Известия РАН. Серия физическая, 2019, T. 83, № 8, стр. 1117-1120
Энергетический спектр первичных космических лучей по данным установок для регистрации черенковского света ШАЛ Тунка-133 и TAIGA-HISCORE
В. В. Просин 1, *, И. И. Астапов 2, П. А. Безъязыков 3, В. Борейко 4, А. Н. Бородин 4, М. Брюкнер 5, Н. М. Буднев 3, Р. Вишневский 5, А. Ю. Гармаш 6, 7, А. Р. Гафаров 3, Н. В. Горбунов 4, В. М. Гребенюк 4, 8, О. А. Гресс 3, Т. И. Гресс 3, А. А. Гринюк 4, О. Г. Гришин 3, А. Н. Дячок 3, Д. П. Журов 3, А. В. Загородников 3, В. Л. Зурбанов 3, А. Л. Иванова 3, Ю. А. Казарина 3, Н. Н. Калмыков 1, В. В. Киндин 2, П. С. Кириленко 6, С. Н. Кирюхин 3, В. А. Кожин 1, Р. П. Кокоулин 2, К. Г. Компаниец 2, Е. Е. Коростелева 1, Е. А. Кравченко 6, 7, Л. А. Кузьмичев 1, М. Куннас 9, А. Кьявасса 10, А. А. Лагутин 11, Ю. Лемешев 3, В. В. Ленок 3, Б. К. Лубсандоржиев 12, Н. Б. Лубсандоржиев 1, Р. Р. Миргазов 3, Р. Мирзоян 3, 13, Р. Д. Монхоев 3, Э. А. Осипова 1, М. И. Панасюк 1, Л. В. Паньков 3, А. Л. Пахоруков 3, А. А. Петрухин 2, В. А. Полещук 3, М. Попеску 14, Е. Г. Попова 1, А. Порелли 5, Е. Б. Постников 1, В. С. Птускин 15, А. А. Пушнин 3, Р. И. Райкин 11, Г. И. Рубцов 12, Е. В. Рябов 3, Б. М. Сабиров 4, Я. И. Сагань 4, 8, В. С. Самолига 3, Л. Г. Свешникова 1, Ю. А. Семеней 3, А. Ю. Сидоренков 12, А. А. Силаев 1, А. А. Силаев (мл.) 1, А. В. Скурихин 1, М. Слунечка 4, А. В. Соколов 6, 7, В. А. Таболенко 3, Б. А. Таращанский 3, Л. Г. Ткачев 4, 8, А. В. Ткаченко 4, М. Тлужиконт 9, О. Л. Федоров 3, Д. Хорнс 9, К. Шпиринг 5, И. И. Яшин 2
1 Федеральное государственное бюджетное образовательное учреждение высшего профессионального образования “Московский государственный университет имени М.В. Ломоносова”,
Научно-исследовательский институт ядерной физики имени Д.В. Скобельцына
Москва, Россия
10 Физический факультет университета Турина и Национальный институт ядерной физики
Турин, Италия
11 Федеральное государственное бюджетное образовательное учреждение высшего образования
“Алтайский государственный университет”
Барнаул, Россия
12 Федеральное государственное учреждение науки Институт ядерных исследований Российской академии наук
Москва, Россия
13 Институт Макса Планка
Мюнхен, Германия
14 Институт космических наук
Бухарест, Румыния
15 Федеральное государственное бюджетное учреждение науки “Институт Земного магнетизма,
ионосферы и распространения радиоволн имени Н.В. Пушкова Российской академии наук”
Москва, Россия
2 Федеральное государственное автономное образовательное учреждение высшего профессионального образования “Национальный исследовательский ядерный университет “МИФИ”
Москва, Россия
3 Федеральное государственное бюджетное образовательное учреждение высшего образования
“Иркутский государственный университет”, Научно-исследовательский институт прикладной физики
Иркутск, Россия
4 Международная межправительственная организация Объединенный институт ядерных исследований
Москва, Россия
5 Немецкий электронный синхротрон (DESY)
Гамбург, Германия
6 Федеральное государственное автономное образовательное учреждение высшего образования
“Новосибирский национальный исследовательский государственный университет”
Новосибирск, Германия
7 Федеральное государственное бюджетное научное учреждение “Федеральный исследовательский центр
Институт прикладной физики Российской академии наук”
Нижний Новгород, Россия
8 Государственное бюджетное образовательное учреждение высшего образования Московской области
“Университет “Дубна”
Дубна, Россия
9 Университет Гамбурга, Институт экспериментальной физики
Гамбург, Германия
* E-mail: v-prosin@yandex.ru
Поступила в редакцию 15.10.2018
После доработки 20.02.2019
Принята к публикации 26.04.2019
Аннотация
Черенковская установка для регистрации широких атмосферных ливней (ШАЛ) Тунка-133 набирала данные в течение 7 зимних сезонов с 2009 по 2017 г. Получен дифференциальный энергетический спектр всех частиц в диапазоне энергий 6 ∙ 1015–3 ∙ 1018 эВ за 2175 ч. Установка TAIGA-HiSCORE находится в стадии непрерывного расширения и модернизации. Здесь приводятся результаты обработки данных, полученных с помощью 30 станций первой очереди за 35 ясных безлунных ночей зимой 2017–2018 гг. Энергия первичной частицы выше 1015 эВ измерялась, как и на установке Тунка-133, по параметру плотности потока черенковского света на расстоянии 200 м от оси. Для меньших энергий разработан метод определения энергии по потоку света вблизи оси ливня. В результате построен спектр в диапазоне 2 ∙ 1014–1017 эВ. Объединенный спектр по двум установкам охватывает диапазон 2 ∙ 1014–2 ∙ 1018 эВ.
ВВЕДЕНИЕ
Установка Тунка-133, описанная в работах [1, 2], набирала данные в течение 7 зимних сезонов 2009–2014 гг. и 2015–2017. Накоплена информация за 350 ясных безлунных ночей. Полное время набора данных 2175 ч.
Установка TAIGA-HiSCORE находится в стадии непрерывного расширения и модернизации. Здесь приводятся данные, полученные с помощью 30 станций первой очереди за 35 ясных безлунных ночей 2017–2018 гг. Полное время набора данных 180 ч. Обработка экспериментальных данных проводится с помощью программ, в которых все аппроксимирующие и пересчетные функции получены из анализа искусственных событий, сгенерированных по программе CORSIKA для диапазона энергий от 1014 до 1018 эВ [1, 3, 4]. Для каждого ливня восстанавливаются направление прихода, координаты оси на плоскости наблюдения и энергия первичной частицы. В результате получен объединенный дифференциальный энергетический спектр всех частиц в диапазоне энергий 2 ∙ 1014–2 ∙ 1018 эВ.
ОБРАБОТКА ДАННЫХ И ВОССТАНОВЛЕНИЕ ПАРАМЕТРОВ ШАЛ
Обработка данных для установки Тунка-133 описана в работах [1, 2]. Напомним, что положение оси ШАЛ определяется путем фитирования измеренных значений амплитуд импульсов функцией амплитуда-расстояние (ФАР) [1]. Направление прихода ливня, характеризующееся зенитным и азимутальным углами оси, определяется путем фитирования измеренных задержек кривым фронтом [5]. Энергия ливня определяется по плотности потока черенковского света на расстоянии 200 м от оси Q200. Для интерполяции к 200 м от измеренных значений Qi используется ФПР, описанная в [4]. Связь энергии с Q200 получена также из расчета по программе CORSIKA [1].
Основные параметры ШАЛ по данным установки TAIGA-HiSCORE восстанавливаются с использованием тех же алгоритмов и фитирующих функций, что и для установки Тунка-133. В частности, для ШАЛ с энергией более 1015 эВ энергия ливня определяется по плотности потока черенковского света на расстоянии 200 м от оси Q200. Эффективной площадью для отбора событий считается площадь эллипса с полуосями 300 и 225 м.
Для диапазона энергий менее 1015 эВ не во всех ливнях имеется измерение потока света на расстоянии 200 м от оси. Поэтому был разработан другой метод определения энергии: по показаниям детекторов, ближайших к оси. Положение оси ливня в этом случае находится как центр тяжести измеренных амплитуд по 4-м станциям, ближайшим к оси. Расчет показывает, что при существующей геометрии плотность потока света измеряется для этого случая в среднем на расстоянии 70 м от оси. Корреляции Q70 с зенитным углом ливня и первичной энергией были найдены по экспериментальным данным для диапазона энергий 1015–3 ∙ 1015 эВ, в котором для каждого ливня можно определить как Q70, так и Q200. Пересчет Q70 от измеренного зенитного угла к вертикальному направлению:
Пересчет от Q70(0) к энергии: E0 = CQ70(0)g, где g = = 0.88 ± 0.01.
Метод определения положения оси ШАЛ по центру тяжести приводит к большим ошибкам на краю расположения станций установки. Для получения неискаженного спектра из эффективной площади исключается полоса шириной 50 м на краю установки, т.е. в качестве эффективной площади используется площадь эллипса с полуосями 250 и 175 м.
Абсолютная калибровка энергии первичных частиц проводится, как и во всех работах в Тункинской долине, путем нормировки полученных интегральных спектров на интегральный спектр, полученный в эксперименте Тунка-25 [7], нормированный в свою очередь на абсолютную интенсивность космических лучей, полученную в эксперименте QUEST [8].
ЭНЕРГЕТИЧЕСКИЙ СПЕКТР
Для построения спектра по результатам обработки данных установки Тунка-133 отбирались события с зенитными углами θ ≤ 45° и положением осей в круге радиусом Rc < 450 м для энергий E0 < 1017 эВ и в круге радиусом Rc < 800 м для ливней с энергией E0 ≥ 1017 эВ. Эффективность отбора событий достигает ~100% для энергий E0 > 6 ∙ ∙ 1015 эВ для круга радиусом 450 м и для энергий несколько менее 1017 эВ для круга радиусом 800 м. Таким образом, для построения спектра использованы ~375 000 событий. Энергию более 1017 эВ имеют около 4200 событий.
Для построения спектра по результатам обработки данных установки TAIGA-HiSCORE отбирались события с зенитными углами θ ≤ 30°. Спектр содержит более 170 000 событий с энергией более 1015 эВ и около 700 000 событий в диапазоне энергий 3 ∙ 1014–1015 эВ. Точки в диапазоне 2∙ 1014–3 ∙ 1014 эВ построены по данным одной ночи с уникально хорошей прозрачностью (28.10.2018) и содержат ~29 000 событий.
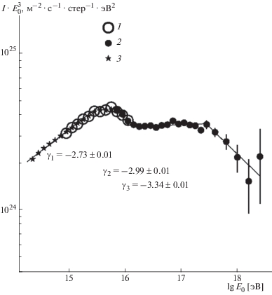
Полученный комбинированный дифференциальный энергетический спектр показан на рис. 1 вместе со спектром установки Тунка-25 [7]. Начальный участок спектра (2 ∙ 1014–3 ∙ 1015 эВ) может быть аппроксимирован степенным законом с показателем 2.73 ± 0.01. Кроме статистической ошибки, здесь возможна систематическая ошибка, связанная с возможной неточностью в показателе пересчетной формулы от Q70 к энергии. При больших энергиях спектр демонстрирует целый ряд особенностей — отклонений от степенного закона. На участке 3 ∙ 1015–6 ∙ 1015 происходит постепенное нарастание крутизны наклона спектра. Последующие точки до энергии 2 ∙ 1016 эВ можно описать степенным законом с показателем γ = 3.3. Далее спектр резко становится более пологим, и в диапазоне 2 ∙ 1016 < E0 < 3 ∙ 1017 эВ в целом не противоречит степенному виду с наклоном γ = 2.99 ± 0.01. При больших энергиях показатель резко увеличивается до γ = 3.34 ± 0.09 (второе “колено”). На рис. 2 спектр сравнивается с рядом других работ. На левом краю наш спектр стыкуется со спектрами всех частиц, полученными в прямых экспериментах баллонном АТИК-2 [9] и спутниковым НУКЛОН (КЛЕМ) [10]. Наибольшую статистику в этой области энергий получил в последнее время наземный эксперимент HAWC [11] в горах в Мексике. Его спектр отлично стыкуется как с прямыми экспериментами, так и с нашими результатами.
Рис. 1.
Дифференциальный энергетический спектр (умноженный на E3), полученный на установках: 1 – Тунка-25, 2 – Тунка-133, 3 – TAIGA-HiSCORE.

Рис. 2.
Сравнение с данными других работ: 1 – АТИК2, 2 – НУКЛОН (КЛЕМ), 3 – HAWC, 4 – Тунка-133, 5 – TAIGA-HiSCORE, 6 – KASCADE-Grande, 7 – IceTOP, 8 – TA, 9 – PAO.

В области энергий 1016–1017 эВ наблюдается согласие результата настоящей работы со спектрами установок KASCADE-Grande [12] и Ice‑TOP [13]. Заметное на рис. 2 отличие этих спектров от спектра установки Тунка-133 может быть ликвидировано увеличением оценки энергии на 3% для KASCADE-Grande и таким же уменьшением оценки энергии для Ice-TOP. Такие сдвиги существенно меньше абсолютной точности этих экспериментов.
При энергиях, предельно больших для эксперимента Тунка-133, наблюдается совпадение с данными экспериментов Telescope Array (TA) [14] и PAO [15].
ЗАКЛЮЧЕНИЕ
Таким образом, совместный спектр черенковских установок Тунка-133 и TAIGA-HiSCORE перекрывает 4 порядка по энергии единой методикой и демонстрирует прекрасное согласие результатов прямых спутниковых и баллонных экспериментов с результатами гигантских наземных установок.
Работа поддержана Минобрнауки России (госзадания 3.9678.2017/БЧ, 3.904.2017/ПЧ, 3.6787.2017/ИТР, 1.6790.2017/ИТР), грантом РФФИ 16-29-13035, выполнена с использованием оборудования ТАЦКП в рамках соглашения с Минобрнауки России (уникальный идентификатор RFMEFI59317X0005).
Список литературы
Prosin V.V., Berezhnev S.F., Budnev N.M. et al. // Nucl. Instr. Meth. Phys. Res. A. 2014. V. 756. P. 94.
Бережнев С.Ф., Буднев Н.М., Бюкер М. и др. // Изв. РАН. Сер. физ. 2015. Т. 79. № 3. С. 381; Berezhnev S.F., Budnev N.M., Büker M. et al. // Bull. Russ. Acad. Sci. Phys. 2015. V. 79. № 3. P. 348.
Korosteleva E.E., Kuzmichev L.A., Prosin V.V., Zablot-sky A.V. // Proc. 31st ICRC. (Lodz, 2009). P. 492.
Prosin V.V., Budnev N.M., Chvalaiev O.A. et al. // Nucl. Phys. B. 2009. V. 190. P. 247.
Prosin V.V., Berezhnev S.F., Budnev N.M. et al. // EPJ Web Conf. 2016. V. 121. Art. № 03004.
Gress O., Astapov I., Budnev N. et al. // Nucl. Instr. Meth. Phys. Res. A. 2017. V. 845. P. 367.
Budnev N., Chernov D., Gress O. et al. // Astropart. Phys. 2013. V. 50–52. P. 18
Korosteleva E.E., Prosin V.V., Kuzmichev L.A., Navarra G. // Nucl. Phys. B. 2007. V. 165. P. 74.
Панов А.Д., Адамс Дж.Х. мл., Ан Х.С. и др. // Изв. РАН. Сер. физ. 2009. Т. 73. № 5. С. 602; Panov A.D., Adams J.H., Ahn H.S. et al. // Bull. Russ. Acad. Sci. Phys. 2009. V. 73. № 5. P. 564.
Gorbunov N., Grebenyuk V., Karmanov D. et al. // arXiv: 1809.05333. 2018.
HAWC Collaboration// Phys. Rev. D. 2017. V. 96. Art. № 122001.
KASCADE-Grande Collaboration// Astropart. Phys. 2012. V. 36. P. 183.
Aartsen M.G., Abbasi R., Abdou Y. et al. // Phys. Rev. Lett. D. 2013. V. 88. Art. № 042004.
Abu-Zayyad T., Aida R., Allen M. et al. // Astropart. Phys. 2013. V. 48. P. 16.
Pierre Auger Collaboration // Proc. 33rd ICRC. (Rio De Janeiro, 2013). P. 769.
Дополнительные материалы отсутствуют.
Инструменты
Известия РАН. Серия физическая


