Химия высоких энергий, 2023, T. 57, № 4, стр. 276-281
Высокоспиновые продукты фотолиза 1,3,5-триазидо-2,4,6-трихлорбензола в замороженном растворе 2-метилтетрагидрофурана
С. В. Чапышев a, *, Д. В. Корчагин a
a Федеральный исследовательский центр проблем химической физики и медицинской химии
Российской академии наук
142432 Московская обл., Черноголовка, просп. Академика Н.Н. Семенова, 1, Россия
* E-mail: chap@icp.ac.ru
Поступила в редакцию 02.02.2023
После доработки 15.03.2023
Принята к публикации 16.03.2023
- EDN: QNEWZZ
- DOI: 10.31857/S002311932304006X
Аннотация
С помощью спектроскопии ЭПР в сочетании с квантовохимическими расчетами исследованы высокоспиновые продукты фотолиза 1,3,5-триазидо-2,4,6-трихлорбензола в замороженном при 6 К растворе 2-метилтетрагидрофурана. Установлено, что фотолиз данного триазида приводит к образованию смеси триплетного 1,3-диазидо-2,4,6-трихлорфенил-5-нитрена, квинтетного 1-азидо-2,4,6-трихлорфенил-3,5-динитрена и септетного 2,4,6-трихлорфенил-1,3,5-тринитрена. Изучено влияние растворителя на спектры ЭПР и магнитные характеристики нитренов.
Среди всех органических С-, N- и О-центрированных полирадикалов, высокоспиновые нитрены обладают самой сильной магнитной анизотропией и представляют большой интерес в качестве многоспиновых систем для изучения органического молекулярного магнетизма, спинтроники и квантовой информатики [1, 2]. Одним из наиболее перспективных представителей высокоспиновых нитренов является септетный тринитрен 4 (схема 1 ), параметры расщепления в нулевом поле (ПРНП) которого в аргоновых матрицах составляют Ds = –0.0957 см–1 и ЕS = = 0 [3]. Данный тринитрен проявляет удивительно высокую термическую стабильность при изолировании в ледяных матрицах, где не изменяет свои спектральные свойства вплоть до разрушения матрицы при 160 К [4]. Кроме того, тринитрен 4 не окислялся в твердом кислороде при 20 К и кислородсодержащих ксеноновых матрицах при 60 К, а также не восстанавливался в твердом водороде при 3 К [4]. Довольно необычным оказался и метод получения тринитрена 4. УФ облучение (λ = 297 нм) изолированного в твердом аргоне триазида 1 уже на первых минутах фотолиза приводит к образованию тринитрена 4 практически с количественным выходом [3]. При этом отсутствие промежуточных азидонитренов на ранних этапах фотолиза триазида 1 является беспрецендентным случаем для фотохимии ароматических полиазидов [1, 2]. Во всех опубликованных исследованиях именно промежуточные диазидонитрены и азидодинитрены являлись главными продуктами фотолиза ароматических триазидов [5–10].
Схема 1 .
Учитывая потенциально высокую практическую значимость термически и химически стабильного тринитрена 4, в настоящей работе с помощью спектроскопии ЭПР исследованы продукты фотолиза триазида 1 в замороженном при 6 К растворе 2-метилтетрагидрофурана (МТГФ). Именно эта среда чаще всего используется для матричной изоляции и спектральных исследований разнообразных высокоспиновых полирадикалов [1, 2].
ЭКСПЕРИМЕНТАЛЬНАЯ ЧАСТЬ
Триазид 1 синтезировали по описанному в литературе методу [11]. Спектры ЭПР Х-диапазона регистрировали на спектрометре Bruker-Elexsys E500 при рабочей частоте 9.565 ГГц и магнитном поле от 0 до 10 000 Гс. Сильно разбавленный (10–4 М) раствор триазида 1 в МТГФ помещали в стандартную 4 мм ампулу и продували аргоном в течение 3 мин, затем ампулу закрывали крышкой и помещали в охлажденную до 6 К спектроскопическую ячейку. Источником света служила ртутная лампа низкого давления мощностью 1000 Вт. Образец размещали на расстоянии 40 см от источника света и облучали светом с λ = 254 нм, регистрируя спектры ЭПР через 5 и 21 мин.
Компьютерное моделирование спектров ЭПР проводили с помощью программы EasySpin, основанной на точном численном решении магнитного спин-гамильтониана для хаотически ориентированных высокоспиновых молекул [12]. В расчетах использовалаcь ширина линий ΔH = 90 Гс для триплетных молекул и ΔH = 60 Гс для квинтетных и септетных молекул. Для моделирования спектров ЭПР квинтетных и септетных молекул дополнительно использовались параметры уширения линий Γ = 60 и 110 МГц, соответственно, для параметров D и Е. Все квантовохимические расчеты проводились с помощью программы ORCA (версия 4.2.1) [13]. Оптимизация геометрии молекул и расчет спиновых плотностей на нитреновых центрах для газовой фазы выполнены в приближении B3LYP/TZVP в рамках метода DFT. Параметры D и Е нитренов в газовой фазе рассчитывались в приближении PBE/Ahlrichs-DZ, позволяющим наиболее точно оценивать эффекты поляризации в рассматриваемых системах [14]. Влияние растворителя на геометрию исследуемых молекул и их магнитные характеристики было учтено в рамках CPCM сольватационной модели (the conductor-like polarizable continuum model, проводниковая модель поляризуемого континуума) [15]. В расчетах использовалась диэлектрическая константа ε = 7.0 для растворов МТГФ.
ОБСУЖДЕНИЕ РЕЗУЛЬТАТОВ
На рис. 1 показаны спектры ЭПР, зарегистрирoванные после 5 и 21 мин. УФ облучения триазида 1. В обоих спектрах наблюдаются характеристические сигналы септетного тринитрена 4 при 381, 1518, 1683, 2035, 2511, 2798, 3130, 4330, 3753, 5052, 6064 и 6436 Гс, ранее детально охарактеризованные при исследовании данного тринитрена в аргоновых матрицах [3]. Принципиально новым результатом настоящего исследования является регистрация интенсивных сигналов триплетного нитрена 2 при 6923 Гс (линия X2Y2-перехода) и квинтеного динитрена 3 при 3006 Гс (линия Y2-перехода).
Рис. 1.
Спектры ЭПР продуктов фотолиза 1,3,5-триазидо-2,4,6-трихлорбензола (1) в растворе 2-метилтетрагидрофурана при 6 К: (а) – после 5 мин фотолиза, Т – сигнал триплетного мононитрена, Q – сигналы квинтетного динитрена, все остальные сигналы относятся к септетному тринитрену, включая сигнал Z1-перехода; (б) – после 21 мин фотолиза.

Основанное на точном численном решении магнитного спин-гамильтониана (уравнение (1)) компьютерное моделирование экспериментальных спектров ЭПР для рабочей частоты прибора ν0 = 9.565 ГГц, g = 2.0023 и спиновых состояний S = 1, S = 2 и S = 3 позволило определить экспериментальные ПРНП и процентное соотношение нитренов 2–4 на разных стадиях фотолиза триазида 1 (табл. 1, рис. 2).
Таблица 1.
ПРНП и процентное соотношение нитренов 2–4 на разных стадиях фотолиза триазида 1
| Нитрен | ПРНП, см–1 | Содержание нитренов, % | |
|---|---|---|---|
| 5 мин | 21 мин | ||
| 2 | Dt = 0.98 Et = 0 |
40 | 32 |
| 3 | Dq = 0.196 Eq = 0.039 |
45 | 46 |
| 4 | Ds = –0.0938 Es = 0 |
15 | 22 |
Рис. 2.
Спектры ЭПР: (а) – рассчитанный спектр для триплетного мононитрена 2; (b) – рассчитанный спектр для квинтетного динитрена 3; (c) – рассчитанный спектр для септетного тринитрена 4; (d) – рассчитанный спектр для смеси нитренов 2, 3 и 4, соответственно, в соотношении 40 : 45 : 15.

Имеющий аксиальную D3h симметрию и ортогональную главную магнитную ось z септетный тринитрен 4 имеет E = 0 и отрицательный параметр Ds = –0.0938 см–1, который на 2% меньше по величине параметра Ds этого же тринитрена в аргоновых матрицах [3]. Чуть меньший по величине параметер Ds = –0.0934 см–1 в замороженных растворах МТГФ ранее сообщался для септетного тринитрена 6, получаемого фотолизом 2,4,6-триазидотолуола 5 (схема 2 ) [16]. При этом фотохимический выход тринитрена 6 достигал ~90% уже через 23 мин от начала фотолиза. Намного более низкий выход тринитрена 4 при фотолизе триазида 1, по-видимому, обусловлен относительно высокой концентрацией исходного триазида в приготовленном образце. Так, в первые 5 мин реакции образуется ~15% тринитрена 4, а далее реакция замедляется почти в 6 раз, и за последующие 16 мин прирост тринитрена 4 составляет всего 7% (табл. 1). Такое же замедление наблюдается и для генерирования триплетного мононитрена 2, хотя используемый в работе фотовозбуждающий свет с λ = 254 нм соответствует наиболее сильной полосе поглощения исходного триазида и интенсивным полосам поглощения нитренов 2 и 3 [4, 11]. Все эти данные указывают на снижение светопроницаемости замороженного раствора из-за высокой концентрации образующегося тринитрена 4 в ближних к источнику возбуждающего света слоях.
Схема 2 .
Регистрация сигналов ЭПР триплетного нитрена 2 при 6923 Гс и квинтетного динитрена 3 при 733, 1215 и 3006 Гс доказывает, что фотолиз триазида 1 протекает постадийно и включает последовательное образование мононитрена 2, динитрена 3 и тринитрена 4. Экспериментально измеренные ПРНП нитренов 2 и 3 приведены в табл. 1. Данные параметры хорошо согласуются с результатами квантовохимических расчетов (рис. 3, табл. 2) и литературными данными по ПРНП для структурных аналогов нитренов 2 и 3 [16, 17]. Так, например, ПРНП квинтетного 2,6-динитренотолуола в замороженных растворах МТГФ [17] составляют Dq = 0.198 см–1 и Eq = 0.034 см–1 и близки к таковым для квинтетного динитрена 3. Отличительной особенностью нитренов 2 и 3 от всех ранее изученных в растворах МТГФ триплетных и квинтетных нитренов является некопланарное расположение азидогрупп в их молекулах и, как следствие того, существование множества конформационных изомеров со слегка отличающимися двугранными углами С–С–N–N. Так, в случае с триплетным нитреном 2, расчеты указывают на существование четырех стабильных конформеров 2a–d (рис. 3) со слегка различающимися ПРНП. Из этих конформеров наиболее стабильным является конформер 2а, теоретически рассчитанный Dt параметр которого превышает экспериментально измеренную величину всего на 1.3% (табл. 1 и 2). Как было показано ранее, DFT расчеты не позволяют точно определять Et параметры триплетных нитренов, существенно переоценивая их [14]. Примером тому являются теоретически рассчитанные в данной работе Et параметры триплетных нитренов 2a–d в табл. 2. Данные табл. 2 также показывают, что параметры D нитренов 2a–d и квинтетного динитрена 3 меньше на 2–3% в растворах МТГФ по сравнению с этими же параметрами для газовой фазы. Интересно также отметить очень высокую точность (99.5%) современных расчетов Dq и Eq параметров для динитрена 2 (табл. 1 и 2), несмотря на некопланарное расположение азидогруппы в его молекуле (рис. 3). Данные квантовохимических расчетов позволяют также понять причину существенного уширения линий в спектрах ЭПР нитренов 2–4 (рис. 1 и 2). Согласно теории, линии ЭПР высокоспиновых молекул уширяются вследствие образования множества конформационных изомеров со слегка различающимися параметрами D и Е [18–20]. Такими конформерами могут быть нитрены 2 и 3 со слегка отличающимися двугранными углами С–С–N–N и молекулы тринитрена 4 со слегка отличающимися углами С–N···N2 после фотодиссоциации связей N–N2 [18]. Использованные в настоящей работе параметры уширения линий Γ = 60 и 110 МГц, соответственно, для D и Е параметров указывают, что образующиеся продукты фотолиза представляют собой смесь конформационных изомеров разных нитренов с меняющимися в пределах D ± 0.001 см–1 и Е ± 0.002 см–1 ПРНП.
Рис. 3.
Оптимизированные геометрии различных конформеров триплетного нитрена 2 и квинтетного динитрена 3.

Таблица 2.
Полные (Eполн) и относительные (Eотн) энергии и ПРНП для газовой фазы и с учетом растворителя МТГФ для нитренов 2 и 3
| Нитрен | Eполн, а.е. | Eотн, кал/моль | ПРНП (газовая фаза), см–1 | ПРНП (с учетом растворителя), см–1 |
|---|---|---|---|---|
| 2а | –1991.98692731 | 0 | Dt = 1.024 Et = 0.01 |
Dt = 0.993 Et = 0.01 |
| 2b | –1991.98692498 | 2 | Dt = 1.025 Et = 0.01 |
Dt = 0.995 Et = 0.01 |
| 2с | –1991.98655364 | 235 | Dt = 1.041 Et = 0.01 |
Dt = 1.007 Et = 0.01 |
| 2d | –1991.98639790 | 332 | Dt = 1.042 Et = 0.01 |
Dt = 1.006 Et = 0.01 |
| 3 | –1882.48070808 | – | Dq = 0.204 Eq = 0.039 |
Dq = 0.197 Eq = 0.038 |
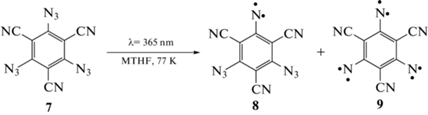
До проведения настоящего исследования в литературе была описана единственная реакция фотолиза D3h симметричных 1,3,5-триазидобензолов в замороженных растворах МТГФ [21]. Сообщалось, что фотолиз триазида 7 в МТГФ при 77 К приводит к образованию только двух высокоспиновых продуктов, а именно, триплетного нитрена 8 (X2Y2-переход при 6792 Гс, Dt = 0.9735 см–1, Et = 0) и септетного тринитрена 9 (Z1-переход при 420 Гс, при Ds = 0.0548 см–1, Eq = 0) (схема 3 ). При этом экспериментальный спектр ЭПР опубликован не был, а все выводы о продуктах фотохимической реакции и их ПРНП основывались исключительно на догадках. Тем не менее, сообщенный для тринитрена 9 параметр Ds долгие годы оставался главным ориентиром для оценки магнитных характеристик септетных тринитренов [22]. Только недавние исследования тринитрена 4 в аргоновых матрицах показали, что ПРНП тринитренов 4 и 9 можно точно определить по положению их Z1-сигналов в спектрах ЭПР, используя уравнение,
где hν0 – рабочая частота прибора, а $g\beta {{H}_{z}}_{{_{1}}}$– положение Z1-перехода [3]. Так, решение уравнения (2) с использованием сообщенных ν0 = 9.396 ГГц и ${{H}_{z}}_{{_{1}}}$ = 420 Гс [21] дает Ds = 0.092 см–1 для тринитрена 9 в замороженных растворах МТГФ. Аналогично, изолированный в аргоновых матрицах тринитрен 4 имеет Ds = 0.096 см–1 для ν0 = 9.107 ГГц и ${{H}_{z}}_{{_{1}}}$ = 180 Гс, что практически совпадает с Ds = = 0.0957 см–1, полученного в результате компьютерного моделирования спектра ЭПР [3]. Зарегистрированные при ν0 = 9.565 ГГц спектры ЭПР тринитрена 4 в замороженных растворах МТГФ содержат сигнал Z1-перехода при 381 Гс (рис. 1 и 2), что соответствует Ds = 0.094 см–1 и хорошо согласуется с результатами компьютерного моделирования спектров (табл. 1). Полное отнесение всех сигналов в представленных на рис. 1 и 2 спектрах ЭПР тринитрена 4 и динитрена 3 полностью совпадает с ранее опубликованными данными для тринитрена 4 в аргоновых матрицах [3] и квинтетных 1,3-динитренобензолов в замороженных растворах МТГФ [17]. Сравнение параметров Ds для тринитренов 4 и 9 в растворах МТГФ показывает, что содержащий более электроноакцепторные заместители в ароматическом кольце тринитрен 9 имеет более низкую спиновую плотность на нитреновых центрах и, как следствие того, меньший параметр Ds. Из данных Ds для тринитрена 4 в твердом аргоне и твердом растворе МТГФ следует, что расщепление в нулевом поле высокоспиновых молекул в растворах МТГФ меньше, примерно, на 2% по сравнению с аналогичным расщеплением в твердых инертных газах. Зарегистрированные в настоящей работе спектры ЭПР продуктов фотолиза триазида 1 являются первой демонстрацией спектров ЭПР продуктов фотолиза D3h симметричных 1,3,5-триазидобензолов в твердых растворах МТГФ (рис. 1).
Схема 3 .
Проведенное исследование показывает, что фотолиз триазида 1 в замороженных растворах МТГФ протекает постадийно и включает последовательное образование триплетного нитрена 2, квинтетного динитрена 3 и септетного тринитрена 4. При этом эффективность фотолиза промежуточных нитренов 2 и 3 быстро снижается, по-видимому, из-за уменьшения светопроницаемости твердого раствора. Магнитный параметр Ds септетного тринитрена 4 в твердом растворе МТГФ меньше на 2% аналогичного параметра в твердых инертных газах. Такая же разница в параметрах D для данных двух сред сохраняется для триплетных и квинтетных нитренов. Квантовохимические расчеты параметров D и Е в приближении PBE/Ahlrichs-DZ//B3LYP/TZVP (CPCM) позволяют оценивать ПРНП высокоспиновых нитренов в твердых растворах МТГФ с высокой точностью (98–99%). Для компьютерного моделирования спектров ЭПР гексазамещенных фенилнитренов, хорошо соответствующих экспериментальным регистрируемым, требуется дополнительно использовать параметры уширения линий Γ (D) и Γ (Е) от 60 до 110 МГц. Точные значения параметров Ds для D3h симметричных септетных тринитренов в разных средах можно точно определять по положению характеристических сигналов Z1-переходов в слабых магнитных полях.
Список литературы
Чапышев С.В., Корчагин Д.В., Мисочко Е.Я. // Усп. Химии. 2021. Т. 90. С.39.
Chapyshev S.V., Mendez-Vega E., Sander W. // Chem. Eur. J. 2021. V. 27. P. 1258.
Misochko E.Ya., Akimov A.V., Masitov A.A. et al. // J. Chem. Phys. 2013. V. 138. № 204317.
Mendez-Vega E., Mieres-Perez J., Chapyshev S.V. et al. // Angew. Chem. Int. Ed. 2019. V. 58. P. 12994.
Chapyshev S.V., Korchagin D.V., Costa P. et al. // Magn. Reson. Chem. 2022. V. 60. P. 829.
Chapyshev S.V., Korchagin D.V., Grote D. et al. // Magn. Reson. Chem. 2019. V. 57. P. 472.
Akimov A.V., Masitov A.A., Korchagin D.V. et al. // J. Chem. Phys. 2015. V. 143. № 084313.
Chapyshev S.V., Grote D., Finke C. et al. // J. Org. Chem. 2008. V. 73. P. 7045.
Misochko E.Ya., Akimov A.V., Chapyshev S.V. // J. Chem. Phys. 2008. V. 129. № 174510.
Chapyshev S.V., Walton R., Sanborn J.A. et al. // J. Am. Chem. Soc. 2000. V. 122. P. 1580.
Chapyshev S.V., Chernyak A.V. // J. Fluorine Chem. 2013. V. 156. P. 303.
Stoll S., Schweiger A. // J. Magn. Reson. 2006. V. 178. P. 42.
Neese F. // Comput. Mol. Sci. 2012. V. 2. P. 73.
Misochko E.Ya., Korchagin D.V., Bozhenko K.V. et al. // J. Chem. Phys. 2010. V. 133. № 064101.
Marenich A.V., Cramer C.J., Truhlar D.G. // J. Chem. Phys. B. 2009. V. 113. P. 6378.
Chapyshev S.V., Misochko E.Ya., Akimov A.V. et al. // J. Org. Chem. 2009. V. 74. P. 7238.
Чапышев С.В. // Изв. АН. Сер. хим. 2006. С. 1085.
Koto T., Sugisaki K., Shiomi D. et al. // Appl. Magn. Reson. 2010. V. 37. P. 703.
Chapyshev S.V., Korchagin D.V., Budyka M.F. et al. // J. Phys. Chem. A. 2011. V. 115. P. 8419.
Chapyshev S.V., Korchagin D.V., Budyka M.F. et al. // ChemPhysChem. 2012. V. 13. P. 2721.
Wasserman E., Schueller K., Yager W.A. // Chem. Phys. Lett. 1968. V. 2. P. 259.
Weltner W.Jr. Magnetic Atoms and Molecules, New York, Dover Publications, 1989.
Дополнительные материалы отсутствуют.
Инструменты
Химия высоких энергий





