. Для анализа использовали панель 16 микросателлитных локусов (BMS1788, RT30, RT1, RT9, C143, RT7, OHEQ, FCB193, RT6, C217, RT24, C32, BMS745, NVHRT16, T40 и C276). Поиск взаимосвязей между генотипом и фенотипом северных оленей был выполнен с помощью регрессионного анализа; только для трех фенотипических признаков – высота в холке, глубина груди и индекс растянутости – была выявлена ненулевая наследуемость. С помощью корреляционного анализа установлено, что живая масса взрослых самок с учетом возраста и генетического родства, имеет высокую положительную корреляцию с высотой в холке (r ≈ 0.70), обхватом груди (r ≈ 0.79) и глубиной груди (r ≈ 0.73).
ВВЕДЕНИЕ
Фенотип домашнего северного оленя включает в себя комплекс хозяйственно-биологических признаков, имеющих наследственную детерминацию и проявившихся при определенных условиях окружающей среды (при паратипических условиях) у отдельного животного в процессе роста, развития и хозяйственного использования. К фенотипическим признакам животных относятся различные морфобиологические показатели, такие как масть, экстерьер, живая масса, физиологические и биохимические показатели, белки крови и другие. В практической селекции домашних северных оленей из методов классической зоотехнии обычно применяют глазомерную балльную оценку экстерьерного профиля и отбор животных по живой массе. Это в первую очередь связано с доступностью зоотехнических методов в условиях содержания и разведения племенных хозяйств и относительно несложными алгоритмами обработки полученных данных. Значительно реже в селекции северных оленей применяют метод индивидуальной оценки по промерам и индексам телосложения, что объясняется более высокой трудоемкостью реализации этого метода и слабой методической подготовленностью специалистов хозяйств. Кроме того, среди практиков существует мнение, что высокая живая масса предполагает хорошее телосложение северного оленя, поэтому для бонитировки животного достаточно одного взвешивания. Данное утверждение верно лишь отчасти, а именно на начальном этапе селекционного процесса, когда индивидуальные колебания/изменения живой массы и экстерьерно-конституциональных особенностей животных в стаде достаточно велики. По мере выравнивания этих показателей глазомерная балльная оценка, в отличие от оценки по промерам, не дает возможности улавливать возрастные изменения, поскольку специалисту становится труднее оценивать различия в телосложении животных “на глаз”. Возникает необходимость использования промеров с привлечением более точных и объективных статистических методов оценки селекционного процесса экстерьера животного.
Одним из основных методов статистического анализа взаимозависимости показателей является корреляционный анализ, оценивающий направление и силу взаимосвязи между двумя и более признаками. Этот метод успешно применялся при из-учении хозяйственно-полезных признаков пород и географических групп северных оленей (Мухачев, 1968; Деряженцев, Шифнер, 1978). Из более поздних исследований можно отметить работу (Рожков, Проняев, 1992), в которой у различных пород северных оленей была выявлена более высокая изменчивость промеров, по сравнению с пропорциями телосложения, определяемыми визуально. С помощью корреляционного анализа была выявлена статистически достоверная феногеографическая изменчивость северных оленей (Южаков, 2003).
Позднее были проведены исследования по из-учению генетической изменчивости признаков, связанных с ростом оленят (Muuttoranta et al., 2013, 2014). Также была выявлена значимая генетическая изменчивость в отношении признаков, связанных с показателями массы тела, скоростью и интенсивностью прироста (Holand et al., 2020). Однако у других копытных анализ наследуемости массы животного показал, что наследуемость уменьшается по мере увеличения возраста взвешиваемого животного, что может быть связано с различиями в интенсивности и скорости роста, с различиями в кормлении и содержании животных (Wilson et al., 2005; Muuttoranta et al., 2010). У северных оленей такой зависимости не наблюдалось, наследуемость массы тела при рождении значительно не отличалась от наследуемости массы тела через год (Muuttoranta et al., 2014).
В одном из наших исследований тундровых северных оленей Ямало-Ненецкого автономного округа (АО) был проведен анализ эффективности отбора животных по живой массе путем определения повторяемости и ее наследуемости (Южаков и др., 2017). Был установлен невысокий, но статистически достоверный коэффициент корреляции r между живой массой матерей и живой массой их потомства в шестимесячном возрасте. У северных оленей показатели живой массы в шестимесячном и полуторогодовалом возрастах положительно и статистически достоверно коррелируют (r ≈ 0.6). Коэффициент корреляции между показателями живой массы оленей в 1.5- и 2.5-летних возрастах сохранялся на среднем уровне, в диапазоне 0.4–0.5. Однако генетическая архитектура (в частности, наследуемость) других количественных признаков северного оленя недостаточно изучена.
В данной работе мы представляем результаты анализа основных показателей домашних северных оленей Ямало-Ненецкого АО на генетическом уровне. Для оценки степени генетической дифференциации животных была использована мультиплексная панель микросателлитов. Эта панель была успешно применена при изучении генетической структуры и генетической дифференциации между дикими и домашними формами северных оленей, включая популяцию ненецкой породы (Svishcheva et al., 2022). Использование генотипических данных повысит уровень информативности фенотипов, благодаря возможности идентификации животных, оценке их генетического разнообразия, вычисления степени инбридинга и внедрения полученных результатов в селекционные программы для работы с видом.
МАТЕРИАЛЫ И МЕТОДЫ
Выборка животных
Для изучения фенотипической и генетической изменчивости была сформирована выборка животных ненецкой породы из стада Ямальской опытной станции (г. Салехард). В октябре 2020 г. были обследованы 98 важенок (взрослых самок) в возрасте от 3 до 9 лет, здоровых, без пороков телосложения и имевших теленка. У отобранных животных были сделаны зоотехнические промеры. Для генетических исследований у тех же животных отобраны пробы хрящевой ткани из уха, помещенные в пробирки с 70%-ным этиловым спиртом.
Извлечение ДНК и анализ фрагментов
Выделение ДНК проводилось из образцов хрящевой ткани наборами Qiagen (QIAwave DNA Blood & Tissue Kit). Мультиплексный ПЦР-анализ микросателлитных локусов, содержащих короткие тандемные повторы, проводился биотехнологической компанией COrDISс (Гордис, Москва, Россия), сертифицированной на соответствие стандарту ISO 9001:2015. Генотипирование микросателлитных локусов выполняли методом мультиплексного ПЦР-анализа с последующим обнаружением флуоресцентно меченых фрагментов методом капиллярного электрофореза. Разработанная мультиплексная STR-панель состояла из 10 динуклеотидных (RT6, BMS1788, RT30, RT1, RT9, RT7, RT24, FCB193, BMS745 и NVHRT16) и 6 тетрануклеотидных маркеров (OHEQ, T217, C32, Т40, C276 и C143), описательные характеристики которых детально представлены в работах (Семина et al., 2022; Stolpovsky et al., 2020; Dodokhov et al., 2021; Svishcheva et al., 2022). Все локусы были протестированы на соответствие требованиям, обеспечивая высокую эффективность специфической амплификации ДНК, полиморфизм, отсутствие конфликта между праймерами различных маркеров при комбинации в одной реакции и распределение длин микросателлитных аллелей таким образом, чтобы диапазон длин не перекрывался.
Статистический контроль микросателлитных данных
Анализ данных на основе генотипирования проводили в программной среде R (Team 2017) с использованием пакетов adegenet (Jombart, 2008), pegas (Paradis, 2010), poppr (Kamvar et al., 2014), PopGenReport (Adamack, Gruber, 2014; Gruber, Adamack, 2015) и Hierfstat (Goudet, 2005). Для различения животных определено минимальное количество локусов, для которых должны быть измерены генотипы, используя кривую накопления генотипов (poppr::gac; 10 000 перестановок). Основываясь на этих результатах, в анализ включены только те животные, у которых было успешно амплифицировано ≥15 локусов. Далее, было оценено неравновесие по сцеплению для парных локусов, используя стандартизированный индекс ассоциации rd (Agapow, Burt, 2001) (poppr::pair.ia; 10 000 перестановок), протестированы отклонения от равновесия Харди-Вайнберга (Hardy-Weinberg equilibrium, HWE), используя точный тест хи-квадрат, основанный на Монте-Карловских пермутациях аллелей (pegas::hw.test; 10 000 перестановок). Полученные статистики были поправлены для контроля частоты ложноположительных результатов (false discovery rate, FDR) с помощью функции stats::p.adjust. Мы также оценивали наличие нулевых аллелей, которые могут проявляться как дефицит микросателлитной гетерозиготности в соответствии с вычисленными частотами, выполненными с помощью функции PopGenReport::null.all. Коэффициент инбридинга каждого животного вычислили c помощью функции adegenet::inbreeding. Филогенетическое дерево было построено на основе генетических расстояний Нея методом ближайшего соседа с помощью функции poppr::nei.dist.
Фенотипические данные
В качестве фенотипических признаков рассматривались хозяйственно-полезные показатели, полученные нами при зоотехническом обследовании. Живую массу и промеры тела у северных оленей определяли согласно рекомендациям отдела оленеводства НИИСХ Крайнего Севера (Дьяченко, 1970). Вес животных (weight) был измерен на динамометрических электронных весах с точностью до 1.0 кг. Для анализа были взяты следующие зоотехнические промеры с точностью измерения до 1.0 см:
высота в холке (height_at_withers), высота в локте (elbow_height), глубина груди (chest_depth) и ширина груди (chest_width) за лопатками, измеренные с помощью мерной палки;
косая длина туловища (body_length) и обхват груди (bust), измеренные с помощью мерной ленты;
ширина в маклоках (width_in_makloks) и длина головы (head_length), измеренные с помощью мерного циркуля.
На основе выполненных промеров были вычислены основные индексы телосложения животных:
| Индексы телосложения | Формула расчета (×100%) |
|---|---|
| 1. Индекс длинноногости характеризует развитие ног в длину | $~\frac{{{\text{высота\;в\;холке\;--\;глубина\;груди}}}}{{{\text{высота\;в\;холке}}}}$ |
| 2. Индекс растянутости характеризует развитие туловища в длину | $\frac{{{\text{косая\;длина\;туловища}}}}{{{\text{высота\;в\;холке}}}}$ |
| 3. Индекс тазо-грудной характеризует развитие груди в ширину относительно тазовой области | $\frac{{{\text{ширина\;груди\;за\;лопатками}}}}{{{\text{ширина\;в\;маклоках}}}}$ |
| 4. Индекс грудной характеризует общее развитие грудной части | $\frac{{{\text{ширина\;груди}}}}{{{\text{глубина\;груди}}}}$ |
| 5. Индекс сбитости характеризует компактность телосложения | $\frac{{{\text{обхват\;груди}}}}{{{\text{косая\;длина\;туловища}}}}$ |
| 6. Индекс большеголовости характеризует развитие головы в длину | $\frac{{{\text{длина\;головы}}}}{{{\text{высота\;в\;холке}}}}$ |
| 7. Индекс массивности1 служит показателем силы и развития массы тела по отношению к росту | $\frac{{{\text{обхват\;груди}}}}{{{\text{высота\;в\;холке}}}}$ |
| 8. Индекс массивности 2 характеризует соотношение веса и роста | $\frac{{{\text{Вес}}}}{{{{{\left( {{\text{высота\;в\;холке}}} \right)}}^{{\text{3}}}}}}$ |
| 9. Индекс узкотелости (лептосомии) или широкотелости (эйрисомии) указывает на конституциональ-ный тип | $\frac{{{\text{длина\;туловища\; + \;высота\;в\;холке}}}}{{{\text{ширина\;груди\; + \;ширина\;в\;маклоках}}}}$ |
Модель
Для поиска ассоциаций между признаками и генотипами была построена линейная регрессионная модель, показывающая зависимость между признаком и микросателлитным локусом:
где y – (n × 1)-вектор значений признака, измеренных у n животных; X – (n × 2)-матрица ковариат (первый столбец – возраст, а второй – вектор единиц (для учета интерсепта)); Gm – (nLm)-матрица генотипов m-го микросателлитного локуса, где Lm – число аллельных вариантов в m-ом локусе, а элемент матрицы, ${{G}_{{{{m}_{{ij}}}}}},$ показывает дозу (0, 1 или 2) j-ого аллеля в m-ом локусе у i-ого животного, α – (2 × 1)-вектор фиксированных эффектов возраста и интерсепта на признак, β – (Lm × 1)-вектор фиксированных эффектов аллельных вариантов микросателлитного локуса на признак, ε – (n × 1)-вектор случайных значений, детерминированный полигенными и средовыми факторами. Предполагается, что ε нормально распределен с нулевым вектором матожиданий и корреляционной матрицей $V = {{h}^{2}}R + \left( {1 - {{h}^{2}}} \right)I,$ где h2 – коэффициент наследуемости признака, R – матрица генетического родства между животными и I – единичная матрица. Нулевая модель (1) предполагает отсутствие генетических ассоциаций признака с анализируемым микросателлитным локусом, β ≠ 0.Для проведения статистического анализа, прежде всего, необходимо оценить параметры модели при нулевой гипотезе (интерсепт, эффект возраста на признак, дисперсия и наследуемость признака) и проверить условие о нормальности распределения значений признака после его стандартизации и коррекции на родство. Параметры модели при нулевой гипотезе были оценены методом максимального правдоподобия, а нормальность распределения проверяли тестом Шапиро–Уилка, с помощью функции NullMixedModel() из R-пакета FREGAT (Belonogova et al., 2016).
Для модели (1), использовали F-распределенную тестовую статистику:
которая зависит от объема выборки животных (n), максимального числа независимых столбцов матрицы G ($r = \left( {rank\left( G \right)} \right)$ коэффициента детерминации (R2), вычисленного какДля построения адекватной модели наследования, учитывающей полигенную компоненту в формировании признака, необходимо оценить матрицу генетического родства между анализируемыми животными.
Генетическое родство между животными
Поскольку для анализируемых самок не велось никаких учетных записей по родословной, мы оценили матрицу генетического родства R между животными как матрицу идентичности по состоянию (identity-by-state, IBS), где ее элементом является доля общих аллелей у пары животных i и j. Построение IBS-матрицы основано на матрице генотипов, $G = \left( {{{G}_{1}},{{G}_{2}}, \ldots ,{{G}_{m}}, \ldots ,{{G}_{M}}} \right){\kern 1pt} :$
(3)
${{R}_{1}}\left( {{{G}^{i}},~{{G}^{j}}} \right) = \frac{1}{M}\mathop \sum \limits_{m\,\, = \,\,1}^M \left( {1 - \frac{1}{4}\mathop \sum \limits_a \left| {G_{{{{m}_{a}}}}^{i} - G_{{{{m}_{a}}}}^{j}} \right|} \right),$Корреляции между признаками
Корреляционный анализ, как известно, не выявляет причинных связей между переменными, он лишь дает количественную оценку тесноты связи между изучаемыми показателями и подтверждает достоверность суждений о наличии связи. Однако знание корреляционных связей между признаками необходимо при отборе, поскольку селекция ведется одновременно по десяткам хозяйственно-полезных признаков. Причинный характер корреляций выясняют с помощью логических рассуждений, раскрывающих механизм связей и заложенных в вероятностные модели, описывающие наследование признаков. При проведении корреляционного анализа предполагают, что фенотипические признаки являются случайными и выбранными из генеральной совокупности, распределенной по нормальному закону. Стоит отметить, что с помощью корреляционного анализа оценивают не только тесноту связи между признаками, но и решают задачи отбора факторов, оказывающих наиболее существенное влияние на зависимый признак.
Коэффициент корреляции (r) варьирует от −1 до 1. При положительных корреляциях предполагается, что с увеличением одного признака увеличивается и другой. Отрицательная корреляция, наоборот, показывает, что увеличение одного признака приводит к уменьшению другого. Коэффициент корреляции на уровне 0.5 представляется достаточно высоким. Можно предположить, что при такой корреляции совпадение вариации двух переменных должно быть в 50% случаев. В реальности так не бывает и поэтому степень линейной зависимости в вариации двух переменных более точно измеряется квадратом коэффициента корреляции – коэффициентом детерминации (r2), который варьируется от 0 до 1. В случае линейной связи коэффициент детерминации указывает на долю изменчивости одной переменной, которая обусловлена изменчивостью другой переменной (и наоборот). Тогда (1 − r2) отображает остаточную долю изменчивости одного признака, обусловленную всеми другими, не учтенными в эксперименте, причинами. Так, например, если коэффициент корреляции между двумя признаками равен 0.5, только 25% изменчивости одного признака объясняется изменчивостью другого признака (степень связности). По остальной же части изменчивости соотношение между признаками считается случайным. Таким образом, (r ≥ 0.7) свидетельствует о тесной связи, (r < 0.5) указывает на слабую связь, а (0.5 ≤ r < 0.7) – на среднюю.
РЕЗУЛЬТАТЫ
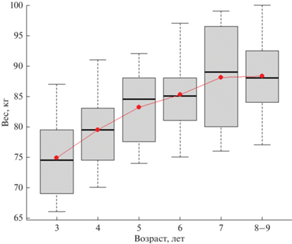
Распределение по возрастным категориям показателя живой массы животного, который варьируется от 66 до 100 кг среди исследуемых самок, показано на рис. 1. Как видно, этот показатель медленно растет с увеличением возраста животных и выходит на плато к 7–9 годам. Отметим, что из-за малочисленности возрастной группы самок в возрасте 9 лет (2 самки), эта группа была объединена с группой 8-летних самок.
Рис. 1.
Визуализация распределения реальных показателей живой массы животных по возрастным категориям от 3 до 9 лет с помощью диаграмм “box plot”. Границы прямоугольников (box) показывают нижний и верхний квартили; линиями внутри прямоугольников отмечены медианы; “усы” показывают диапазон разброса значений; кружками отмечены нетипичные данные, выбросы. Красными точками отмечены средние значения показателей веса.

Относительно всей выборки, среднее значение показателей веса составило 82.61 ± 0.80 кг, высоты в холке – 94.97 ± 0.36 см, высоты до локтевого сустава – 54.4 ± 0.25 см, глубины груди – 40.71 ± 0.20 см, обхвата груди – 115.37 ± 0.50 см, ширины груди – 25.63 ± 0.21 см, ширины в маклоках – 22.76 ± 0.14 см, косой длины туловища – 102.26 ± 0.47 см и длины головы – 33.72 ± 0.17 см. Кроме того, были вычислены средние значения индексов телосложения: индексы длинноногости – 57.13 ± 0.14, растянутости – 107.73 ± 0.44, тазо-грудной – 112.78 ± 0.88, грудной – 63.00 ± 0.50, сбитости – 112.98 ± 0.59, большеголовости – 35.53 ± 0.17, массивности – 121.5 ± 0.50 и узкотелости – 408.84 ± ± 2.48. Оценки веса, промеров и индексов телосложения согласуются с соответствующими показателями, полученными для взрослых самок той же породы в работе (Югай, 2009).
Для сравнения распределений признаков были построены диаграммы “box plot” для значений, шкалированных на дисперсию (рис. 2). Наибольший разброс значений наблюдается по показателям “вес” и “ширина груди”. Практически по всем показателям, кроме показателей глубины груди, высоты в маклоках и высоты в локтевом суставе, отсутствуют выбросы, которые могут быть вызваны погрешностями в измерении животных.
Рис. 2.
Диаграммы “box plot” для значений признаков, шкалированных на дисперсию. Границы прямоугольников (box) показывают нижний и верхний квартили; линиями внутри прямоугольников отмечены медианы; “усы” показывают диапазон разброса значений; кружками отмечены нетипичные данные, выбросы.

У животных, генотипированных по 16 микросателлитам, обнаружено 119 аллелей. Число аллелей на локус варьировалось от 2 до 13. Наиболее полиморфным является локус OheQ с 13 аллелями, а наименьший уровень разнообразия обнаружен в локусе C217, имеющем 2 аллеля. Параметры генетического разнообразия для изучаемых локусов представлены в табл. 1.
Таблица 1.
Параметры генетического разнообразия для изучаемых локусов
| Локус | Число аллелей на локус | Индекс аллельного богатства | Наблюдаемая гетерозиготность | Ожидаемая гетерозиготность |
|---|---|---|---|---|
| BMS1788 | 11 | 10.75 | 0.8 | 0.82 |
| Rt30 | 7 | 6.63 | 0.54 | 0.54 |
| Rt1 | 9 | 8.94 | 0.88 | 0.84 |
| Rt9 | 8 | 7.98 | 0.81 | 0.83 |
| C143 | 3 | 3.00 | 0.34 | 0.36 |
| Rt7 | 9 | 8.81 | 0.67 | 0.67 |
| OheQ | 13 | 12.66 | 0.87 | 0.85 |
| FCB193 | 7 | 6.75 | 0.74 | 0.77 |
| Rt6 | 10 | 9.73 | 0.74 | 0.73 |
| C217 | 2 | 1.94 | 0.02 | 0.02 |
| Rt24 | 9 | 8.93 | 0.73 | 0.78 |
| C32 | 5 | 4.75 | 0.51 | 0.55 |
| BMS745 | 7 | 6.75 | 0.7 | 0.7 |
| NVHRT16 | 8 | 7.94 | 0.83 | 0.79 |
| T40 | 5 | 4.94 | 0.37 | 0.41 |
| C276 | 6 | 5.93 | 0.71 | 0.75 |
Для всех локусов отклонений от HWE не обнаружено при выполнении тестирования тремя используемыми методами: 1) точный критерий хи-квадрат; 2) критерий хи-квадрат, поправленный на FDR и 3) критерий хи-квадрат, основанный на перестановке аллелей методом Монте-Карло (B = = 1.000 перестановок) и поправленный на FDR (табл. 2). Индекс неравновесия по сцеплению rd не превышал 0.08.
Таблица 2.
p-значения для тестирования отклонения от HWE для каждого локуса
| Локус | Тест 1 | Тест 2 | Тест 3 |
|---|---|---|---|
| BMS1788 | 0.1409 | 0.8471 | 0.6310 |
| Rt30 | 0.8521 | 0.9997 | 0.9345 |
| Rt1 | 0.3231 | 0.8471 | 0.7636 |
| Rt9 | 0.7266 | 0.9997 | 0.9345 |
| C143 | 0.3818 | 0.8471 | 0.7636 |
| Rt7 | 0.7468 | 0.9997 | 0.9345 |
| OheQ | 0.8499 | 0.9997 | 0.9345 |
| FCB193 | 0.3543 | 0.9997 | 0.7636 |
| Rt6 | 0.5746 | 0.9732 | 0.9194 |
| C217 | 1.0000 | 0.9997 | 1.0000 |
| Rt24 | 0.0428 | 0.4569 | 0.6310 |
| C32 | 0.1726 | 0.8471 | 0.6310 |
| BMS745 | 0.4686 | 0.8471 | 0.8331 |
| NVHRT16 | 0.8761 | 0.9997 | 0.9345 |
| T40 | 0.1972 | 0.9732 | 0.6310 |
| C276 | 0.1082 | 0.8471 | 0.6310 |
Животных с высоким уровнем инбридинга не выявлено. Средний коэффициент инбридинга, усредненный по всем самкам, был равен 0.165 ± ± 0.007. Теплокарта иллюстрирует генетическое родство между самками, вычисленное по формуле (рис. 3). Разброс коэффициента схожести животных по микросателлитным генотипам (коэффициент родства между животными) варьировал от 0.22 до 0.78, что говорит о высоком уровне общего генетического фона, что очевидно при гаремном образе жизни северных оленей. В качестве альтернативы было построено филогенетическое дерево, где наглядно показано разделение самок на гаремные группы (рис. 4).
Рис. 4.
Филогенетическое дерево, построенное на генетических расстояниях Нея с помощью метода ближайшего соседа.

В табл. 3 для всех изучаемых промеров и индексов телосложения представлены оценки интерсепта, эффекта возраста, дисперсии и наследуемости. p-значения теста Шапиро–Уилка для всех признаков, стандартизованных и поправленных с учетом родства между животными, оказались больше 0.05, что указывает на их нормальное распределение. Для всех промеров, кроме показателя “ширина груди”, мы наблюдаем значимое влияние возраста на признак (табл. 3), а для всех изучаемых индексов телосложения, как и ожидалось, эффект возраста был незначим. Только для трех фенотипических признаков: “высота в холке”, “глубина груди” и “индекс растянутости” была обнаружена ненулевая наследуемость при использовании IBS-матрицы в качестве матрицы генетического сходства.
Таблица 3.
Оценки параметров нулевой модели наследуемости признаков
| Промеры | h2 | Var | Intercept: est(se) | Age: est(se) | P(intercept) | P(age) | P.norm |
|---|---|---|---|---|---|---|---|
| Вес | 0 | 0.00116 | 1.796(0.019) | 0.171(0.027) | 1.4E-93 | 6.3E-09 | 0.064 |
| Высота в холке | 0.29 | 0.00026 | 1.946(0.010) | 0.041(0.011) | 1.4E-122 | 5.4E-04 | 0.839 |
| Высота в локте | 0 | 0.00037 | 1.714(0.011) | 0.030(0.015) | 2.9E-114 | 5.1E-02 | 0.045 |
| Глубина груди | 0.2 | 0.00039 | 1.571(0.012) | 0.052(0.015) | 1.1E-106 | 6.0E-04 | 0.514 |
| Обхват груди | 0 | 0.00029 | 2.028(0.010) | 0.049(0.013) | 6.1E-126 | 4.3E-04 | 0.362 |
| Ширина груди | 0 | 0.0012 | 1.377(0.019) | 0.044(0.027) | 1.9E-82 | 1.1E-01 | 0.491 |
| Ширина в маклоках | 0 | 0.00065 | 1.319(0.014) | 0.054(0.020) | 8.6E-93 | 8.2E-03 | 0.683 |
| Косая длина туловища | 0 | 0.00031 | 1.968(0.010) | 0.059(0.014) | 2.9E-123 | 4.8E-05 | 0.632 |
| Длина головы | 0 | 0.00036 | 1.473(0.011) | 0.079(0.015) | 1.1E-108 | 9.2E-07 | 0.332 |
| Индексы телосложения | h2 | Var | Intercept: est(se) | Age: est(se) | P(intercept) | P(age) | P.norm |
| Длинноногость | 0 | 0.0001 | 1.763(0.006) | –0.008(0.008) | 4.2E-141 | 2.9E-01 | 0.926 |
| Растянутость | 0.18 | 0.00032 | 2.021(0.011) | 0.018(0.013) | 4.3E-121 | 1.7E-01 | 0.469 |
| Тазо-грудной | 0 | 0.00107 | 2.058(0.018) | –0.011(0.026) | 1.3E-100 | 6.8E-01 | 0.609 |
| Грудной | 0 | 0.00113 | 1.802(0.019) | –0.006(0.026) | 2.8E-94 | 8.3E-01 | 0.561 |
| Сбитость | 0 | 0.00048 | 2.060(0.012) | –0.010(0.017) | 1.5E-116 | 5.5E-01 | 0.387 |
| Большеголовость | 0 | 0.00039 | 1.522(0.011) | 0.040(0.016) | 9.4E-109 | 1.1E-02 | 0.827 |
| Массивность 1 | 0 | 0.00029 | 2.077(0.010) | 0.010(0.014) | 1.3E-126 | 4.6E-01 | 0.956 |
| Массивность 2 | 0 | 0.0014 | –2.055(0.021) | 0.055(0.029) | 3.2E-95 | 6.5E-02 | 0.374 |
| Узкотелость | 0 | 0.00065 | 2.611(0.014) | 0.001(0.020) | 5.4E-120 | 9.8E-01 | 0.367 |
Примечание: h2 – наследуемость признака; var – дисперсия признака; intercept est(se) – размер эффекта интерсерта на признак и его стандартное отклонение; age и age est(se) – размер эффекта возраста на признак и его стандартное отклонение; P.norm – p-значение теста нормальности; серым цветом выделены признаки, для которых обнаружена наследуемость.
Анализ ассоциаций, выполненный для каждой пары “локус–признак”, не выявил значимых связей по большинству пар при пороговом p-значении α = 0.05. Исключение составили локусы Rt7, Rt30, Rt1, Rt9, OheQ, C217 и C32, для которых обнаружены ассоциации с одним, двумя или тремя признаками (табл. 4). После коррекции Бонферрони, при пороговом p-значении = 0.003125, значимых ассоциаций не выявлено ни для одной из пар. Ближайшее к порогу p-значение было для локуса C32 и показателя косой длины туловища (p < 0.005).
Таблица 4.
p-значения для F-статистик, вычисленных для пар локус–признак
| Промеры/индексы | Rt30 | Rt1 | Rt9 | Rt7 | OheQ | C217 | C32 |
|---|---|---|---|---|---|---|---|
| Вес | 0.862 | 0.390 | 0.954 | 0.320 | 0.069 | 0.067 | 0.081 |
| Высота в холке | 0.767 | 0.370 | 0.912 | 0.055 | 0.365 | 0.642 | 0.071 |
| Высота в локте | 0.777 | 0.083 | 0.479 | 0.019 | 0.225 | 0.331 | 0.188 |
| Глубина груди | 0.677 | 0.447 | 0.341 | 0.413 | 0.240 | 0.608 | 0.238 |
| Обхват груди | 0.869 | 0.725 | 0.330 | 0.900 | 0.095 | 0.355 | 0.162 |
| Ширина груди | 0.665 | 0.572 | 0.828 | 0.824 | 0.444 | 0.064 | 0.635 |
| Ширина в маклоках | 0.601 | 0.755 | 0.527 | 0.047 | 0.385 | 0.242 | 0.037 |
| Косая длина туловища | 0.898 | 0.949 | 0.414 | 0.633 | 0.015 | 0.183 | 0.005 |
| Длина головы | 0.112 | 0.239 | 0.515 | 0.598 | 0.266 | 0.023 | 0.248 |
| Длинноногость | 0.396 | 0.017 | 0.035 | 0.212 | 0.185 | 0.261 | 0.777 |
| Растянутость | 0.635 | 0.750 | 0.093 | 0.169 | 0.637 | 0.088 | 0.354 |
| Тазо-грудной | 0.973 | 0.329 | 0.649 | 0.868 | 0.763 | 0.301 | 0.234 |
| Грудной | 0.267 | 0.641 | 0.687 | 0.780 | 0.862 | 0.099 | 0.716 |
| Сбитость | 0.941 | 0.860 | 0.021 | 0.684 | 0.444 | 0.724 | 0.354 |
| Большеголовость | 0.026 | 0.515 | 0.283 | 0.307 | 0.855 | 0.012 | 0.373 |
| Массивность 1 | 0.408 | 0.864 | 0.453 | 0.412 | 0.524 | 0.203 | 0.716 |
| Массивность 2 | 0.077 | 0.163 | 0.301 | 0.093 | 0.181 | 0.030 | 0.300 |
| Узкотелость | 0.314 | 0.803 | 0.719 | 0.653 | 0.288 | 0.134 | 0.871 |
В ходе анализа корреляционных связей между реальными фенотипическими признаками (табл. 5) нами установлено, что живая масса взрослых самок имеет высокую положительную корреляцию с высотой в холке (r ≈ 0.70), обхватом груди (r ≈ 0.79) и глубиной груди (r ≈ 0.73).
Таблица 5.
Корреляции между промерами у важенок
| Высота в холке | 0.7 | |||||||
| Обхват груди | 0.79 | 0.57 | ||||||
| Косая длина туловища | 0.65 | 0.59 | 0.41 | |||||
| Высота в локте | 0.38 | 0.81 | 0.26 | 0.43 | ||||
| Глубина груди | 0.73 | 0.79 | 0.73 | 0.5 | 0.38 | |||
| Ширина груди | 0.67 | 0.4 | 0.71 | 0.33 | 0.37 | 0.67 | ||
| Ширина в маклоках | 0.64 | 0.5 | 0.52 | 0.46 | 0.44 | 0.57 | 0.66 | |
| Длина головы | 0.68 | 0.46 | 0.57 | 0.47 | 0.44 | 0.68 | 0.22 | 0.3 |
| Вес | Высота в холке | Обхват груди | Косая длина туловища | Высота в локте | Глубина груди | Ширина груди | Ширина в маклоках |
Такой важный промер, как высота в холке, имеет высокую положительную корреляцию с живой массой (r ≈ 0.70), высотой в локте (r ≈ 0.81), глубиной груди (r ≈ 0.79). Обхват груди тесно коррелировал с живой массой (r ≈ 0.79) и менее тесно с двумя другими грудными промерами. Косая длина туловища не показала высокой степени корреляции ни с живой массой, ни с одним из полученных промеров (r ≈ 0.33–0.65). Величина корреляции с такими фенотипическими показателями как живая масса (r ≈ 0.65), высота в холке (r ≈ 0.59), глубина груди (r ≈ 0.50) имеют среднюю величину и позволяют в некоторых случаях использовать промер косой длины туловища в селекции северных оленей на живую массу и крупность. Другие промеры: высота в локте, ширина груди, ширина в маклоках, длина головы – имеют низкую степень сопряженности с живой массой и другими промерами, но и они могут использоваться при возникновении дополнительных задач в селекции оленей.
Генетические корреляции между промерами, поправленными на возраст, интерсепт и генетическое родство, выявленное с помощью IBS-матрицы, в большинстве случаев остались на том же среднем положительном уровне (рис. 5). Отметим, что высокий уровень корреляционной связи показали пары промеров “высота в холке” и “высота в локте” (0.84) и пара “высота в холке” и “глубина груди” (0.72).
ОБСУЖДЕНИЕ
В нашем исследовании был проведен комплексный корреляционно-регрессионный анализ основных промеров и индексов телосложения у взрослых самок северных оленей ненецкой породы на основе микросателлитных данных. Нами было обнаружено, что для показателя живой массы взрослых самок коэффициент наследуемости, вычисленный как доля дисперсии признака, обусловленная влиянием генетических маркеров, равен нулю. Это может быть следствием высокой возрастной гетерогенности изучаемой выборки самок, а также следствием различий в оценке наследуемости веса для различных возрастных групп, что может приводить к смещению нашей оценки.
Большое количество фенотипических признаков и отсутствие достаточной выборки животных для исследования этих фенотипов стало причиной осложнения в получении результатов оценки материнского эффекта и, как следствие, сравнения их с предыдущими исследованиями. Однако нам удалось изучить фенотипическое и генетическое разнообразие северного оленя, проанализировать взаимосвязи между экстерьерными признаками (промерами и индексами телосложения) и полиморфизмом микросателлитных маркеров.
Отсутствие значимых ассоциаций между фенотипами и микросателлитными маркерами в большинстве случаев подтверждает факт нейтральности микросателлитов, невовлеченности их в отбор, таким образом, давая возможность, независимо от факторов отбора и подбора пар, проводить исследования по идентификации пород. Это может быть актуально в виду различий между разными породами и необходимости их идентификации как по экстерьерным показателям, так и по генетическим маркерам. STR-маркеры предположительно находятся в некодирующих участках ДНК и не влияют на приспособленность животных, их продуктивность и экстерьер, однако, могут служить показателями как общего уровня гомозиготности популяции, так и для выявления приват-аллелей у отдельных пород или групп животных.
Корреляционно-регрессионный анализ фенотипических показателей на основе микросателитных данных у взрослых самок домашних северных оленей показал значительное сходство полученных данных. Вместе с тем, статистически значимый уровень коэффициента наследования h2 обнаружен только для промеров “высота в холке” и “глубина груди”, а также для индекса растянутости. Однако “высота в холке” является одним из основных показателей при отборе животных в других отраслях животноводства, позволяя получать более крупных животных. Промер “глубина груди” при этом выступает показателем массивности, обмускуленности животного и, вероятнее всего, пропорционален повышению выхода мяса за счет хорошо развитого костяка пояса передних конечностей. Однако после коррекции Бонферрони значимых ассоциаций не выявлено ни для одной пары. Вероятнее всего, результаты ассоциации вызваны не вкладом микросателлитного локуса в разнообразие признака, а особенностью гаремного поведения северных оленей, при котором один самец может оплодотворить большое количество самок, тем самым широко распространив свой генотип. Ярко выраженные фенотипические показатели отца передаются потомству вместе с его генетическим профилем по микросателлитным маркерам, из-за чего возможно выявление подобных корреляций.
ЗАКЛЮЧЕНИЕ
С помощью корреляционно-регрессионного анализа промеров и индексов телосложения северных оленей из оленеводческого хозяйства Ямало-Ненецкого АО только для трех анализируемых признаков (высота в холке, глубина груди и индекс растянутости) выявлена наследуемость, объясняемая генетическим родством между животными. Установлено, что живая масса взрослых самок с учетом возраста и генетического родства между животными имеет высокую положительную корреляцию с высотой в холке, глубиной груди и обхватом груди. Анализ поиска ассоциаций, выполненный для каждой пары локус–признак с использованием поправки Бонферрони, не выявил значимых ассоциаций ни для одной из пар локус–признак, что подтверждает гипотезу о селективной нейтральности микросателлитов. Это дает возможность проводить исследования по идентификации пород независимо от факторов отбора и подбора пар, как по экстерьерным показателям, так и по STR-маркерам. Микросателлиты предположительно находятся в некодирующих участках ДНК и не влияют на приспособленность животных, их продуктивность и экстерьер, однако могут служить объективным инструментом как для оценки общего уровня гомозиготности популяции, так и для выявления приват-аллелей у отдельных групп животных.
Список литературы
Деряженцев В., Шифнер К. Наследственность и коррелятивные связи некоторых хозяйственно-полезных признаков северных оленей / Науч. тр. Магадан. зон. НИИСХ Северо-Востока. 1978. Вып. 7. С. 4–11.
Дьяченко Н. Рекомендации по племенной работе в северном оленеводстве. Норильск: НИИСХ Крайнего Севера, 1970. 82 с.
Мухачев А. Морфологические особенности и мясная продуктивность северных оленей Полярного Урала: Дис. … канд. биол. наук. М.: ВСХИЗО, 1968. 240 с.
Рожков Ю., Проняев А. Коэффициент сходства между популяциями по количественным признакам и генотипам // С.-х. биол. 1992. № 6. 26–35.
Семина М., Каштанов С., Бабаян О. и др. Анализ генетического разнообразия и популяционной структуры ненецкой аборигенной породы северных оленей на основе микросателлитных маркеров // Генетика. 2022. Т. 58 (8). С. 954–966.
Югай В. Экстерьерные особенности северных оленей в условиях Ямала // Аграр. вестн. Урала. 2009. № 10 (64). С. 48–51.
Южаков А. О наследуемости и повторяемости живой массы у северных оленей // Сиб. вестн. с.-х. науки. 2003. № 3 (149). С. 165–168.
Южаков А., Романенко Т., Лайшев К. Феногеографическая изменчивость северных оленей ненецкой породы // Изв. СПб. гос. аграр. ун-та. 2017. № 2 (47). С. 115–122.
Adamack A.T., Gruber B. PopGenReport: simplifying basic population genetic analyses in R // Meth. Ecol. Evol. 2014. V. 5 (4). P. 384–387.
Agapow P.M., Burt A. Indices of multilocus linkage disequilibrium // Mol. Ecol. Notes. 2001. V. 1 (1–2). P. 101–102.
Belonogova N.M., Svishcheva G.R., Axenovich T.I. FREGAT: an R package for region-based association analysis // Bioinformatics. 2016. V. 32 (15). P. 2392–2393. https://doi.org/10.1093/bioinformatics/btw160
Dodokhov V., Pavlova N., Rumyantseva T., Kalashnikov L. Genetic characteristics of the even breed of deer in Yakutia // IOP Conference Series: Earth and Environmental Science / Int. sci. and technol. conf. “Earth science”. Vladivostok, Russian Federation, 08–10 December, 2020. Vladivostok: IOP Publishing Ltd, 2021. V. 666 (2). Art. 032063.
Goudet J. HIERFSTAT, a package for R to compute and test hierarchical F-statistics // Mol. Ecol. Notes. 2005. V. 5 (1). P. 184–186.
Gruber B., Adamack A.T. Landgenreport: a new R function to simplify landscape genetic analysis using resistance surface layers // Mol. Ecol. Res. 2015. V. 15 (5). P. 1172–1178.
Holand H., Kvalnes T., Røed K. H. et al. Stabilizing selection and adaptive evolution in a combination of two traits in an arctic ungulate // Evolution. 2020. V. 74 (1). P. 103–115.
Jombart T. adegenet: a R package for the multivariate analysis of genetic markers // Bioinformatics. 2008. V. 24 (11). P. 1403–1405.
Kamvar Z.N., Tabima J.F., Grünwald N.J. Poppr: an R package for genetic analysis of populations with clonal, partially clonal, and/or sexual reproduction // Peer J. 2014. V. 2. P. e281.
Muuttoranta K., Holand Ø., Røed K.H. et al. Genetic and environmental effects affecting the variation in birth date and birth weight of reindeer calves // Rangifer. 2013. V. 33 (1). P. 25–35.
Muuttoranta K., Holand Ø., Røed K.H. et al. Genetic variation in meat production related traits in reindeer (Rangifer t. tarandus) // Rangifer. 2014. V. 34 (1). P. 21–36.
Muuttoranta K., Nieminen M., Mäki-Tanila A. Estimating maternal effects on growth of reindeer (Rangifer t. tarandus) // Proc. of the 9th World congress on genetics applied to livestock production, Leipzig, Germany, 1st–6th August, 2010. 2010. 4 p.
Paradis E. Pegas: an R package for population genetics with an integrated-modular approach // Bioinformatics. 2010. V. 26 (3). P. 419–420.
Stolpovsky Y.A., Babayan O., Kashtanov S. et al. Genetic evaluation of the breeds of reindeer (Rangifer tarandus) and their wild ancestor using a new panel of STR markers // Russ. J. Genet. 2020. V. 56 (12). P. 1469–1483.
Svishcheva G., Babayan O., Sipko T. et al. Genetic differentiation between coexisting wild and domestic reindeer (Rangifer tarandus L. 1758) in Northern Eurasia // Genet. Res. 2022. V. 3 (6). P. 1–14.
Wilson A.J., Kruuk L.E., Coltman D.W. Ontogenetic patterns in heritable variation for body size: using random regression models in a wild ungulate population // Am. Nat. 2005.V. 166 (6). P. E177–E192.
Дополнительные материалы отсутствуют.
Инструменты
Успехи современной биологии




